1、氯霉素眼药水中加入硼酸的最主要作用是
A.潜溶
B.调节pH
C.防腐
D.防刺激
E.助溶
本题答案:
B
2、我国目前使用的现行版本《中国药典》是
A.2010年版
B.2012年版
C.2015年版
D.2018年版
E.2020年版
本题答案:
E
3、药品监督管理部门根据监管需要对质量可疑药品进行的抽查检验属于
A.评价抽检
B.监督抽检
C.出厂抽检
D.注册检验
E.复检
本题答案:
B
4、苯丙醇胺的共轭酸的pKa9.4,在肠液中(pH7.4)其分子形式占
A.1%
B.10%
C.50%
D.90%
E.99%
本题答案:
A
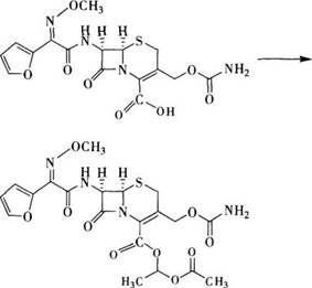
5、头孢呋辛属于第二代头孢菌素类药物,将其结构中2位羧酸做成乙酰氧基乙酯,得到头孢呋辛酯,其目的是

A.降低药物的酸性,减少对胃肠道的刺激性
B.脂溶性增强,口服吸收良好
C.增强与受体的结合力,改变生物活性
D.影响药物分子的电荷分布,从而增强与受体的电性结合作用
E.增加立体位阻,从而增加稳定性
本题答案:
B
6、药物在人体内的细胞色素P450酶系最主要氧化代谢酶是
A.CYP2D6
B.CYP3A4
C.CYP1A
D.过氧化酶
E.单胺氧化酶
本题答案:
B
7、新生儿使用氯霉素时,可导致药物在体内聚集,引起“灰婴综合征”,造成氯霉素这一毒性反应的原因是新生儿体内主要缺乏
A.谷胱甘肽
B.甘氨酸
C.葡萄糖醛酸
D.硫酸
E.乙酰辅酶A
本题答案:
C
8、苯氨基哌啶类,具有起效快,在体内迅速被酯酶水解,使得维持时间短的合成镇痛药物是
A.
B.
C.
D.
E.
本题答案:
E
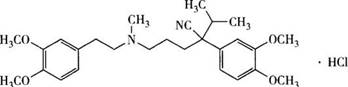
9、维拉帕米的结构如下图,下列叙述中与之不符的是

A.分子中有手性碳,右旋体比左旋体的作用强的多
B.口服吸收90%,有较强的首关效应
C.分子内含有氰基
D.维拉帕米的代谢物为N一脱甲基化合物,保持了母体的部分活性
E.属于苯硫氮䓬类药物
本题答案:
E
10、地尔硫䓬的母核结构为
A.1,4-苯二氮䓬
B.1,5-苯二氮䓬
C.1,4-苯并硫氮杂䓬
D.1,5-苯并硫氮杂䓬
E.二苯并硫氮杂䓬
本题答案:
D
11、结构中含有螺环、四唑取代联苯结构的血管紧张素Ⅱ受体阻断药是
A.缬沙坦
B.氯沙坦
C.替米沙坦
D.坎地沙坦
E.厄贝沙坦
本题答案:
E
12、西咪替丁结构中含有
A.呋喃环
B.噻唑环
C.噻吩环
D.咪唑环
E.吡啶环
本题答案:
D
13、睾酮在17α位增加一个甲基,其设计主要考虑的是
A.减小脂溶性,有利吸收
B.雄激素作用增强
C.雄激素作用降低
D.蛋白同化作用增强
E.增强脂溶性,可以口服
本题答案:
E
14、有关环磷酰胺的叙述,错误的是

A.含有1个结晶水
B.结构中的杂环影响药物的吸收、分布等药代动力学性质
C.属于氮芥类烷化剂
D.结构中的β-氯乙胺基是产生药效的关键部分
E.通过代谢拮抗产生药效
本题答案:
E
15、下列关于片剂质量要求的叙述中正确的是
A.脆碎度小于2%为合格品
B.平均片重为0.2g的片剂,重量差异限度是±5%
C.普通片剂的崩解时限是5分钟
D.舌下片、泡腾片崩解时限为3分钟
E.小剂量的药物或作用比较剧烈的药物,应符合含量均匀度的要求
本题答案:
E
16、下列关于片剂特点的叙述,不包括
A.体积较小,其运输、贮存及携带、应用都比较方便
B.片剂生产的机械化、自动化程度较高
C.产品的性状稳定,剂量准确,成本及售价都较低
D.可以制成不同释药速度的片剂而满足临床医疗或预防的不同需要
E.具有靶向作用
本题答案:
E
17、关于热原性质的叙述错误的是
