1、根据物质分子大小不同进行分离的方法是
A.液-液萃取法
B.结晶法
C.大孔吸附树脂法
D.离子交换法
E.凝胶过滤法
本题答案:
E
2、断面不平坦,外层棕色而粗糙,内层红棕色而油润,两层之间有一条黄棕色线纹的药材是
A.厚朴
B.黄柏
C.杜仲
D.肉桂
E.秦皮
本题答案:
D
3、结构属于有机胺类生物碱且具有挥发性的成分是
A.咖啡因
B.莨菪碱
C.麻黄碱
D.芦丁
E.苦参碱
本题答案:
C
4、反相硅胶可选择的键合烃基是
A.羟基
B.硝基
C.羧基
D.十八烷基
E.磺酸基
本题答案:
D
5、似橘瓣状,横切面可见淡黄色或黄绿色皱缩折叠的子叶,微显油性。气微,味辛、苦,有麻感的是
A.吴茱萸
B.五味子
C.山茱萸
D.枸杞子
E.牵牛子
本题答案:
E
6、关于液体制剂质量要求的说法,错误的是
A.口服混悬剂的沉降体积比应不低于0.90
B.干混悬剂按干燥失重测定法测定,减失重量不得过2.0%
C.干混悬剂按各品种项下规定的比例加水振摇应均匀分散
D.凡检查含量均匀度的口服混悬剂,一般不再进行装量检查
E.凡检查分散均匀度的口服混悬剂,不再进行沉降体积比检查
本题答案:
E
7、含醌类衍生物,其结合型苷类成分具有泻下作用,故临床上用于泻下,攻积导滞、泻火凉血的药是
A.生大黄
B.芒硝
C.火麻仁
D.郁李仁
E.杏仁
本题答案:
A
8、下列不属于单子叶植物根特征的是
A.表面常无栓皮而为表皮
B.断面可见内皮层环
C.断面无放射状结构
D.断面中央有髓
E.断面中央无髓
本题答案:
E
9、既可内服又可外用的剂型是
A.钉剂
B.锭剂
C.条剂
D.棒剂
E.丹剂
本题答案:
B
10、关于散剂生产与贮藏有关规定的说法,错误的是
A.儿科用散剂应为最细粉
B.局部用散剂应为最细粉
C.多剂量包装的散剂应附分剂量用具
D.含挥发性药物的散剂应密封贮存
E.含易吸潮药物的散剂应密闭贮存
本题答案:
E
11、关于纯化水的说法,错误的是
A.为饮用水经蒸馏所得的水
B.用作配制注射剂的溶剂
C.用作配制口服液的溶剂
D.非灭菌制剂用器具的精洗用水
E.非灭菌制剂所用饮片的提取溶剂
本题答案:
B
12、根据中药药性理论,升浮类药的功效是
A.祛风散寒
B.利水渗湿
C.止咳平喘
D.消积导滞
E.潜阳息风
本题答案:
A
13、卵圆形,具三棱,灰黄色或稍深,粗糙,有纵线6条,味辛辣的药材是
A.吴茱萸
B.砂仁
C.马钱子
D.小茴香
E.巴豆
本题答案:
E
14、按照《中国药典》中靶向制剂的分类,一级靶向制剂可使药物定向作用于
A.肺部
B.毛细血管床
C.特殊肿瘤细胞
D.细胞内一定部位
E.正常细胞
本题答案:
B
15、急症患者宜选用的剂型是
A.注射剂
B.丸剂
C.片剂
D.外用膏剂
E.包衣片剂
本题答案:
A
16、具有“钉头”的药材是
A.雄黄
B.赭石
C.滑石
D.石膏
E.芒硝
本题答案:
B
17、目前应用较多的油脂性栓剂基质是
A.凡士林
B.甘油明胶
C.聚乙二醇
D.甘油
E.半合成椰子油酯
本题答案:
E
18、注射剂中添加亚硫酸钠的目的是
A.减轻疼痛
B.防止药物氧化
