2021年高级经济师《工商管理》模拟卷(一)
搜题
1、国内某知名电视生产企业采用SWOT分析法,分析企业面临的内外部环境,井进行战略选择。该企业不断收购中小电视生产企业,扩大企业生产规模;加强内部成本控制,降低产品价格,成为行业中的成本领先者;同时,该企业针对儿童观看电视的需求,独家推出保护视力的防眩光,不闪式液晶电视,获得了市场的认可和顾客的青睐。该企业拟推出一款新型平板电视,共有甲产品、乙产品、丙产品和丁产品四种产品方案可供选择。每种产品方案均存在着畅销、一般、滞销三种市场状态,三种市场状态发生的概率无法预测。每种方案的市场状态及损益值如表所示(单位:元)。

问题:
1.请解释SWOT分析法的内涵。
2.请判断该企业目前都采用了什么战略。
3.若采用后悔值原则进行决策,哪种方案可以为该企业获得最大经济效益?

问题:
1.请解释SWOT分析法的内涵。
2.请判断该企业目前都采用了什么战略。
3.若采用后悔值原则进行决策,哪种方案可以为该企业获得最大经济效益?
本题答案:
1.SWOT分析法是将企业外部环境和内部环境的各种因素相互综合分析,评估企业的优势(Strength)和劣势(Weakness)及外部环境的机会(Opportunity)和威胁(Threat)的一种方法。
2.该企业目前采用了以下战略:
(1)成本领先战略是指企业以低于竞争对手的成本,为顾客提供可接受的、具有某种特性的产品或服务,其核心是企业加强内部成本控制,在研究开发、生产、销售、服务和广告等领域把成本降到最低,成为行业中的成本领先者,从而获得竞争优势。该企业加强内部成本控制,降低产品价格,成为行业中的成本领先者,属于成本领先战略;
(2)横向一体化战略是指为了扩大生产规模、降低成本、巩固企业的市场地位、增强企业竞争优势、增强企业实力而通过资产纽带或契约方式与同行业企业进行联合的一种战略。该企业不断收购中小电视生产企业,扩大企业生产规模,属于横向一体化战略;
(3)差异化战略是指通过提供与众不同的产品或服务,满足顾客的特殊需求,从而形成独特的竞争优势。该企业针对儿童观看电视的需求,独家推出保护视力的防眩光、不闪式液晶电视,属于差异化战略。
3.后悔值原则是用后悔值标准选择方案。后悔值是指在某种状态下因选择某方案而未选取该状态下的最佳方案而少得的收益。用后悔值法进行方案选择的步骤如下:
①计算损益值的后悔值矩阵,方法是用各状态下的最大损益值分别减去该状态下所有方案的损益值,从而得到对应的后悔值(见表中括号里的值);
②从各方案中选取最大后悔值;
③在已选出的最大后悔值中选取最小值,对应的方案即为用最小后悔值法选取的方案。根据题中条件,得出后悔值矩阵,每种产品的最大后悔值分别为110,150,160,200,其中最小的值为110,对应的产品是甲产品。所以如果采用后悔值原则,甲产品可以为该企业获得最大经济效益。
1.SWOT分析法是将企业外部环境和内部环境的各种因素相互综合分析,评估企业的优势(Strength)和劣势(Weakness)及外部环境的机会(Opportunity)和威胁(Threat)的一种方法。
2.该企业目前采用了以下战略:
(1)成本领先战略是指企业以低于竞争对手的成本,为顾客提供可接受的、具有某种特性的产品或服务,其核心是企业加强内部成本控制,在研究开发、生产、销售、服务和广告等领域把成本降到最低,成为行业中的成本领先者,从而获得竞争优势。该企业加强内部成本控制,降低产品价格,成为行业中的成本领先者,属于成本领先战略;
(2)横向一体化战略是指为了扩大生产规模、降低成本、巩固企业的市场地位、增强企业竞争优势、增强企业实力而通过资产纽带或契约方式与同行业企业进行联合的一种战略。该企业不断收购中小电视生产企业,扩大企业生产规模,属于横向一体化战略;
(3)差异化战略是指通过提供与众不同的产品或服务,满足顾客的特殊需求,从而形成独特的竞争优势。该企业针对儿童观看电视的需求,独家推出保护视力的防眩光、不闪式液晶电视,属于差异化战略。
3.后悔值原则是用后悔值标准选择方案。后悔值是指在某种状态下因选择某方案而未选取该状态下的最佳方案而少得的收益。用后悔值法进行方案选择的步骤如下:
①计算损益值的后悔值矩阵,方法是用各状态下的最大损益值分别减去该状态下所有方案的损益值,从而得到对应的后悔值(见表中括号里的值);
②从各方案中选取最大后悔值;
③在已选出的最大后悔值中选取最小值,对应的方案即为用最小后悔值法选取的方案。根据题中条件,得出后悔值矩阵,每种产品的最大后悔值分别为110,150,160,200,其中最小的值为110,对应的产品是甲产品。所以如果采用后悔值原则,甲产品可以为该企业获得最大经济效益。
2、某法兰盘生产企业采用单对象流水线的生产组织方式,法兰盘的日生产量为50件,每日工作8小时,时间有效利用系数为0.90,假设废品率为0;流水线的第3道工序计算所需某精密设备为6台,现有5台该种设备投入生产。
1.该企业所采用的生产过程空间组织形式是什么?