A.具有水溶性
B.可被高温破坏
C.具有挥发性
D.易被吸附
E.可被强酸,强碱破坏
本题答案:
C
18、制备复方碘溶液时,加入碘化钾是作为
A.助溶剂
B.增溶剂
C.消毒剂
D.极性溶剂
E.潜溶剂
本题答案:
A
19、下列有关注射剂临床应用的叙述,错误的是
A.当其他途径能达到治疗效果时,尽量不用注射给药
B.为保证药物注射剂的疗效和减少不良反应,注射剂配液越早越好
C.应尽量减少注射剂联合用药的种类
D.大容量注射剂一般不小于100ml
E.应严格掌握注射剂量和疗程
本题答案:
B
20、下列有关输液的描述,错误的是
A.输液分为电解质输液、含药输液、营养输液和胶体输液
B.葡萄糖输液、氨基酸输液脂肪乳等均属于营养输液
C.由于输液的无菌要求很严格,可适当加入抑菌剂
D.静脉脂肪乳剂常加入卵磷脂作为乳化剂
E.静脉脂肪乳剂常加入甘油调节渗透压
本题答案:
C
21、有关生物技术药物的特点正确的是
A.分子量大,约1000D
B.口服较易透过胃肠道屏障
C.透皮或黏膜吸收的生物利用度较高
D.易作用于中枢神经系统
E.主要采用注射给药方式
本题答案:
E
22、中药注射剂一般不宜制成
A.溶液注射剂
B.乳状液注射剂
C.无菌粉末
D.临用前配成溶液的浓缩液的无菌制剂
E.混悬型注射液
本题答案:
E
23、下列哪项基质不是软膏剂的水溶性基质
A.聚乙二醇
B.甘油
C.羊毛脂
D.明胶
E.卡波姆
本题答案:
C
24、可作为气雾剂的抛射剂的是
A.氟氯烷烃类
B.氮酮
C.卡波姆
D.泊洛沙姆
E.聚维酮
本题答案:
A
25、下列处方中碳酸氢钠和磷酸二氢钠为
【处方】甲硝唑细粉4.5g
磷酸二氢钠1.6g
碳酸氢钠1.4g
香果脂适量
共制成阴道栓10枚
A.主药
B.基质
C.泡腾剂
D.pH调节剂
E.保湿剂
本题答案:
C
26、某药物的血药浓度是0.2mg/ml,其消除速度常数为15mg/min,则每分钟被清除的容积为
A.0.013ml/min
B.3ml/min
C.13 ml/min
D.30ml/min
E.75ml/min
27、若消除速率常数k=0.1h-1,则表示每小时消除体内药量百分数是
A.1%
B.10%
C.20%
D.50%
E.90%
28、大多数药物通过生物膜的方式是
A.膜动转运
B.被动转运
C.主动转运
D.易化扩散
E.吞噬
29、关于生物膜的说法不正确的是
A.生物膜为液晶流动镶嵌模型
B.具有流动性
C.结构不对称
D.无选择性
E.具有半透性
30、不属于制备片剂时制备工艺对药物吸收的影响的是
A.混合方法
B.包衣
C.制粒操作和颗粒
D.压片时的压力
E.原料药粒径
31、硝酸甘油可以制成多种剂型(舌下片、缓释片、软膏剂、口腔贴片),进而产生不同的吸收速度、起效时间、达峰时间和持续时间。关于该药物不同剂型特点与用药注意事项的说法,错误的是
A.舌下片用于舌下含服,不可吞服
B.口腔含化药物不易到达舌下黏膜,吸收明显减少
C.缓释片口服后释药速度慢,能够避免肝脏的首关代谢
D.舌下片是经黏膜吸收
E.舌下片和口腔贴片均可避免肝脏的首关代谢
32、与药物吸收快慢有关的参数为
A.t1/2
B.Cmin
C.AUC
D.Css
E.Tmax
33、药物被吸收进入血液循环的速度与程度,称为
A.生物转化
B.生物利用度
C.生物半衰期
D.肠-肝循环
E.表观分布容积
34、阿托品作用于M受体,不作用于N受体,体现了药物作用的
A.特异性
B.选择性
C.抑制性
D.局部作用
E.全身作用
35、使用解热镇痛药降低高热患者的体温属于
A.补充疗法
B.对因治疗
C.对症治疗
D.替代疗法
E.标本兼治
36、口服氢氧化铝、三硅酸镁等治疗胃溃疡属于
