2021年一级造价工程师《案例分析(水利)》密押卷
1.该项目的建设投资为2200万元(包含可抵扣进项税200万元),建设投资在建设期均衡投入。
2.项目建设期1年,运营期10年,建设投资(不含可抵扣进项税)全部形成固定资产,固定资产使用年限为10年,残值率为5%,直线法折旧。
3.项目投产当年需要投入运营期流动资金200万元。
4.项目运营期达产年不含税销售收入为1200万元,适用的增值税税率为9%,增值税附加按增值税的10%计取,项目达产年份的经营成本为760万元(含进项税60万元)。
5.运营期第1年达到产能的80%,销售收入、经营成本(含进项税)均按达产年份的80%计。第2年及以后年份为达产年份。
6.企业适用的所得税税率为25%。
问题:
1.列式计算运营期第1年、第2年、第3年的应纳增值税额。
2.列式计算运营期第1年、第2年、第3年的调整所得税。
3.进行项目投资现金流量表(第1~4年)的编制,并填入对应的项目投资现金流量表(表2-14-1)中。
计算过程和结果均保留两位小数。
表2-14-1现金流量

1.列式计算运营期第1年、第2年、第3年的应纳增值税额。
(1)运营期第1年
销售收入销项税1200×9%×80%=86.4万元
经营成本进项税60×80%=48万元
此外,建设投资中含可以抵扣的进项税200万元。
因此,运营期第1年需要交的增值税为86.4-48-200=-161.6万元<0
项目运营期达产年不含税销售收入为1200万元,适用的增值税税率为9%,项目达产年份的经营成本为760万元(含进项税60万元)。运营期第1年达到产能的80%,销售收入、经营成本(含进项税)均按达产年份的80%计。建设投资为2200万元(包含可抵扣进项税200万元)。
(2)运营期第2年
销售收入销项税1200×9%=108万元
经营成本进项税60万元。
此外,建设投资中可以抵扣的进项税尚余161.6万元未进行抵扣,可在本年份继续抵扣。
因此,运营期第2年需要交的增值税为108-60-161.6=-113.6万元
即建设投资中可以抵扣的进项税仍未在运营期第2年抵扣完毕,剩余可抵扣额为113.6万元。
(3)运营期第3年
销售收入销项税1200×9%=108万元
经营成本进项税60万元。
此外,建设投资中可以抵扣的进项税尚余113.6万元未进行抵扣,可在本年份继续抵扣。
因此,运营期第3年需要交的增值税为108-60-113.6=-65.6万元
即建设投资中可以抵扣的进项税仍未在运营期第3年抵扣完毕,剩余可抵扣额为65.6万元。
2.列式计算运营期第1年、第2年、第3年的调整所得税。
(1)运营期第1年
销售收入(不含税):1200×80%=960万元
经营成本(不含税):(760-60)×80%=560万元
每年计提折旧费[(2200-200)×(1-5%)]/10=190万元
摊销费、利息、维简费、增值税及附加均为0。
息税前利润EBIT=销售收入+补贴收入-增值税附加-经营成本-折旧费-摊销费-维简费=960-560-190=210万元
运营期第1年调整所得税=210×25%=52.50万元
损益表