C.调节pH
D.防止药物水解
E.抑制微生物增殖
本题答案:
B
19、既具有“菊花心”,又具有“金井玉栏”现象的药材是
A.甘草
B.黄芪
C.防风
D.板蓝根
E.桔梗
本题答案:
B
20、含鞣酸的药物栓剂,不宜选用的基质是
A.可可豆脂
B.甘油明胶
C.半合成山苍子油酯
D.半合成棕榈油酯
E.半合成椰子油酯
本题答案:
B
21、用于区别芳环的取代方式、构型及构象常采用的方法是
A.NMR
B.IR
C.UV
D.MS
E.DEFT
本题答案:
B
22、具有“罗盘纹”的药材是
A.黄芪
B.商陆
C.大黄
D.何首乌
E.防风
本题答案:
B
23、下列不属于丸剂的是
A.水丸
B.糖丸
C.蜜丸
D.滴丸
E.胶丸
本题答案:
E
24、《中国药典》规定,含量测定成分为木脂素的中药不包括
A.连翘
B.厚朴
C.细辛
D.五味子
E.马兜铃
本题答案:
E
25、斑蝥有毒,为降低其毒性,宜采用的炮制方法是
A.土炒
B.砂炒
C.蛤粉炒
D.米炒
E.滑石粉炒
本题答案:
D
26、龙胆苦苷的结构类型属于
A.单环单萜
B.双环单萜
C.环烯醚萜
D.裂环环烯醚萜
E.倍半萜
27、以动物的生理产物入药的药材是
A.阿胶
B.五灵脂
C.珍珠
D.哈蟆油
E.海螵蛸
28、具有显著镇痛作用的生物碱是
A.麻黄碱
B.小檗碱
C.延胡索乙素
D.雷公藤碱
E.苦参碱
29、叶端急尖,叶基稍不对称,全缘,无毛或近无毛,气微弱而特异,味微苦,稍有黏性该药材是
A.侧柏叶
B.番泻叶
C.大青叶
D.罗布麻叶
E.枇杷叶
30、除另有规定外,应检查融变时限的片剂是
A.咀嚼片
B.阴道片
C.泡腾片
D.口崩片
E.分散片
31、《中国药典》中,以大黄素和大黄素甲醚为质量控制成分的中药是
A.雷公藤
B.肉桂
C.细辛
D.何首乌
E.秦皮
32、关于缓释、控释制剂的说法,正确的是
A.缓释制剂给药后血药浓度波动较大
B.渗透泵片可以非恒速地释放药物
C.药效作用剧烈的药物宜制成控释制剂
D.肌内注射药物不可以是缓释制剂
E.药物治疗作用持久
33、切面纤维性,类白色或微红色,有明显环纹及油点的饮片是
A.地榆
B.泽泻
C.黄精
D.石菖蒲
E.知母
34、《中国药典》中,以阿多尼弗林碱为指标进行质量控制的中药是
A.黄连
B.苦参
C.防己
D.千里光
E.甘草
35、解理指的是
A.矿物可以被磁铁或电磁吸引或者本身能够吸引物体的性质
B.矿物受力后沿一定的结晶方向裂开成光滑平面的性能
C.矿物抵抗外来机械作用的能力
D.矿物表面对投射光的反射能力
E.在温度4℃时矿物与同体积水的重量比
36、炮制后能缓和苦燥之性,增强滋阴降火作用的是
A.姜黄柏
B.酒黄柏
C.蜜黄柏
D.盐黄柏
E.黄柏炭
37、马钱子有毒,为降低其毒性,宜采用的炮制方法是
A.土炒
B.蛤粉炒
C.砂炒
D.米炒
E.滑石粉炒
38、下列制剂中,需要检查可见异物的剂型是
A.滴眼剂
B.洗眼剂
C.眼膏剂
D.眼丸剂
E.眼膜剂
39、下列图中所示药材为黄连(味连)的是
A.
B.
C.
D.
E.
40、以下图中,杜仲是
A.
B.
C.
D.
E.
