下列属于盐酸曲马多缓释片的溶出度曲线的是( )。
A.
B.
C.
D.
E.
禁用于慢性阻塞性支气管病变患者的抗心律失常药()
- A.普鲁卡因胺
- B.普萘洛尔
- C.维拉帕米
- D.苯妥英钠
- E.利多卡因
关于高脂血症的发病因素不正确的是()
- A.高糖饮食
- B.大量饮酒
- C.遗传
- D.季节因素
- E.岁以后为高危年龄
蒙医认为人体的本基是( )。
A.三秽
B.三根
C.七素
D.五脏
E.辨证施治
血管紧张素1经过血管紧张素转换酶(ACE)作用可以转变为()
- A.前列腺素(PG)
- B.肾素(R)
- C.血管紧张素Ⅱ
- D.内皮素(ET)
- E.前列环素(PGI)
青霉胺主要用于解救()
- A.铜中毒
- B.汞中毒
- C.铅中毒
- D.砷中毒
- E.肝豆状核变性
药效学研究的内容包括()
- A.药物在体内浓度变化的规律
- B.药物作用机制
- C.药物作用的时量关系
- D.药物作用的量效关系
- E.药物作用的选择性
适用于高血压合并心绞痛患者的药物是
- A.缬沙坦
- B.美托洛尔
- C.非洛地平
- D.氢氯噻嗪
- E.赖诺普利
17β-羟基雌甾-4-烯-3-酮-17-苯丙酸()
- A.甲睾酮
- B.苯丙酸诺龙
- C.醋酸甲地孕酮
- D.丙酸睾酮
- E.雌二醇
常用来调节软膏基质稠度的物质是()
- A.硅酮
- B.液状石蜡
- C.羊毛脂
- D.鲸蜡
- E.甘油明胶
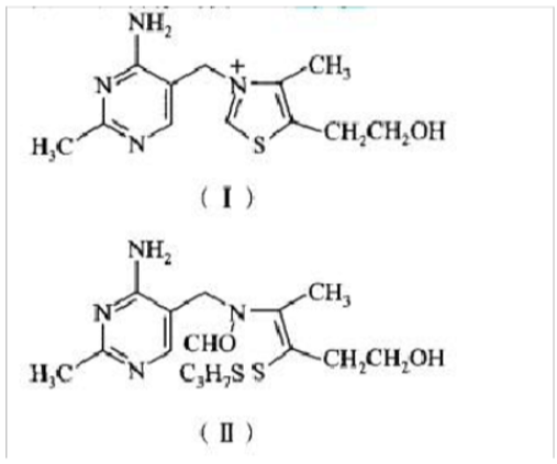
维生素B,(I)极性大、口服吸收差,对其进行结构修饰制成优硫胺(Ⅱ),口服吸收改善,此种修饰方法为()

- A.成盐修饰
- B.酰胺化修饰
- C.酯化修饰
- D.开环修饰
- E.成环修饰
为鳞茎外层单瓣鳞叶,略呈新月形,高1~2cm,直径2~3.5cm,外表面类白色至淡黄色,内表面白色或淡棕色,被有白色粉末的药材是( )。
A.松贝
B.大贝
C.青贝
D.炉贝
E.珠贝
乳癖消胶囊主治( )。
A.痰湿凝滞所导致的瘰疬
B.热毒蕴结所致的疮疡
C.痰热互结所导致的乳癖,乳痈
D.脾肾阳虚,痰瘀互结所导致的阴疽、瘰疬
E.痰气凝滞所致的瘰疬、瘿瘤、乳痈、乳癖
氨基糖苷类抗生素中抗菌谱最广的是()
- A.链霉素
- B.阿米卡星
- C.庆大霉素
- D.妥布霉素
- E.卡那霉素
非处方药广告宣传的主要对象是
- A.医师
- B.药厂
- C.药品经营部门
- D.医院药房
- E.消费者