3.进行项目投资现金流量表(第1~4年)的编制,并填入对应的项目投资现金流量表(表2-14-1)中。表2-14-1现金流量
包件1:招标人希望中标人甲在原中标价基础上再优惠三个百分点,即由其中标价5250万元调整为5092.5万元,以便达到节省投资的目的。招标人与中标人甲进行了协商,双方达成了一致意见。合同签订时,招标人给出了两种合法方法处理。
第1种:书面合同中填写的合同价格仍为5250万元,由中标人甲另行向招标人出具一个优惠承诺函,在合同结算时扣除。这种方法的好处是在合同信息报送时不易被行政监督部门发现,缺点是优惠后的中标价无法进行合同备案,万一今后发生法律纠纷,无法在法庭上被采信。
第2种:书面合同中的合同价格直接填写为优惠后的5092.5万元,同时双方在进行合同信息报送时附加一个补充说明,详细阐明理由。这种方法的好处是在合同履行过程中如果当事人双方发生争议,可以直接按照合同信息报送的有关内容进行认定,缺点是在进行合同信息报送环节,就可能被行政主管部门发现问题,并有被处罚的可能。
权衡再三,招标人选定了第1种处理方法,双方同时协商一致,在合同信息报送后,再另行签订一份合同,将合同价格调整为5092.5万元。
包件2:招标人向中标人B发出了中标通知书。中标价格低于有效投标报价平均数的20%,招标人表示非常担心其价格低于成本。为保证合同履行,招标人提出中标人B需要在招标文件规定的中标价10%的履约担保金额基础上,增加中标价5%,按即中标价的15%提供履约担保,否则不与其签订合同协议书。中标人B按照招标文件规定,只愿意提供中标价10%额度的履约担保。为此,招标人以中标人B未按照招标人要求提交履约担保为由,取消其中标资格,直接与排名第二C的中标候选人签订了合同。
问题:
1.包件1中,招标人要求中标人甲在原中标价基础上再优惠三个百分点的做法是否违法?如果中标人甲同意优惠,并按优惠价签订协议是否违法?如果上述行为违法,简述由此可能引发的法律后果。
2.包件2中,签订合同协议时,招标人是否可以在招标文件规定数额的基础上,提高履约担保的金额?中标人B不同意提高履约担保金,是否可以取消其中标资格?为什么?
3.为确保合同有效履行,招标人如果想预防过低投标价中标,防范合同履约风险,招标人是否可以在招标文件中事先约定好一个增加履约担保金额的界限和增加幅度?
分析要点:
本案例考核招标人、中标人在签订合同过程中是否可以直接调整签约合同价一事。
《招标法》第四十六条规定,“招标人和中标人按照招标文件和中标人的投标文件订立书面合同。招标人和中标人不得再行订立背离合同实质性内容的其他协议”。《招标法》第五十九条规定了本条的法律责任,“招标人与中标人不按照招标文件和中标人的投标文件订立合同的,或者招标人、中标人订立背离合同实质性内容的,责令改正,可以处中标项目金额千分之五以上千分之十以下的罚款”。这里的实质性内容主要指两方面内容,一是投标价格,二是投标方案。《工程建设项目货物招标投标办法》(国家发展和改革委员会建设部铁道部交通部信息产业部水利部中国民用航空总局令第27号)第四十九条又进一步规定,“招标人不得向中标人提出压低报价、增加配件或者售后服务量以及其他超出招标文件规定的违背中标人意愿的要求,以此作为发出中标通知书和签订合同的条件”。所以无论是签订合同过程中,或是合同执行过程中,法律都不允许招标人、中标人签订或背离合同实质性内容的其他协议。
合同执行的依据是当事人双方签署的有效合同文件,这里需要强调的是构成合同的有效合同文件。一般合同的组成文件中,均包括双方当事人签署的补充协议,但并不是双方签署同意的所有文件都是有效文件,都构成合同。根据诚实信用原则,双方违反法律法规强制性规定签署的协议就不能构成有效合同,因为《合同法》第五十二条明确规定违反法律法规强制性规定的合同为无效合同。
