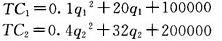
假设有两个寡头垄断厂商的行为遵循古诺模型,它们的成本函数分别为:

这两个厂商生产一同质产品,其市场需求函数为:Q=4000+10p。根据古诺模型,试求:(1)厂商1和厂商2的反应函数;(2)均衡价格和厂商1与厂商2的均衡产量;(3)厂商1和厂商2的利润。
试述在中国革命中建立统一战线的必要性和可能性,并阐述中国共产党在建立和发展统一战线中的历史经验及现实启示。
A、3日B、5日C、7日D、10日
A、王某构成故意伤害罪,张某没有犯罪B、王某构成故意伤害罪,张某构成盗窃罪C、王某构成故意伤害罪,张某构成抢夺罪D、王某、张某共同构成故意伤害罪和盗窃罪
若要人不知,除非己莫为;若要人不闻,除非己莫言。为之而欲人不知,言之而欲人不闻,此犹捕雀而掩目,盗钟而掩耳者。
根据以上陈述,可以得出以下哪项?
(A)若己不言,则人不闻。
(B)若己为,则人会知:若己言,则人会闻。
(C)若能做到盗钟而掩耳,则可言之而人不闻。
(D)若己不为,则人不知。
(E)若能做到捕雀而掩目,则可为之而人不知。
A、秘书长B、审计长C、财政部部长D、国务委员
马克思指出:“把资本主义生产过程联系起来考虑,或作为再生产过程来考察,它不仅生产商品,不仅生产剩余价值,而且还生产和再生产资本主义关系本身,一方面是资本家,另一方面是雇佣工人。”这句话表明,资本主义再生产的实质是
A.劳动过程和价值增值过程的统一
B.价值形成过程和价值增值过程的统一
C.生产过程和流通过程的统一
D.物质资料再生产和资本主义生产关系再生产的统一
A.与相似
B.与相似
C.与相似
D.与相似
A.使用价值和价值之间的矛盾
B.私人劳动和社会劳动的矛盾
C.具体劳动和抽象劳动的矛盾
D.脑力劳动和体力劳动的矛盾
“爱屋及乌”这个成语中涉及的迁移类型是
A.知识迁移
B.技能迁移
C.习惯迁移
D.态度迁移
A.
B.
C.
D.
A.形成级差地租I的超额利润
B.形成级差地租II的超额利润
C.形成绝对地租的超额利润
D.形成垄断地租的超额利润
A.
B.
C.
D.
在资本主义制度下,为了掩盖资本主义剥削的实质,工人劳动一段时间后,资本家会支付给工人一定数量的工资。表面看来,工人好像是出卖劳动,工资是劳动的报酬。然而,马克思并没有被这一假象所迷惑,他始终强调“工资不是它表面上呈现的那种东西”。马克思认为,资本主义工资的本质是
A.劳动的价值
B.劳动力的价值或价格
C.工人全部劳动的报酬
D.劳动的价格