2.计算该法兰盘流水线的平均节拍。
3.计算该流水线的第3道工序设备负荷系数。
4.为了解决流水线节拍与某道工序设备超负荷问题,企业可以采取哪些措施?
1.该企业所采用的生产过程空间组织形式是什么?
2.计算该法兰盘流水线的平均节拍。
3.计算该流水线的第3道工序设备负荷系数。
4.为了解决流水线节拍与某道工序设备超负荷问题,企业可以采取哪些措施?
本题答案:
1.对象专业化布置是以产品(或零件、部件)为对象来设置生产单位。在对象专业化的生产单位中,集中了为生产某种产品所需要的各种设备和各工种的工人,对同类产品进行不同的工艺加工。在这里,加工对象是一定的,而加工工艺方法则是多样的。在对象专业化的生产单位里,基本上能独立完成某几种产品(或零部件)的全部或大部分工艺过程。本题中,法兰盘的单对象流水线生产应采用的生产过程空间组织形式是对象专业化布置。
2.流水线的平均节拍可按下式计算:
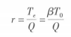
式中,r为流水线的平均节拍;Te为计划期流水线的有效工作时间;T0为计划期流水线的制度I作时间;β为工作时间有效利用系数,一般为0.90~0.96;Q为计划期的产品产量(包括计划产量和预计废品量)所以,本题中法兰盘流水线的平均节拍是:
3.一般来说,计算的设备数都不是整数,所取的设备数只能是整台数,这样设备负荷系数Ki为:
式中:K;为设备负荷系数;Si为第i道工序计算所需的设备数量(工作地数);Sei为第i道工序安排的实际的设备数量(工作地数)。作地数。所以,题中第3道工序设备负荷系数为:6/5=1.2。
4.为了解决流水线节拍与某道工序设备超负荷问题,企业可以延长节拍时间、优化并提升该道工序设备的效率。
1.对象专业化布置是以产品(或零件、部件)为对象来设置生产单位。在对象专业化的生产单位中,集中了为生产某种产品所需要的各种设备和各工种的工人,对同类产品进行不同的工艺加工。在这里,加工对象是一定的,而加工工艺方法则是多样的。在对象专业化的生产单位里,基本上能独立完成某几种产品(或零部件)的全部或大部分工艺过程。本题中,法兰盘的单对象流水线生产应采用的生产过程空间组织形式是对象专业化布置。
2.流水线的平均节拍可按下式计算:
式中,r为流水线的平均节拍;Te为计划期流水线的有效工作时间;T0为计划期流水线的制度I作时间;β为工作时间有效利用系数,一般为0.90~0.96;Q为计划期的产品产量(包括计划产量和预计废品量)所以,本题中法兰盘流水线的平均节拍是:
3.一般来说,计算的设备数都不是整数,所取的设备数只能是整台数,这样设备负荷系数Ki为:
式中:K;为设备负荷系数;Si为第i道工序计算所需的设备数量(工作地数);Sei为第i道工序安排的实际的设备数量(工作地数)。作地数。所以,题中第3道工序设备负荷系数为:6/5=1.2。4.为了解决流水线节拍与某道工序设备超负荷问题,企业可以延长节拍时间、优化并提升该道工序设备的效率。
3、某企业进行人力资源需求与供给预测。通过统计研究发现,销售额每增加500万元,需增加管理人员、销售人员和客服人员共20人。新增人员中,管理人员、销售人员和客服人员的比例是1:7:2,该企业预计2021年销售额将比2020年增加1000元。根据人力资源需求与供给情况,该企业制定了总体规划和员工招聘计划。
1.该企业计划采用内部招聘和外部招聘,平衡两者关系时应该考虑哪些方面?