本案例涉及招标人怎样预防低价中标,给招标人带来合同风险问题。《招标法》第四十六条规定,“招标人和中标人应当自中标通知书发出之日起三十日内,按照招标文件和中标人的投标文件订立书面合同,同时又规定招标文件要求中标人提交履约保证金的,中标人应当提交”。《工程建设项目施工招标投标办法》第六十二条又进一步规定,“招标人不得擅自提高履约担保金”,这里的擅自提高履约担保金,就是指招标人在招标文件规定数额基础上更改履约担保额,而中标人又不同意的情形。所以签订合同协议时,招标人不能擅自提高招标文件规定的履约担保的金额。
为预防低价中标带来合同履行风险,招标人可以在招标文件中事先约定好一个增加履约担保金额的界限和增加幅度,但履约保证金的最高比例应满足国家及地方相关规定进而保护好招标人的利益。
答案:
问题1:
包件1中,招标人在发出中标通知书后要求中标人甲在原中标价基础上再优惠三个百分点的做法违反法律规定。
《招标投标法》第四十六条规定,招标人和中标人按照招标文件和中标人的投标文件订立书面合同,招标人和中标人不得再行订立背离合同实质性内容的其他协议。这里的实质性内容主要指两方面内容,一是投标价格,二是投标方案。《工程建设项目货物招标投标办法》第四十九条又进一步规定,招标人不得向中标人提出压低报价、增加配件或者售后服务量以及其他超出招标文件规定的违背中标人意愿的要求,以此作为发出中标通知书和签订合同的条件。所以,签订合同过程中,招标人不能提出压低中标价格,并以此作为签订合同的条件。
包件1中,如果中标人甲同意优惠,并按优惠价签订协议的做法违反法律规定,属于签订了背离合同实质性内容,即中标价格的其他协议,招标人和中标人同时违法。
根据《招标投标法》有关规定,招标人与中标人不按照招标文件和中标人的投标文件订立合同的,或者招标人、中标人订立背离合同实质性内容的,责令改正,可以处中标项目金额千分之五以上千分之十以下的罚款。
问题2:
签订合同协议时,招标人不能在招标文件规定数额的基础上再提高履约担保的金额。因为签订合同的依据是投标文件和招标文件。
同样的,中标人不同意提高履约担保金,招标人也不可据此取消其中标资格。根据
《工程建设项目施工招标投标办法》第六十二条规定,招标人不得擅自提高履约担保金,这里的擅自提高履约担保金,就是指招标人在招标文件规定数额基础上提高履约担保数额。
问题3:
为确保合同有效履行,招标人如果想预防过低投标价中标,防范合同履约风险,招标人可以在招标文件中事先约定好一个增加履约担保金额的界限和增加幅度,但履约保证金不应超过国家及地方的有关规定。合同签订的依据就是投标文件和招标文件,投标人对项目进行了投标,也就是表明接受了此项约束,一旦中标就对其产生法律效力。
西部某省为缓解地区水资源供需矛盾,促进省内水资源优化配置,改善流域生态环境,促进地区社会经济可持续发展,拟建设一大型跨流域调水工程,由两座水利枢纽和一条引水隧洞组成。
其龙头水利枢纽开发任务以供水为主,兼顾发电、改善水运条件。该龙头水利枢纽目前正开展可行性研究,建设征地移民安置的主要调查成果如下:
本工程永久占地1900亩(1亩=1/15hm2),临时用地2500亩,临时用地的使用年限为5年,所有永久占地和临时用地均为耕地,耕地上作物的种植方式为单作,该地区目前人均分配耕地为0.8亩。另据相关资料测算,本地区土地复垦工程费为每亩14000元。
据悉,该省关于征收土地补偿费和安置补助费的相关规定如下:
大中型水利水电工程建设征收耕地的,征收耕地的补偿补助单价应按该耕地被征收前三年平均年亩产值和相应的倍数计算。土地补偿单价倍数为10,安置补助单价倍数为9。
征收土地补偿费=被征收地亩数×平均年亩产值×补偿倍数
安置补助费=需要安置的人数×平均年亩产值×补偿倍数
征用耕地的:
征用土地补偿费=被征用地亩数×平均年亩产值×征用年限
当地政府相关部门公布的近三年本地区耕地年产值资料见表1.17。
表1-17近三年本地区耕地年产值资料