41、呈不规则厚片,切面有淡棕色或棕黄色点状维管束,排列成波状环纹,气微,味甜、微苦的中药是
A.A
B.B
C.C
D.D
E.E
42、呈不规则厚片,切面点状维管束,排列成波状环纹,质柔润,略有酒香气,味甜、微苦的中药是
A.A
B.B
C.C
D.D
E.E
43、光山药的加工方法是
A.A
B.B
C.C
D.D
E.E
44、生地黄的加工方法是
A.A
B.B
C.C
D.D
E.E
45、块根呈类圆柱形,断面乌黑色、微有光泽,具焦糖气,味甘、微苦的是
A.A
B.B
C.C
D.D
E.E
46、老根外皮疏松,多显紫棕色,常呈鳞片状脱落的是
A.A
B.B
C.C
D.D
E.E
47、外皮薄,多破裂反卷,易剥落,气微、味极苦的药材是
A.A
B.B
C.C
D.D
E.E
48、来源于豆科,以心材入药的是
A.A
B.B
C.C
D.D
E.E
49、来源于瑞香科,以含脂木质部入药的是
A.A
B.B
C.C
D.D
E.E
50、来源于五加科,以茎髓入药的是
A.A
B.B
C.C
D.D
E.E
51、药材葛根来源于
A.A
B.B
C.C
D.D
E.E
52、药材粉葛来源于
A.A
B.B
C.C
D.D
E.E
53、药材山药来源于
A.A
B.B
C.C
D.D
E.E
54、药材板蓝根来源于
A.A
B.B
C.C
D.D
E.E
55、七叶内酯苷的结构是
A.A
B.B
C.C
D.D
E.E
56、氧化苦参碱的结构是
A.A
B.B
C.C
D.D
E.E
57、具有显著抗疟作用的是
A.A
B.B
C.C
D.D
E.E
58、具有显著抗炎作用的是
A.A
B.B
C.C
D.D
E.E
59、具有显著抗肿瘤活性的是
A.A
B.B
C.C
D.D
E.E
60、除另有规定外,要求避光密封置25℃以下贮存,不得冷冻的剂型是
A.A
B.B
C.C
D.D
E.E
61、除另有规定外,要求检查释放度的剂型是
A.A
B.B
C.C
D.D
E.E
62、雷公藤中的生物碱具有
A.A
B.B
C.C
D.D
E.E
63、天仙子中的生物碱具有
A.A
B.B
C.C
D.D
E.E
64、千里光中的生物碱具有
A.A
B.B
C.C
D.D
E.E
65、有效成分为倍半萜的中药是
A.A
B.B
C.C
D.D
E.E
66、有效成分为甾体皂苷的中药是
A.A
B.B
C.C
D.D
E.E
67、除另有规定外,浓缩丸全部溶散时限为
A.A
B.B
C.C
D.D
E.E
68、除另有规定外,滴丸全部溶散时限为
A.A
B.B
C.C
D.D
E.E
69、除另有规定外,大蜜丸全部溶散时限为
A.A
B.B
C.C
D.D
E.E
70、可用于调节注射剂渗透压的附加剂是
A.A
B.B
C.C
D.D
E.E
71、为减轻注射时的疼痛而加入的附加剂是
A.A
B.B
C.C
D.D
E.E
72、药物通过扩散与溶蚀两种作用释放的是
A.A
B.B
C.C
D.D
E.E
73、药物利用渗透泵原理释放,释药速度与肠胃pH无关的是
A.A
B.B
C.C
D.D
E.E
74、借助油相对药物分子的扩散产生屏障作用而缓释的是
A.A
B.B
C.C
D.D
E.E
75、条状薄片,第14~16环节为生殖带,习称“白颈”,较光亮的药材是
A.A
B.B
C.C
D.D
E.E
76、扁平卵形,头端较窄,尾端较宽,无翅的药材是
A.A
B.B
C.C
D.D
E.E
77、纵断面有绢丝样光泽的是
A.A
B.B
C.C
D.D
E.E
78、无色透明或类白色半透明,暴露空气中则表面逐渐风化而覆盖一层白色粉末的是
A.A
B.B
C.C
D.D
E.E
79、临床医生治疗肺虚燥咳,脾胃虚弱,肾虚精亏病,宜使用的饮片是
A.A
B.B
C.C
D.D
E.E
80、临床医生治疗血虚萎黄,肝肾阴虚,腰膝酸软,宜使用的饮片是
A.A
B.B
C.C
D.D
E.E
81、临床医生治疗热入营血,津伤便秘,阴虚发热,宜使用的饮片是
A.A
B.B
C.C
D.D
E.E
82、主产地为河南的是
A.A
B.B
C.C
D.D
E.E
83、主产地为云南的是
A.A
B.B
C.C
D.D