2.根据转换比率分析法,计算该企业2021年需要增加管理人员的数量。
3.该企业对工程技术人员供给状态进行预测时,可采用的方法有哪些?
1.该企业计划采用内部招聘和外部招聘,平衡两者关系时应该考虑哪些方面?
2.根据转换比率分析法,计算该企业2021年需要增加管理人员的数量。
3.该企业对工程技术人员供给状态进行预测时,可采用的方法有哪些?
本题答案:
1.内部招聘和外部招聘是相辅相成的,如果两者能够很好地结合,既能满足企业实现招聘计划的要求,又能很好地将两者的优势互补。平衡两者关系时应该考虑以下几个方面:
(1)企业的经营发展战略。当企业处在迅速发展阶段,根据未来发展战略和业务拓展要求,各个岗位都需要大批人才,此时的内部人力资源供给已经远远小于各岗位空缺产生的需求,应采取外部招聘的方式获得人才;当企业发展至成熟阶段,出现空缺职位时,从外部招聘可能会增加较多的人工成本,而企业内部已经形成较完善的培训机制和人员接替计划,可采用内部招聘。
(2)企业现有人力资源状况。企业人力资源管理部门在招聘前,必须对企业的现有人力资源状况从总量、质量、结构及使用效果等方面进行核查,从而明确招聘需求;必须进行工作分析,以明确招聘对象应该具有的能力、知识和基本素质。当企业现有人员无法满足岗位空缺、进行内部培训时间不足或者成本较高时,应采用外部招聘。若现有人员中有可培养的对象,且培养成本不高,则可采用内部招聘。
(3)招聘目的。当招聘的目的不仅是找到合适的人才填补空缺,而是基于管理考虑,通过招聘增加新员工,带来新思想、新观点,激发员工队伍活力,为老员工带来新的竞争对手,达到提高员工积极性、转变经营观念和工作方式、改变工作态度和行为等目的,则招聘应该以外部招聘为主。
(4)企业的用人观。企业领导的用人风格对企业招聘渠道的选择起着决定作用。企业领导对内部招聘和外部招聘的偏好程度不同,两种招聘方式在企业的选择中所占的比重就不同。有的企业领导喜欢从外部引进人才,则外部招聘所占的比重就大;有的企业领导倾向于内部培养人才,则内部招聘所占的比重就大。
(5)企业所处的外部环境。外部环境包括人才市场建立与完善状况、行业薪资水平、就业政策与保障法规、区域人才供给状况、人才信用状况等。这些环境因素决定了企业能否从外部招聘到合适的人才。若企业所处区域的人才市场发达、政策与法规健全、有充足的人才供给、人才信用良好,在不考虑其他因素的情况下,外部招聘不仅能获得理想人选,而且方便快捷。若企业外部环境与上述情况相反,则宜采用内部选拔培养,这样既可节约招聘成本,又可避免招聘风险。
2.转换比率分析法是根据历史数据,把企业未来的业务活动量转化为人力资源需求的预测方法。具体做法是根据过去的业务活动量水平,计算出每一业务活动量所需人员的相应增量,再把对实现未来目标的业务活动增量按计算出的比例关系折算成总的人员需求增量,然后把总的人员需求量按比例折算成各类人员的需求量。根据题意,2021年销售额比2020年增加1000万,那么需要增加的整体人数是1000/500x20=40(人),在这40人中,管理人员占1/(1+2+7)=1/10,所以管理人员增加40x(1/10)=4(人)。
3.人力资源供给预测包括内部供给预测和外部供给预测两方面。人力资源内部供给预测是指对当企业出现新的人力资源需求时,对企业自身满足这种需求的能力与程度的判断。最常用的内部供给预测方法有三种:人员核查法、管理人员接续计划法和马尔可夫模型法,该企业对工程技术人员供给状态进行预测时,可采用的方法即包括以上三种。
1.内部招聘和外部招聘是相辅相成的,如果两者能够很好地结合,既能满足企业实现招聘计划的要求,又能很好地将两者的优势互补。平衡两者关系时应该考虑以下几个方面:
(1)企业的经营发展战略。当企业处在迅速发展阶段,根据未来发展战略和业务拓展要求,各个岗位都需要大批人才,此时的内部人力资源供给已经远远小于各岗位空缺产生的需求,应采取外部招聘的方式获得人才;当企业发展至成熟阶段,出现空缺职位时,从外部招聘可能会增加较多的人工成本,而企业内部已经形成较完善的培训机制和人员接替计划,可采用内部招聘。
(2)企业现有人力资源状况。企业人力资源管理部门在招聘前,必须对企业的现有人力资源状况从总量、质量、结构及使用效果等方面进行核查,从而明确招聘需求;必须进行工作分析,以明确招聘对象应该具有的能力、知识和基本素质。当企业现有人员无法满足岗位空缺、进行内部培训时间不足或者成本较高时,应采用外部招聘。若现有人员中有可培养的对象,且培养成本不高,则可采用内部招聘。
(3)招聘目的。当招聘的目的不仅是找到合适的人才填补空缺,而是基于管理考虑,通过招聘增加新员工,带来新思想、新观点,激发员工队伍活力,为老员工带来新的竞争对手,达到提高员工积极性、转变经营观念和工作方式、改变工作态度和行为等目的,则招聘应该以外部招聘为主。
(4)企业的用人观。企业领导的用人风格对企业招聘渠道的选择起着决定作用。企业领导对内部招聘和外部招聘的偏好程度不同,两种招聘方式在企业的选择中所占的比重就不同。有的企业领导喜欢从外部引进人才,则外部招聘所占的比重就大;有的企业领导倾向于内部培养人才,则内部招聘所占的比重就大。
(5)企业所处的外部环境。外部环境包括人才市场建立与完善状况、行业薪资水平、就业政策与保障法规、区域人才供给状况、人才信用状况等。这些环境因素决定了企业能否从外部招聘到合适的人才。若企业所处区域的人才市场发达、政策与法规健全、有充足的人才供给、人才信用良好,在不考虑其他因素的情况下,外部招聘不仅能获得理想人选,而且方便快捷。若企业外部环境与上述情况相反,则宜采用内部选拔培养,这样既可节约招聘成本,又可避免招聘风险。
2.转换比率分析法是根据历史数据,把企业未来的业务活动量转化为人力资源需求的预测方法。具体做法是根据过去的业务活动量水平,计算出每一业务活动量所需人员的相应增量,再把对实现未来目标的业务活动增量按计算出的比例关系折算成总的人员需求增量,然后把总的人员需求量按比例折算成各类人员的需求量。根据题意,2021年销售额比2020年增加1000万,那么需要增加的整体人数是1000/500x20=40(人),在这40人中,管理人员占1/(1+2+7)=1/10,所以管理人员增加40x(1/10)=4(人)。
3.人力资源供给预测包括内部供给预测和外部供给预测两方面。人力资源内部供给预测是指对当企业出现新的人力资源需求时,对企业自身满足这种需求的能力与程度的判断。最常用的内部供给预测方法有三种:人员核查法、管理人员接续计划法和马尔可夫模型法,该企业对工程技术人员供给状态进行预测时,可采用的方法即包括以上三种。
4、供应链管理是一种先进的管理理念,它的先进性体现在是以客户和最终消费者为经营导向的,为满足客户和消费者的最终期望来生产和供应的。
试论述你对供应链管理的理解。
试论述你对供应链管理的理解。
本题答案:
供应链管理是以市场和消费者需求为导向,在核心企业的协调下,本着共赢原则,以提高客户满意度、获取最大利润为目标,以协同商务、协同竞争为商业运作模式,通过运用现代信息技术和集成技术,达到对整个供应链上的物流、信息流、资金流、业务流和价值流的有效规划和控制,从而将客户、供应商、制造商、销售商、服务商等合作伙伴连成一个完整的网状结构,形成一个极具竞争力的战略联盟。供应链管理的实质是深入供应链的各个增值环节,能够将顾客所需的正确产品在正确的时间,按照正确的数量、正确的质量和正确的状态送到正确的地点,并使总成本最小。