问题:
1.计算本工程征收土地补偿费。
2.计算本工程安置补助费。
3.计算本工程征用土地补偿费。
4.计算本工程征用土地复垦费。
5.计算本工程青苗补偿费。
6.计算本工程永久占地综合单价。
7.计算本工程临时用地综合单价。
金额单位为万元,计算过程和计算结果均保留两位小数。
1.计算本工程征收土地补偿费。
平均年亩产值=(第1年年产值+第2年年产值+第3年年产值)/3=(2079+2187+2319)/3=2195.00元/亩
本工程永久占地1900亩,因此:
征收土地补偿费=被征收地亩数×平均年亩产值×补偿倍数=1900×2195.00×10=4170.50万元
永久占地1900亩,征收耕地的补偿补助单价应按该耕地被征收前三年平均年亩产值和相应的倍数计算,土地补偿单价倍数为10。

2.计算本工程安置补助费。
由题意可知,该地区土地被征收前人均分配耕地为0.8亩,可据此计算需要安置的人数。
需要安置的人数=被征收地亩数/被征收前人均分配耕地亩数
因此,公式修改如下:安置补助费=被征收地亩数/被征收前人均分配耕地亩数×平均年亩产值×补偿倍数=1900/0.8×2195.00×9=4691.81万元
永久占地1900亩,人均分配耕地为0.8亩;安置补助单价倍数为9;安置补助费=需要安置的人数×平均年亩产值×补偿倍数。
3.计算本工程征用土地补偿费。
征用土地补偿费=被征用地亩数×平均年亩产值×征用年限=2500×2195.00×5=2743.75万元
4.计算本工程征用土地复垦费。
征用土地复垦费=被征用地亩数×单价=2500×14000/10000=3500.00万元
临时用地2500亩,临时用地的使用年限为5年,征用土地补偿费=被征用地亩数×平均年亩产值×征用年限;本地区土地复垦工程费为每亩14000元。
5.计算本工程青苗补偿费。
青苗补偿费=被征收地亩数×青苗补偿费单价=1900×2195.00=417.05万元
6.计算本工程永久占地综合单价。
永久占地总价=征收土地补偿费+安置补助费+青苗补偿费=4170.50+4691.81+417.05=9279.36万元
永久占地综合单价=永久占地总价/被征收地亩数=9279.36/1900=4.88万元/亩
7.计算本工程临时用地综合单价。
临时用地总价=征用土地补偿费+征用土地复垦费=2743.75+3500.00=6243.75万元
临时用地综合单价=临时用地总价/被征用地亩数=6243.75/2500=2.50万元/亩
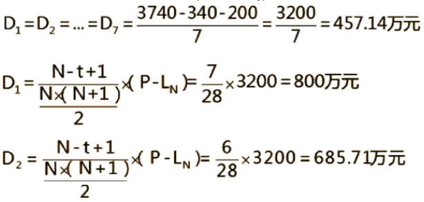
某工程项目估计建设期3年,建设投资共计3740万(含增值税可抵扣进项税340万元),第一年建设投资660万元,第二年建设投资2200万元,第三年建设投资880万元。投产第一年达到设计能力的60%,第二年达到80%,第三年达到100%。正常年份的销售收入为2500万元(不含税);正常年份的经营成本为1600万元(含可抵扣进项税100万元);产品增值税税率为9%,增值税附加税率为12%;残值为200万元,项目经营期为7年(不含建设期),流动资金总额为600万元,从投产年开始按生产能力分3次投入,投入比例为60%,30%,10%。(i=10%)
问题:
1.试计算项目在投产期每年应交的增值税额。
2.试填写该项目全部投资税前的现金流量表(表2-9-1),并计算项目的税前财务净现值,并从财务的角度判别项目可行性。
3.若建设期投资全部形成固定资产,试按照直线法、年数总和法计算每年的折旧额。
计算过程和结果均保留两位小数。
表2-9-1现金流量单位:万元

续表2-9-1

1.试计算项目在投产期每年应交的增值税额。
应纳税额=当期销项税额-当期进项税额
正常年份下销售收入销项税=销售收入×增值税率=2500×9%=225万元
正常年份下经营成本进项税100万元。
由题意得,项目建设投资3740万元,可抵扣进项税总额340万元。
从投产期第1年开始抵扣,抵扣完为止。
正常年份的销售收入为2500万元(不含税);正常年份的经营成本为1600万元(含可抵扣进项税100万元);产品增值税税率为9%,增值税附加税率为12%
(1)投产期第1年(生产负荷60%)
销售收入销项税2500×9%×60%=135万元
经营成本进项税100×60%=60万元
建设投资进项税340万元。
项目第1年应纳增值税=当期销项税额-当期进项税额=135-60-340=-265万元
因此第1年实际交增值税为0万元。
建设投资进项税尚余265万元未抵扣完毕,可在第2年继续进行抵扣。
(2)投产期第2~7年
项目投产期每年应交的增值税额见下表。单位:万元

投产第一年达到设计能力的60%,第二年达到80%,第三年达到100%。正常年份的销售收入为2500万元(不含税);正常年份的经营成本为1600万元(含可抵扣进项税100万元);产品增值税税率为9%,增值税附加税率为12%
2.试填写该项目全部投资税前的现金流量表(表2-9-1),并计算项目的税前财务净现值,并从财务的角度判别项目可行性。

建设投资第一年投资660万元,第二年投资2200万元,第三年投资880万元。增值税附加税率为12%;残值为200万元,项目经营期为7年(不含建设期),流动资金总额为600万元,从投产年开始按生产能力分3次投入,投入比例为60%,30%,10%

3.若建设期投资全部形成固定资产,试按照直线法、年数总和法计算每年的折旧额。

西部某地区为改善城市水资源条件,解决居民用水与灌溉用水短缺等问题,拟新建一座大型泵站提升江水,促进当地生活发展,工程任务以供水为主。
该泵站工程为大(1)型工程,泵站水泵总装机容量12×40MW,目前处于可行性研究阶段,其可行性研究估算部分成果如下:建筑工程投资184760.57万元,机电设备及安装工程中设备费124491.61万元、安装费11816.19万元,金属结构设备及安装工程设备费1726.93万元、安装费12763.71万元,施工临时工程投资55011.40万元,工程勘察设计费45192.21万元。
机电结构设备及安装费用初步成果见表4-1,金属结构设备及安装费用初步成果见表4-2。
表4-1机电结构设备及安装费用初步成果




