下列选项中,属于非上市公众公司在全国中小企业股份转让系统挂牌首次信息披露文件的是()。
A、有关股票在全国股转系统公开转让的股东大会决议
B、主办券商推荐报告
C、主办券商尽职调查报告
D、主办券商内核意见
有关股票在全国股转系统公开转让的股东大会决议,主办券商推荐报告,主办券商尽职调查报告,主办券商内核意见
解析:《全国中小企业股份转让系统主办券商推荐业务规定(试行)》第3条规定,主办券商应对申请挂牌公司进行尽职调查和内核。同意推荐的,主办券商向全国中小企业股份转让系统有限责任公司提交推荐报告及其他有关文件。ACD三项属于申请文件,但不需要进行披露。
根据《关于做好2018年地方政府债券发行工作的意见》,公开发行的7年期以上(含7年期)债券发行总规模不得超过全年公开发行一般债券总规模的( )。
A、20%
B、30%
C、50%
D、60%
D
解析:
根据《关于做好2018年地方政府债券发行工作的意见》(财库〔2018〕61号),公开发行的一般债券,增加2年、15年、20年期限。各地应当根据项目资金状况、市场需求等因素,合理安排债券期限结构。公开发行的7年期以下(不含7年期)一般债券,每个期限品种发行规模不再设定发行比例上限;公开发行的7年期以上(含7年期)债券发行总规模不得超过全年公开发行一般债券总规模的60%;公开发行的10年期以上(不含10年期)一般债券发行总规模,不得超过全年公开发行2年期以下(含2年期)一般债券规模。
在市盈率的估价方法中,利用历史数据进行估计的有()。I算术平均法Ⅱ趋势调整法Ⅲ市场预期回报倒数法IV市场归类决定法
A、I、II、III
B、I、II、IV
C、I、III、IV
D、I、II
正确答案: I、II、III,I、II、IV,I、III、IV,I、II
解析: 利用历史数据进行估计市盈率的方法有:①算术平均数法或中间数法,②趋势调整法,③回归调整法。III、IV两项属于市场决定法。
佣金的支付方式的形式有哪些?
佣金的支付方式包括:
(1)初始佣金,它在保单售出的时刻以初年保费的某个固定比例给付。这个比例对于风险产品或传统产品而言可能很高,而对于期缴保费的储蓄产品,佣金率可能只有20%或更少。在趸缴保费、传统保单以及一次性养老金缴费中,通常为一次性保费的2%-5%。初始佣金也常在保费缴纳时支付。
(2)续保佣金,它在保单生效第一年后收取续期保费时支付。储蓄产品的续保佣金通常为保费的3%-5%,保障类产品会更多。
(3)资本佣金或追踪佣金,按销售中介拥有客户的累计账户余额的0.2%-0.6%支付佣金。
GS1标识系统在供港蔬菜运作系统中导入标准化、国际化的GS1标识系统,为供应链中上下游参与方共同使用的公共信息建立了一套完整的编码与标识标准,确保了整个蔬菜供应链的跟踪溯源效率。
A、对
B、错
错
地方政府一般债券的发行期限为()年。Ⅰ1Ⅱ3Ⅲ5Ⅳ7Ⅴ10
A、Ⅰ、Ⅱ、Ⅲ、Ⅳ
B、Ⅰ、Ⅱ、Ⅳ、Ⅴ
C、Ⅱ、Ⅲ、Ⅳ、Ⅴ
D、Ⅰ、Ⅲ、Ⅳ、Ⅴ
E、Ⅰ、Ⅱ、Ⅲ、Ⅳ、Ⅴ
Ⅰ、Ⅱ、Ⅲ、Ⅳ,Ⅰ、Ⅱ、Ⅳ、Ⅴ,Ⅱ、Ⅲ、Ⅳ、Ⅴ,Ⅰ、Ⅲ、Ⅳ、Ⅴ,Ⅰ、Ⅱ、Ⅲ、Ⅳ、Ⅴ
解析:《地方政府一般债券发行管理暂行办法》第4条规定,一般债券期限为1年、3年、5年、7年和10年,由各地根据资金需求和债券市场状况等因素合理确定,但单一期限债券的发行规模不得超过一般债券当年发行规模的30%。
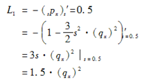
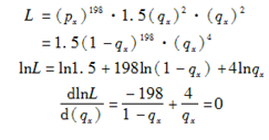
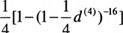
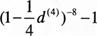
对于评估区间(x,x+1],假定:如果nx=200,并且观察到2个死亡者,一个死亡发生在x+0.5岁,另一个死亡发生在x+0.86岁,则qx的极大似然估计为( )。
A、
B、
C、
D、
E、
正确答案: C
解析:
第一个死亡发生在x+0.5岁,设其似然函数为L1,则
第2个死亡发生在x+0.86岁,设其似然函数为
,则
故总的似然函数为
解得
。
人寿保险公司向投保人出售保险单时实际收取的保险费称为()。
A、储蓄保费
B、营业保费
C、危险保费
D、等价保费
C
解析:人寿保险公司向投保人出售保险单时实际收取的保险费是营业保费,包括纯保费和附加保费。
根据《地方政府专项债券发行办法》,可以发行专项债券的政府有( )。Ⅰ.省级政府Ⅱ.自治区政府Ⅲ.直辖市政府Ⅳ.地级市政府Ⅴ.经省级政府批准的计划单列市政府
A、Ⅰ、Ⅱ、Ⅲ
B、Ⅰ、Ⅱ、Ⅲ、Ⅴ
C、Ⅱ、Ⅲ、Ⅳ、Ⅴ
D、Ⅰ、Ⅲ、Ⅳ、Ⅴ
E、Ⅰ、Ⅱ、Ⅲ、Ⅳ、Ⅴ
B
解析:
《地方政府专项债券发行办法》第2条规定,地方政府专项债券是指省、自治区、直辖市政府(含经省级政府批准自办债券发行的计划单列市政府)为有一定收益的公益性项目发行的、约定一定期限内以公益性项目对应的政府性基金或专项收入还本付息的政府债券。