A.干扰核酸代谢
B.影响生理活性物质及转运体
C.改变细胞周围环境的理化性质
D.非特异性作用
E.补充体内物质
37、下列不属于第二信使的是
A.环磷酸腺苷
B.环磷酸鸟苷
C.钙离子
D.一氧化氮
E.乙酰胆碱
38、药物与受体的亲和力和内在活性对药物的量-效曲线影响如下图,下列说法错误的是

A.A图表示药物与受体的亲和力相同,但内在活性不同
B.A图表示药物与受体的亲和力相同,a药物的内在活性大
C.B图表示药物与受体的亲和力不同,但内在活性相同
D.B图表示Z药物与受体的亲和力小,但内在活性相同
E.B图表示X药物与受体的亲和力小.但内在活性相同
39、属于配体门控的离子通道受体的是
A.5-HT受体
B.胰岛素受体
C.糖皮质激素受体
D.GABA受体
E.甲状腺激素受体
40、下列可诱发药源性白血病的药物不包括
A.烷化剂
B.氯丙嗪
C.三氧化二砷
D.两性霉素
E.免疫抑制剂
41、国家食品药品监督管理总局批准给申请人特定药品的标准是
A.A
B.B
C.C
D.D
E.E
42、不属于国家药品标准的是
A.A
B.B
C.C
D.D
E.E
43、属于酯类药物的水解的是
A.A
B.B
C.C
D.D
E.E
44、属于酰胺药物的水解的是
A.A
B.B
C.C
D.D
E.E
45、为增加制剂的稳定性,易水解的青霉素应制成
A.A
B.B
C.C
D.D
E.E
46、为增加制剂的稳定性,易氧化的氯丙嗪宜制成
A.A
B.B
C.C
D.D
E.E
47、又称为品牌名,是由新药开发者在申报药品上市时选定的名称
A.A
B.B
C.C
D.D
E.E
48、又称为国际非专利药品名称,是新药开发者在新药申请过程中向世界卫生组织提出的名称
A.A
B.B
C.C
D.D
E.E
49、降糖药格列本脲的化学名是
A.A
B.B
C.C
D.D
E.E
50、抗病毒药阿昔洛韦的化学名是
A.A
B.B
C.C
D.D
E.E
51、环丙二酰脲类抗癫痫药的化学骨架是
A.A
B.B
C.C
D.D
E.E
52、吩噻嗪类抗精神病药的化学骨架是
A.A
B.B
C.C
D.D
E.E
53、苯二氮䓬类镇静催眠药的化学骨架是
A.A
B.B
C.C
D.D
E.E
54、药物与靶标之间通过偶极-偶极作用力结合的是
A.A
B.B
C.C
D.D
E.E
55、药物与靶标之间通过氢键作用力结合的是
A.A
B.B
C.C
D.D
E.E
56、药物与靶标之间通过共价键作用力结合的是
A.A
B.B
C.C
D.D
E.E
57、药物与靶标之间通过离子键作用力结合的是
A.A
B.B
C.C
D.D
E.E
58、阻断多巴胺受体黑质一纹状体通路,诱发锥体外系副作用的药物是
A.A
B.B
C.C
D.D
E.E
59、抑制骨髓造血机能,诱发再生障碍性贫血不良反应的药物是
A.A
B.B
C.C
D.D
E.E
60、司帕沙星、阿司咪唑、西沙必利等药物临床应用引起的心脏Q-T间期延长,甚至诱发尖端扭转型室性心动过速,属于
A.A
B.B
C.C
D.D
E.E
61、氯丙嗪抑制多巴胺黑质-纹状体通路,诱发锥体外系副作用,属于
A.A
B.B
C.C
D.D
E.E
62、儿茶酚胺类药物如肾上腺素代谢活性降低发生的主要结合反应是
A.A
B.B
C.C
D.D
E.E
63、抗肿瘤药物如白消安代谢解毒发生的主要结合反应是
A.A
B.B
C.C
D.D
E.E
64、具有4-苯基-3-氟代苯丙酸结构的芳基丙酸类非甾体类抗炎药是
A.A
B.B
C.C
D.D
E.E
65、含有吡喃羧酸类结构,抑制环氧化酶-2(COX-2)的芳基丙酸类非甾体类抗炎药是
A.A
B.B
C.C
D.D
E.E
