[单项选择题]在VisualBasic中,下列哪种控件可以包含其他控件:______。
A.Picturebox
B.Commandbutton
C.ImageList
D.Cheekbox
A.Picturebox
B.Commandbutton
C.ImageList
D.Cheekbox
[填空题]在数据库系统中,实现各种数据管理功能的核心软件称为【3】。
[填空题]下列程序段的输出结果为【10】。
publicclassTest
voidprintValue(intm)
do
Systern.out,println("Thevalueis"+m);
while(-m>10);
publicstaticvoidmain(Stringarg[])
inti=10;
Testt=newTest();
t.printValue(i);
publicclassTest
voidprintValue(intm)
do
Systern.out,println("Thevalueis"+m);
while(-m>10);
publicstaticvoidmain(Stringarg[])
inti=10;
Testt=newTest();
t.printValue(i);
[填空题]下面程序段是从对象流中读取对象,请将程序补充完整。
importjava.util.*;
importjava.io.*;
publicclassUnSerializaDate
Dated=null;
UnSerializaDate()
try
FilelnputStreamf=newFilelnputStream("date.ser");
ObjectlnputStreamS=newObjectlnputStream(f);
【13】
f.close();
catch(Exceptione)
e.printStackTrace();
publicstaticvoidmain(Stringargs[])
UnSerializaDatea=newUnSerializaDate();
System.out.println("Thedatereadis:"+a.d.toString());
)
importjava.util.*;
importjava.io.*;
publicclassUnSerializaDate
Dated=null;
UnSerializaDate()
try
FilelnputStreamf=newFilelnputStream("date.ser");
ObjectlnputStreamS=newObjectlnputStream(f);
【13】
f.close();
catch(Exceptione)
e.printStackTrace();
publicstaticvoidmain(Stringargs[])
UnSerializaDatea=newUnSerializaDate();
System.out.println("Thedatereadis:"+a.d.toString());
)
[填空题]算法的基本特征是可行性、确定性、【1】和拥有足够的‘隋报。
在HTTP协议的“请求/响应”交互模型中,以下说法中错误的是______。
- A.客户机在发送请求之前需要主动与服务器建立连接
- B.服务器无法主动向客户机发起连接
- C.服务器无法主动向客户机发送数据
- D.以上都错
[填空题]在AWT包中,创建一个具有10行,45列的多行文本区域对象ta的语句为【9】。
[填空题]通常,将软件产品从提出、实现、使用维护到停止使用退役的过程称为【4】。
用来打开窗口控制菜单的快捷键是
[填空题]在Java语言中,每个字符用______个字节表示。
[单项选择题]软件按功能可以分为:应用软件、系统软件和支撑软件(或工具软件)。下面属于系统软件的是
A.编辑软件
B.操作系统
C.教务管理系统
D.浏览器
A.编辑软件
B.操作系统
C.教务管理系统
D.浏览器
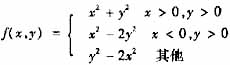
[填空题]下面是程序是计算给定函数的值,自变量x,y的值用InputBox函数输入,函数如下:
程序不完整,请填空,将程序的补充完整 OptionExplicit DimxAsSingle DimyAsSingle DimzAsSingle PrivateSubCommand1_Click() x=Val(InputBox("x=")) y=Val(InputBox("y=")) PrivateSubCommand2_Click() If 【13】 Then z=x^2+y^2 ElseIf 【14】 Then z=x^2-2*y^2 【15】 z=y^2-3*x^2 EndIf Form1.Print"当x,y的值为:";x,y Form1.Print"f(x,y)的值为:":z Endsub
程序不完整,请填空,将程序的补充完整 OptionExplicit DimxAsSingle DimyAsSingle DimzAsSingle PrivateSubCommand1_Click() x=Val(InputBox("x=")) y=Val(InputBox("y=")) PrivateSubCommand2_Click() If 【13】 Then z=x^2+y^2 ElseIf 【14】 Then z=x^2-2*y^2 【15】 z=y^2-3*x^2 EndIf Form1.Print"当x,y的值为:";x,y Form1.Print"f(x,y)的值为:":z Endsub[单项选择题]关系R和S进行自然连接时,要求R和S含有一个或多个公共______。
A.元组
B.行
C.记录
D.属性
A.元组
B.行
C.记录
D.属性
[填空题]以下是一个比赛评分程序。在窗体上建立一个名为Text1的文本框数组,然后画一个名为Text2的文本框和名为Commandl的命令按钮。运行时在文本框数组中输入7个分数,单击.“计算得分”命令按钮,则最后得分显示在Text2文本框中(去掉一个最高分和一个最低.分后的平均分即为最后得分),如图所示。请填空。
PrivateSubCommandl_Click()DimkAsIntegerDimsumAsSingle,maxAsSingle,minAsSinglesum=Text1(0)max=Text1(0)min=【11】Fork=【12】To6Ifmax<Text1(k)Thenmax=Text1(k)EndIfIfmin>Text1(k)Thenmin=Text1(k)EndIfsum=sum+Text1(k)NextkText2=(【13】)/5EndSub
PrivateSubCommandl_Click()DimkAsIntegerDimsumAsSingle,maxAsSingle,minAsSinglesum=Text1(0)max=Text1(0)min=【11】Fork=【12】To6Ifmax<Text1(k)Thenmax=Text1(k)EndIfIfmin>Text1(k)Thenmin=Text1(k)EndIfsum=sum+Text1(k)NextkText2=(【13】)/5EndSub现在使用最广泛的移动设备是手机和平板电脑