死锁是数据库系统中可能出现的一种状态。下列有关死锁的说法错误的是
- A.当事务由于无法获得对需要访问的数据项的控制权而处于等待状态时,称数据库中产生了死锁
- B.死锁是由于系统中各事务间存在冲突操作且冲突操作的并发执行顺序不当而产生的
- C.死锁预防可以使用一次加锁和顺序加锁两种方法,其中一次加锁法可能会降低系统的并发程度
- D.解除死锁通常采用的方法是选择一个或儿个造成死锁的事务,撤销这些事务并释放其持有的锁
在Photoshop中,在颜色拾取器(ColorPicker)中,可以对颜色有以下哪几种描述方式?
- A.HSB、RGB、Grayscale、CMYK
- B.HSB、IndexedColor、Lab、CMYK
- C.HSB、RGB、Lab、CMYK
- D.HSB、RGB、Lab、ColorTable
小组讨论是教师提出开放问题促进学生批判性思维和创新思维的最佳途径
服务的三个主要特点是
- A.不可靠、面向无连接和尽最大努力投递
- B.可靠、面向连接和尽最大努力投递
- C.可靠、面向连接和全双工
- D.不可靠、面向连接和全双工
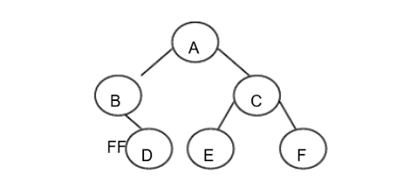
设有下列二叉树:对此二叉树中序遍历的结果为

- A.ABCDEF
- B.DAECF
- C.BDAECF
- D.DBEFCA
设当前盘中的根目录下有一子目录AB,在子目录AB下有一文件PQ.BAS。现要查看文件PQ.BAS的内容,应使用命令
- A.TYPE\ABPQ.BAS
- B.TYPE\AB\PQ.BAS
- C.TYPE\PQ.BAS
- D.DIR\AB\PQ.BAS
防护罩也是监控系统中最常用的设备之一。
20GB的硬盘表示容量约为()。
- A.20亿个字节
- B.20亿个二进制位
- C.200亿个字节
- D.200亿个二进制位
微信是移动即时沟通工具之一,其发现功能模块下的扫一扫功能主要应用了智能标签()技术。
- A.NFC
- B.RFID
- C.二维码
- D.条形码
数据库系统中的视图、存储文件和基本表分别对应数据库系统结构中的()。
- A.模式、内模式和外模式
- B.外模式。模式和内模式
- C.模式、外模式和内模式
- D.外模式、内模式和模式
测试人员和开发人员交流的纽带是
- A.软件设计报告
- B.软件缺陷报告
- C.测试说明文档
- D.测试执行报告
如果交换机有3个千兆全双工端口与16个百兆半双工端口,则交换机的最大带宽是
- A.4.6Gbps
- B.6.2Gbps
- C.7.6Gbps
- D.9.2Gbps
用户在浏览器中安装自己的数字证书,其主要目的是
- A.保护自己的计算机
- B.验证站点的真实性
- C.避免他人假冒自己
- D.表明浏览器软件的合法性
电子商务安全的中心内容中用来保证为用户提供稳定的服务的是
- A.商务数据的完整性
- B.商务对象的认证性
- C.商务服务的不可否认性
- D.商务服务的不可拒绝性
B-树是一种平衡的多路查找树。以下关于B-树的叙述中,正确的是()。
- A.根结点保存树中所有关键字且有序排列
- B.从根结点到每个叶结点的路径长度相同
- C.所有结点中的子树指针个数都相同
- D.所有结点中的关键字个数都相同