统计执法检查()。
A.属于行政执法活动
B.由国家依法授权的机关进行
C.属于统计调查活动
D.由执法人员自主决定开展
E.被检查对象有义务配合
该企业若改正自己的统计违法行为,可以()。
A.让具有会计从业资格的人员接任统计工作
B.让原人员改为兼职从事统计工作
C.立即选派具有统计从业资格的人员从事统计工作
D.由企业负责人直接从事统计工作
将某地区国有企业按制调计划完成程度分为以下四组,正确的是()
A.第一种,80%—90%90%—99%100%—109%110%以上
B.第二种,80%以下80.1%—90%90.1%—100%100.1%—110%110.1以上
C.第三种,80%以上80%—90%90%—100%100%—110%110%以上
D.第四种,85%以下85%—95%95%—105%105%—115%115%以上
保证时间数列中各个指标数值具有可比性是编制时间数列应遵守的基本原则。()
A.正确
B.错误
单项工程的新增固定资产价值为其在报告期内完成的投资,该工程在报告期以前完成的投资和应分摊的其他费用作为上个报告期的新增固定资产价值。()
此题为判断题(对,错)。
收入的确认条件包括()。
该企业报告期中间投入为()万元。
A.312
B.325
C.338
D.340
在下列的统计指数中,属于质量指标指数的有()。
A.批发价格指数
B.产品单位成本指数
C.原材料单耗指数
D.劳动生产率指数
E.平均工资指数
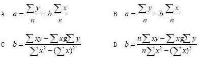
用最小平方法求解回归方程中两个参数a、b的值,正确的公式是()。
此题为多项选择题。
在分析粮食产量与农民收入的关系时,常采用()。
A.对比分析法
B.动态分析法
C.因素分析法
D.相关分析法
对1990年6月30日24时的全国人口进行逐一调查,这是()。
A.定期调查方式
B.统计报表制度
C.普查
D.典型调查
抽样调查的主要目的是()。
A.随机抽取样本单位
B.对调查单位作深入研究
C.计算和控制抽样误差
D.用样本指标来推算或估计总体指标
我国古代统计法的渊源,主要是以国王的命令及反映统治者需要的某些习惯的一些命令和规定。而我国最早的统计法律始见于()。
A.夏朝
B.商朝
C.周朝
D.宋朝
“增加值”指标是指本年总产值与上年总产值相减得到的差值,又叫总产值的动态比较差值。()
A.正确
B.错误