第二次鸦片战争后,中国被迫开放一系列通商口岸。与第一次鸦片战争相比较,具体有下列哪些特点( )①数量增多②从东南沿海扩展到整个沿海地区③开始进入内地④由中国东部扩展到西部
A、①②③B、①②④C、②③④D、①③④
A、①②③B、①②④C、②③④D、①③④
自2015年初开始,欧洲遭受了二战以来规模最大的难民危机。导致难民数量增长的根本原因在于()
- A.极端组织"伊斯兰国"疯狂驱逐当地民众
- B.中东地区战乱、冲突和动荡加剧
- C.美国等发达国家无力接收大量难民
- D.欧盟在难民问题上没有形成共同的应对策略
某公司投资一个项目,已知上半年完成预算的三分之一,下半年完成了剩余部分的8千万投资未完成,则该项目的预算为()
- A.3亿元
- B.3.6亿元
- C.3.9亿元
- D.4.5亿元
- E.5.1亿元
教育科学研究的目标是()
- A.指导教育实践
- B.规范教育行为
- C.揭示教育规律
- D.制定教育方针
微分方程的特解可设为()
- A.

- B.

- C.

- D.

Thisriverformsanatural_______betweenChinaandKorea.
- A.boundary
- B.string
- C.spot
- D.zone
Wewerebusy________(get)thingsreadyforthetrialproductionwhenhephonedus.
设函数f(x)在x=0处连续,下列命题错误的是()
- A.

- B.

- C.

- D.

汇总记账凭证核算形式适用于规模大、经济业务较多的单位。()
坚持和完善社会主义初级阶段基本经济制度,必须毫不动摇巩固和发展公有制经济,必须毫不动摇鼓励、支持、引导非公有制经济发展。这是因为,公有制经济和非公有制经济都是我国( )。
A.社会主义经济的重要组成部分
B.社会主义市场经济的重要组成部分
C.社会主义经济制度的基础
D.经济社会发展的重要基础
ItwasthreeBritishsportsmenwho________banneddrugs.
- A.werecatchingtaking
- B.caughttotake
- C.caughtintaking
- D.werecaughttaking
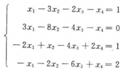
求线性方程组
的全部解。
(II)若α,β线性相关,则r(A)<2。
信度是什么意思?
“四个全面”重要战略思想体现了怎样的辩证思维?(5分)