66、结构为3位苯甲酰基布洛芬,消炎作用较布洛芬强,且副作用小的芳基丙酸类非甾体类抗炎药是
A.A
B.B
C.C
D.D
E.E
67、结构为4位环戊酮甲基布洛芬,作用比吲哚美辛强10倍;是一种前药,可通过肝脏中的羰基还原酶迅速转化为其活性的反式醇代谢物的芳基丙酸类非甾体类抗炎药是
A.A
B.B
C.C
D.D
E.E
68、结构中含有吡啶结构,第一个上市的昔康类药物是
A.A
B.B
C.C
D.D
E.E
69、结构中含有甲基异噁唑结构的昔康类药物是
A.A
B.B
C.C
D.D
E.E
70、将吡罗昔康结构中的1,2-苯并噻嗪替换成1,2-噻吩并噻嗪结构的昔康类药物是
A.A
B.B
C.C
D.D
E.E
71、结构中含有7-氯代噻吩并噻嗪结构的昔康类药物是
A.A
B.B
C.C
D.D
E.E
72、为含巯基的ACE抑制药代表药物,结构中含有脯氨酸的是
A.A
B.B
C.C
D.D
E.E
73、为含双羧基的ACE抑制药代表药,结构中含有硫原子和螺环结构的是
A.A
B.B
C.C
D.D
E.E
74、含磷酰基的ACE抑制药代表药物,结构总含有次膦酸类结构,可产生与巯基和羧基相似的方式和ACE的锌离子结合的药物是
A.A
B.B
C.C
D.D
E.E
75、属于碳青霉烯类的β-内酰胺类抗生素是
A.A
B.B
C.C
D.D
E.E
76、属于单环β-内酰胺类的抗生素是
A.A
B.B
C.C
D.D
E.E
77、属于青霉素类的抗生素是
A.A
B.B
C.C
D.D
E.E
78、属于头孢菌素类的抗生素是
A.A
B.B
C.C
D.D
E.E
79、属于氧青霉烷类的β-内酰胺类抗生素是
A.A
B.B
C.C
D.D
E.E
80、在包衣液的处方中,可作为致孔剂的是
A.A
B.B
C.C
D.D
E.E
81、在包衣液的处方中,可作为增塑剂的是
A.A
B.B
C.C
D.D
E.E
82、在包衣液的处方中,可作为遮光剂的是
A.A
B.B
C.C
D.D
E.E
83、在包衣液的处方中,可作为肠溶衣材料的是
A.A
B.B
C.C
D.D
E.E
84、血管相当丰富,是栓剂的良好吸收部位
A.A
B.B
C.C
D.D
E.E
85、降解酶较少,有可能是蛋白质多肽类药物吸收较理想的部位
A.A
B.B
C.C
D.D
E.E
86、结核病患者对异烟肼的反应不一样属于
A.A
B.B
C.C
D.D
E.E
87、体内药物量超过酶代谢反应会出现饱和现象属于
A.A
B.B
C.C
D.D
E.E
88、R-华法林竞争性地抑制S-华法林的羟化代谢属于
A.A
B.B
C.C
D.D
E.E
89、苯巴比妥、苯妥英钠能加速药物的消除而使药效减弱属于
A.A
B.B
C.C
D.D
E.E
90、阿托品缓解胃肠痉挛的作用机制为
A.A
B.B
C.C
D.D
E.E
91、地高辛治疗充血性心力衰竭的作用机制为
A.A
B.B
C.C
D.D
E.E
92、硝苯地平降压的作用机制为
A.A
B.B
C.C
D.D
E.E
93、齐多夫定治疗艾滋病
A.A
B.B
C.C
D.D
E.E
94、阿托品解除胃肠道平滑肌痉挛时,出现口干、心悸、便秘等,属于
A.A
B.B
C.C
D.D
E.E
95、长期应用肾上腺皮质激素,可引起肾上腺皮质萎缩,一旦停药,肾上腺皮质功能下降,数月难以恢复,属于
A.A
B.B
C.C
D.D
E.E
96、药物溶解于稀醇中形成澄明香甜的口服溶液剂
A.A
B.B
C.C
D.D
E.E
97、药物用规定浓度的乙醇浸出或溶解而制成的液体制剂
A.A
B.B
C.C
D.D
E.E
98、芳香挥发性药物(多为挥发油)的饱和或近饱和水溶液
A.A
B.B
C.C
D.D
E.E
99、由无刺激性和无过敏性的黏合剂组成的是