E.E
84、主产地为贵州的是
A.A
B.B
C.C
D.D
E.E
85、除另有规定外,以水及水溶液为黏合剂制备的丸剂是
A.A
B.B
C.C
D.D
E.E
86、除另有规定外,以炼蜜为黏合剂制备的丸剂是
A.A
B.B
C.C
D.D
E.E
87、除另有规定外,以聚乙二醇为基质制备的是
A.A
B.B
C.C
D.D
E.E
88、呈不规则类圆形的厚片,可见少量残存的黄棕色叶基纤维或凹陷或突起的点状根痕;气微,味微甜、略苦,嚼之带黏性的是
A.A
B.B
C.C
D.D
E.E
89、饮片外表皮淡黄色至黄棕色,切面黄白色或淡棕色,角质样,半透明的是
A.A
B.B
C.C
D.D
E.E
90、主产于四川的是
A.A
B.B
C.C
D.D
E.E
91、主产于浙江的是
A.A
B.B
C.C
D.D
E.E
92、主产于安徽的是
A.A
B.B
C.C
D.D
E.E
93、图中所示为龙胆的是
A.A
B.B
C.C
D.D
E.E
94、图中所示为柴胡的是
A.A
B.B
C.C
D.D
E.E
95、体内药量与血药浓度的比值称为
A.A
B.B
C.C
D.D
E.E
96、描述药物转运(消除)快慢的动力学参数是
A.A
B.B
C.C
D.D
E.E
97、试验制剂与参比制剂的血药浓度一时间曲线下面积的比率称为
A.A
B.B
C.C
D.D
E.E
98、胶剂制备时,增加胶剂硬度的辅料是
A.A
B.B
C.C
D.D
E.E
99、胶剂制备收胶时,利于气泡逸散的辅料是
A.A
B.B
C.C
D.D
E.E
100、气雾剂制备时,作为喷射药物动力的辅料是
A.A
B.B
C.C
D.D
E.E
101、附加剂氯化钠是
A.抗氧剂
B.增溶剂
C.抑菌剂
D.pH调节剂
E.渗透压调节剂
102、根据中药制剂的生产要求,处方中原料药应固定产地,黄芩的主产地是
A.广东
B.浙江
C.河北
D.四川
E.黑龙江
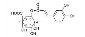
103、黄芩中抗菌消炎的有效成分黄芩苷的结构为

其结构类型是
A.二萜
B.黄酮
C.蒽醌
D.香豆素
E.甾体
104、方中含有抗菌作用化学成分为药是

A.连翘
B.金银花
C.麻黄
D.甘草
E.大黄
105、下列不属于胶囊剂质量要求的是
A.水分
B.崩解时限
C.释放度
D.溶化性
E.微生物限度
106、处方中,茎略呈方柱形,多分枝,表面被柔毛,质脆,易折断,断面中部有髓的药材是
A.甘草
B.广藿香
C.板蓝根
D.绵马贯众
E.鱼腥草
107、炙麻黄炮制所用的辅料是
A.甘草水
B.姜汁
C.蜂蜜
D.食盐水
E.米醋
108、马钱子来源是
A.木通科果实
B.马兜铃科种子
C.马兜铃科果实
D.马钱科果实
E.马钱科种子
109、马钱子碱的结构类型是
A.黄酮类
B.吲哚类
C.皂苷类
D.萜类
E.蒽醌类
110、马钱子中的毒性成分是
A.重金属
B.双酯类生物碱
C.番木鳖碱
D.黄曲霉毒素
E.斑蝥素
111、中药的纯度检查包括
A.总灰分测定
B.酸不溶性灰分测定
C.杂质检查
D.酸败度测定
E.浸出物测定
112、煅制白矾的炮制作用是
A.酸寒之性降低
B.收涩敛疮的作用增强
C.涌吐的作用减弱
D.止血化腐的作用增强
E.止泻的作用增强
113、性状鉴别的内容是
A.形状、大小
B.表面颜色、特征
C.质地、断面
D.功能、主治
E.气、味
114、含生物碱类化合物的中药有
A.防己
B.黄芩
C.麻黄
D.苦参
E.黄连
115、下列药材中为菌类中药的是
A.冬虫夏草
B.五倍子
C.血竭
D.灵芝
E.茯苓
116、生物利用度的评价指标有
A.Cmax
B.tmax
C.AUC
D.Cl
E.t1/2
117、蒸、煮、燀法炮制常用的辅料有
A.酒
B.醋
C.麻油
D.蜜水
E.药汁
118、需检测黄曲霉毒素的药材是
A.水蛭
B.土鳖虫
C.九香虫
D.胖大海
E.天花粉
119、胆南星炮制所用的辅料有
A.白矾
B.胆汁
C.生姜
D.胆巴
E.石灰液
120、黄酮类化合物的主要结构类型有
A.黄酮类
B.黄酮醇类
C.花色素类
D.橙酮类
E.蒽酮类