供应链管理是一种先进的管理理念,它的先进性体现在供应链管理是以客户和最终消费者为经营导向,为满足客户和消费者的最终期望来生产和供应,以整合供应链节点企业优势、提高供应链整体绩效为目标。因此,供应链管理表现出合作性、集成化以及以客户为中心的典型特征。
1.供应链管理强调企业间的合作
供应链管理是分析研究在产品满足最终用户需求的过程中对成本有影响的由供应商、制造商、分销商、销售商、客户组成的网状结构,要求各节点企业之间实现信息共享、风险共担、利益共存,打破传统经营意识,强调在各节点企业之间建立合作伙伴关系,并从战略的高度来认识供应链管理的重要性和必要性,从而提高整个供应链的经营效率,实现对客户需求的快速反应。
2.供应链管理是一种集成化的管理模式
传统的管理模式是对企业内部各部门的管理以及部门间的集成管理。而供应链管理是充分利用网络技术和信息技术,对业务流程进行重组,实现从供应商开始,经由制造商、分销商、零售商,直到最终用户的全要素、全过程、各环节的集成化管理。链中各环节不是彼此分割,而是一个有机整体,它把不同的企业集成起来以增加整个供应链的效率,注重的是企业之间的合作,以达到全局最优。
3.供应链管理以客户和最终客户为中心
无论构成供应链的节点企业数量有多少,也无论供应链节点企业的类型、层次有多少,供应链的形成都是以客户和最终消费者的需求为导向的。有了客户和最终消费者的需求,才有了供应链的存在,供应链管理绩效的最终指标是客户和最终消费者满意度。
供应链管理是以市场和消费者需求为导向,在核心企业的协调下,本着共赢原则,以提高客户满意度、获取最大利润为目标,以协同商务、协同竞争为商业运作模式,通过运用现代信息技术和集成技术,达到对整个供应链上的物流、信息流、资金流、业务流和价值流的有效规划和控制,从而将客户、供应商、制造商、销售商、服务商等合作伙伴连成一个完整的网状结构,形成一个极具竞争力的战略联盟。供应链管理的实质是深入供应链的各个增值环节,能够将顾客所需的正确产品在正确的时间,按照正确的数量、正确的质量和正确的状态送到正确的地点,并使总成本最小。
供应链管理是一种先进的管理理念,它的先进性体现在供应链管理是以客户和最终消费者为经营导向,为满足客户和消费者的最终期望来生产和供应,以整合供应链节点企业优势、提高供应链整体绩效为目标。因此,供应链管理表现出合作性、集成化以及以客户为中心的典型特征。
1.供应链管理强调企业间的合作
供应链管理是分析研究在产品满足最终用户需求的过程中对成本有影响的由供应商、制造商、分销商、销售商、客户组成的网状结构,要求各节点企业之间实现信息共享、风险共担、利益共存,打破传统经营意识,强调在各节点企业之间建立合作伙伴关系,并从战略的高度来认识供应链管理的重要性和必要性,从而提高整个供应链的经营效率,实现对客户需求的快速反应。
2.供应链管理是一种集成化的管理模式
传统的管理模式是对企业内部各部门的管理以及部门间的集成管理。而供应链管理是充分利用网络技术和信息技术,对业务流程进行重组,实现从供应商开始,经由制造商、分销商、零售商,直到最终用户的全要素、全过程、各环节的集成化管理。链中各环节不是彼此分割,而是一个有机整体,它把不同的企业集成起来以增加整个供应链的效率,注重的是企业之间的合作,以达到全局最优。
3.供应链管理以客户和最终客户为中心
无论构成供应链的节点企业数量有多少,也无论供应链节点企业的类型、层次有多少,供应链的形成都是以客户和最终消费者的需求为导向的。有了客户和最终消费者的需求,才有了供应链的存在,供应链管理绩效的最终指标是客户和最终消费者满意度。