奋学网 >学历类 >考研考博 >试题列表

1924年1月,中国国民党第一次全国代表大会在广州召开,大会通过的宣言对三民主义作出了新的解释,新三民主义成为第一次国共合作的政治基础,究其原因,是由于新三民主义的政纲()

  • A.同中国共产党在民主革命阶段的纲领基本一致
  • B.把斗争的矛头直接指向北洋军阀
  • C.把斗争的矛头直接指向北洋军阀
  • D.把民主主义概括为“平均地权

甲.乙约定:甲赠与乙紫砂壶一把,该合同在乙结婚是生效,该合同属于()

  • A.附确定期限的合同()。
  • B.附不确定期限的合同
  • C.附延缓条件的合同
  • D.附接触条件的合同

《法经》中规定对博戏行为进行处罚的篇目是()

  • A.《杂法》
  • B.《网法》
  • C.《盗法》
  • D.《具法》

判决宣告前,一人犯数罪,分别被判处有期徒刑的,对于数个有期徒刑的并罪,应采用()。

  • A.吸收原则
  • B.简单相加原则
  • C.并科原则
  • D.限制加重原则

Ababymightshowfearofanunfamiliaradult,_______heislikelytosmileandreachouttoanotherinfant.

  • A.if
  • B.wherever
  • C.sothat
  • D.whereas

曲线在点(0,-1)处的切线方程为________.

Somemoleculesarelargeenough________(see)undertheelectronicmicroscope.

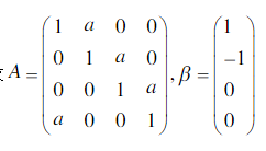
(I)计算行列式A;(II)当实数a为何值时,方程组有无穷多解,并求其通解

根据《礼记·王制》的记载,商朝对“乱政”和“疑众”均处以“杀”。下列行为中,属于“乱政”的是()

  • A.析言破律
  • B.行伪而坚
  • C.作淫声异服
  • D.假于鬼神、时日、卜筮

You________gonow.It’sgettinglate.

  • A.hadrather
  • B.wouldrather
  • C.wouldrather
  • D.wouldbetter

甲与同村另外四名选民在外打工,不能回原籍参加镇人大代表选举。甲的下列做法,符合我国选举法的是()

  • A.口头委托在原籍的同村选民乙代为投票
  • B.与另外四人共同委托同村选民乙代为投票
  • C.书面委托同村选民乙按照甲的意愿代为投票
  • D.经户籍所在地镇政府同意,由同村选民乙代为投票

  改革开放以来,党和国家实施大规模扶贫开发,是7亿农村贫困人口摆脱贫困,但是到2014年末,全国仍有7017万农村贫困人口。农村贫困人口脱贫是全面建成小康社会最艰巨的任务。为打赢脱贫攻坚战,党的十八届五中全会提出了精准扶贫、精准脱贫的基本方略,试试这一方略的主要举措有

  A.社保政策兜底

  B.转移就业

  C.易地搬迁

  D.产业扶持

   本题为多选题,请选出正确答案,谢谢!

设向量组线性无关,则下列向量组线性相关的是( )。

A.

B.

C.

D.


A.wear
B.put on
C.bring
D.hold

曲线y=渐近线的条数为( )。

A.0

B.1

C.2

D.3

关于我们  |  免责声明  |  联系我们  |  会员须知

Copyright © 奋学网(www.fxuexi.com)All Right Reserved.湘ICP备2021013332号-3

联系我们 会员中心
返回顶部