备注:建设管理费以超额累进方法计算。
简化计算公式为:一至四部分建安工作量×该档费率+辅助参数。
(2)工程建设监理费采用的计算公式为工程建设监理费=监理费收费基价×专业调整系数×复杂程度调整系数×附加调整系数。本工程专业调整系数为1.2,复杂程度调整系数为1.15,附加调整系数为1.0,监理费收费基价见表4-4。
表4-4监理费收费基价单位:万元
备注:收费基价采用插值法计算
(3)该泵站的联合试运转费费用指标按60元/kW计算。
(4)生产准备费中包含的各项目及计算方法如下:
1)生产及管理单位提前进厂费:枢纽按一至四部分建安工作量的0.15%~0.35%计算,大(1)型工程取小值,大(2)型工程取大值;引水工程视工程规模参照枢纽工程计算;河道工程、除险加固工程、田间工程原则上不计此项费用,若工程含有新建大型泵站、泄洪闸、船闸等建筑物时,按建筑物投资参照枢纽工程计算。
2)生产职工培训费:按一至四部分建安工作量的0.35%~0.55%计算,本工程取上限。
3)管理用具购置费:枢纽按一至四部分建安工作量的0.04%~0.06%计算,大(1)型工程取小值,大(2)型工程取大值;引水工程按建安工作量的0.03%计算;河道按建安工作量的0.02%计算。
4)备品备件购置费:按占设备费的0.4%~0.6%计算,大(1)型工程取下限,其他工程取中、上限。注意:①设备费应包含机电设备、金属结构设备以及运杂费等全部设备费。②电站、泵站同容量、同型号机组超过一台时,只计算一台的设备费。
5)工器具及生产家具购置费:按设备费的0.1%~0.2%计算,枢纽工程取下限,其他工程取中、上限。
(5)科研勘测设计费中工程科学研究试验费按照一至四部分建安工作量的百分率计算,其中枢纽和引水工程取0.7%,河道工程取0.3%。
(6)其他费用仅包含工程保险费,工程保险费按一至四部分投资的0.45%~0.5%计算,本工程取上限。
(7)基本预备费为工程一至五部分投资合计的5%,价差预备费不计。
问题:
1.计算建设管理费、工程建设监理费、联合试运转费。
2.计算生产准备费、科研勘察设计费。
3.计算独立费用。
4.工程部分基本预备费及静态投资。
以上计算过程和结果均保留两位小数。
1.计算建设管理费、工程建设监理费、联合试运转费。<
一至四部分建安工作量=第一部分建筑工程建安工作量+第二部分机电设备及安装工程建安工作量+第三部分金属结构设备及安装工程建安工作量+第四部分施工临时工程建安工作量=184760.57+11816.19+12763.71+55011.40=264351.87万元
建筑工程投资184760.57万元,机电设备及安装工程中设备费124491.61万元、安装费11816.19万元,金属结构设备及安装工程设备费1726.93万元、安装费12763.71万元,施工临时工程投资55011.40万元。
建设管理费=一至四部分建安工作量×该档费率+辅助参数=264351.87×1.8%+2900=7658.33万元
工程建设监理费=监理费收费基价×专业调整系数×复杂程度调整系数×附加调整系数=[2712.5+(264351.87-200000)/(400000-200000)×(4882.6-2712.5)]×1.2×1.15×1.0=4706.83万元

联合试运转费=60÷10000×12×40×1000=2880.00万元
泵站水泵总装机容量12×40MW;该泵站的联合试运转费费用指标按60元/kW计算。
2.计算生产准备费、科研勘察设计费。
设备费=机电设备费+金属结构设备费=124491.61+1726.93=126218.54万元
扣除此部分后的设备费=设备费-(水泵设备费+电动机设备费+主阀设备费)×(1+运杂费费率)÷12×11=126218.54-(51000+14820+1200+144+3600+3600+2100)×(1+8.75%)÷12×11=49993.49万元
机电设备费124491.61万元、安装费11816.19万元,金属结构设备费1726.93万元、安装费12763.71万元