A.A
B.B
C.C
D.D
E.E
100、由铝箔、聚乙烯或聚丙烯等膜材复合而成双层或三层复合膜的是
A.A
B.B
C.C
D.D
E.E
101、处方中栓剂的基质是
A.甲硝唑细粉
B.磷酸二氢钠
C.碳酸氢钠
D.香果脂
E.磷酸二氢钠、碳酸氢钠
102、该栓剂属于哪种类型
A.双层栓剂
B.中空栓剂
C.微囊栓剂
D.渗透泵型栓剂
E.骨架型栓剂
103、有关栓剂的表述,不正确的是
A.栓剂属于固体剂型
B.甘油明胶为常用的水溶性基质
C.用药部位如有烧灼感、红肿等情况应停药
D.栓剂放入肛门越深,吸收效果愈好
E.栓剂使用前最好置于冷水或冰箱中冷却后再剪开使用
104、针对患者使用情况下列做法正确的是
A.眼用制剂贮存应密封避光,启用后最多可用8周
B.若与眼膏剂同时使用,需先使用眼膏剂
C.使用滴眼剂前后需要清洁双手,并将眼内分泌物和部分泪液用已消毒棉签拭去,从而避免减少药物浓度度
D.眼用制剂两人同时使用时,需要间隔一定时间,以恢复抑菌效果
E.使用该溶液型滴眼剂前尽量避免震荡
105、醋酸可的松微晶的粒径应是
A.越小越好
B.1~5μm
C.5~20μm
D.20~100μm
E.均匀即可
106、处方中吐温80的作用是
A.乳化剂
B.油相
C.润湿剂
D.防腐剂
E.助悬剂
107、四种利尿药中效价强度最大的是
A.环戊噻嗪
B.氢氯噻嗪
C.呋塞米
D.氯噻嗪
E.无法比较
108、四种利尿药中效价强度最小的是
A.环戊噻嗪
B.氢氯噻嗪
C.呋塞米
D.氯噻嗪
E.无法比较
109、四种利尿药中效能最大的是
A.环戊噻嗪
B.氢氯噻嗪
C.呋塞米
D.氯噻嗪
E.无法比较
110、环戊噻嗪的效价强度约为氢氯噻嗪的
A.10倍
B.15倍
C.20倍
D.25倍
E.30倍
111、药物的药效与化学结构有关,称为结构特异性药物,但药效也受到理化性质的影响。药物的理化性质较多,对于一个具体的药物而言,并非每一个理化性质都对药效产生明显影响。但对绝大多数药物而言,对药效影响比较重要的理化性质主要指
A.溶解度
B.分配系数
C.沸点
D.解离度
E.密度
112、与药效有关的药物立体结构因素包括
A.光学异构
B.脂水分配系数
C.几何异构
D.解离常数
E.构象异构
113、属于核苷类逆转录酶抑制药有
A.
B.
C.
D.
E.
114、片剂中常用的崩解剂有
A.聚乙二醇
B.羧甲基淀粉钠
C.交联聚维酮
D.羟丙甲纤维素
E.交联羧甲基纤维素钠
115、下列液体中属于极性溶剂的有
A.水
B.聚乙二醇600
C.乙醇
D.甘油
E.二甲基亚砜
116、下列属于水性凝胶剂基质的有
A.纤维素衍生物
B.卡波姆
C.海藻酸盐
D.西黄蓍胶
E.明胶
117、治疗骨质疏松药物利塞膦酸钠水中易溶,口服生物利用度极低,属于BCSⅢ类,则增加其体内吸收可采用
A.增加药物的脂溶性
B.处方中选用渗透促进剂
C.使用W/O微粒给药系统
D.制备固体分散体
E.原料药微粉化
118、有关平均滞留时间正确的叙述是
A.
B.平均滞留时间代表了所应用剂量消除63.2%所需的时间
C.平均滞留时间通常大于药物的生物半衰期
D.MRT=AUC/AUMC
E.平均滞留时间的单位与药物的生物半衰期单位一样
119、非线性药动学的特点包括
A.药物的消除不呈现一级动力学特征,即消除动力学是非线性的
B.当剂量增加时,消除半衰期延长
C.AUC和平均稳态血药浓度与剂量成正比
D.其他可能竞争酶或载体系统的药物,不影响其动力学过程
E.以剂量对相应的血药浓度进行归一化,所得的曲线明显不重叠
120、以下通过作用于受体而发挥药理作用的药物有
A.阿托品
B.阿司匹林
C.多巴胺
D.齐多夫定
E.环丙沙星