生产及管理单位提前进厂费0.15%×264351.87=396.53万元;
生产职工培训费0.55%×264351.87=1453.94万元;
管理用具购置费0.04%×264351.87=105.74万元;
备品备件购置费0.4%×49993.49=199.97万元;
工器具及生产家具购置费0.1%×126218.54=126.22万元
生产准备费=生产及管理单位提前进厂费+生产职工培训费+管理用具购置费+备品备件购置费+工器具及生产家具购置费=396.53+1453.94+105.74+199.97+126.22=2282.40万元
生产及管理单位提前进厂、生产职工培训、管理用具购置费分别按一至四部分建安工作量的0.15%、0.55%、0.04%计算;备品备件购置费按单套设备费的0.4%计算;
工器具及生产家具购置费按设备费的0.1%计算。
科研勘察设计费=工程科学研究试验费+工程勘察设计费=0.7%×264351.87+45192.21=47042.67万元工程科学研究试验费按照一至四部分建安工作量的0.7%计算;工程勘察设计费45192.21万元。
3.计算独立费用。其他费用=工程保险费=0.5%×(184760.57+124491.61+11816.19+1726.93+12763.71+55011.40)=1952.85万元
独立费用=建设管理费+工程建设监理费+联合试运转费+生产准备费+科研勘察设计费+其他费用=7658.33+4706.83+2880.00+2282.40+47042.67+1952.85=66523.09万元
其他费用仅包含工程保险费,工程保险费按一至四部分投资的0.5%计算;
建筑工程投资184760.57万元,机电设备及安装工程中设备费124491.61万元、安装费11816.19万元,金属结构设备及安装工程设备费1726.93万元、安装费12763.71万元,施工临时工程投资55011.40万元。
4.工程部分基本预备费及静态投资。基本预备费=工程一至五部分投资×5%=(184760.57+136307.80+14490.64+55011.40+66523.09)×5%=22854.68万元
工程部分静态投资=建筑工程投资+机电设备及安装工程投资+金属结构设备及安装工程投资+施工临时工程投资+独立费用+基本预备费=(184760.57+136307.80+14490.64+55011.40+66523.09)×(1+5%)=479948.18万元
表1C25混凝土的标准配合比(单位:m³)

二、问题
1.计算设计开挖量和混凝土衬砌量。
2.计算预计开挖出渣量和混凝土衬砌工程量。
3.计算隧洞衬砌混凝土材料价格?
4.计算混凝土衬砌单价。(混凝土泵入仓浇筑)
5.计算该隧洞工程估算投资(只考虑洞挖和混凝土衬砌)。
已知:1.受当地环境限制,工地附近无天然卵石,拟采用碎石代替卵石作为混凝土骨料,已知混凝土配合比换算如表3-2所示。假设混凝土综合损耗率为5%。

注:水泥按重量计、砂、石子、水按体积计。
本案例计算中不考虑工程量阶段系数,所有计算结果保留两位小数,π取3.14。
2.水泥、汽油、柴油、砂石料基价分别取255元/t、3075元/t、2990元/t、70元/m3。其他已知条件如表3、4、5所示。




四-7洞衬砌
适用范围:圆形、马蹄开、直墙圆拱等各式平洞。
(1)混凝土泵入仓浇筑单位:100m³


问题1:
设计开挖量=3.14×(5÷2+0.5)2×1000=28260(m³)设计混凝土衬砌量=3.14×[(5÷2+0.5)2-(5÷2)2]×1000=8635(m³)
问题2:
(1)预计开挖出渣量=3.14×(5÷2+0.5+0.15)2×1000=31156.65(m³)
(2)施工混凝土衬砌量=3.14×[(5÷2+0.5+0.15)2-(5÷2)2]×1000=11531.65(m³)
预计混凝土衬砌量=11531.65×(1+5%)=12108.23(m³)
问题3:
(1)隧洞衬砌混凝土材料预算价格计算如下:混凝土材料基价为:
255÷1000×408×1.1+70×0.79×1.06+70×0.53×1.1+0.62×0.173×1.1=213.99(元/m³)
混凝土的材料补差为:
(419-255)÷1000×408×1.1+(130-70)×0.79×1.06+(160-70)×0.53×1.1=176.32(元/m³)
混凝土材料单价=213.99+176.32=390.31(元/m³)
问题四:
开挖断面为:(5÷2+0.5)²×3.14=28.26(㎡)





问题5:
隧洞工程估算投资=隧洞开挖概算单价×1.1×设计开挖工程量+隧洞混凝土衬砌估算
单价×设计混凝土衬砌工程量=136.88×1.1×28260+973.55×8635=12661655.93(元/m³)=1266.17(万元/m³)