1、工程建设过程中,确定工程项目的质量目标应在()阶段。
A.项目可行性研究
B.项目决策
C.工程设计
D.工程施工
本题答案:
B
2、工程项目建成后,难以对工程内在质量进行检验。这是因为工程质量本身具有()的特点。
A.影响因素多
B.质量波动大
C.检验特殊性
D.终检局限性
本题答案:
D
3、工程质量检测机构出具的检验报告需经()确认后,方可按规定归档。
A.监理单位
B.施工单位
C.设计单位
D.工程质量监督机构
本题答案:
A
4、根据《建筑工程质量管理条例》,设计文件中选用的材料、构配件和设备,应当注明()。
A.生产厂
B.规格和型号
C.供应商
D.使用年限
本题答案:
B
5、根据ISO质量管理体系标准,将互相关联的过程作为系统加以识别、理解和管理的质量管理原则是()。
A.过程方法
B.持续改进
C.过程评价
D.管理的系统方法
本题答案:
D
6、根据ISO质量管理体系标准,工程质量单位应以()为框架,制定具体的质量目标。
A.质量计划
B.质量方针
C.质量策划
D.质量要求
本题答案:
B
7、《卓越绩效评价准则》与ISO9000质量管理体系的不同点是()。
A.基本原理和原则不同
B.基本理念和思维方式不同
C.关注点和目标不同
D.使用方法(工具)不同
本题答案:
C
8、下列质量数据特征值中,用来描述数据离散趋势的是()。
A.极差
B.中位数
C.算术平均数
D.极值
本题答案:
A
9、采用排列图法划分质量影响因素时,累计频率达到75%对应的影响因素是()。
A.主要因素
B.次要因素
C.一般因素
D.基本因素
本题答案:
A
10、工程质量统计分析方法中,用来显示两种质量数据之间关系的是()。
A.因果分析图法
B.相关图法
C.直方图法
D.控制图法
本题答案:
B
11、根据有关标准,对有抗震设防要求的主体结构,纵向受力钢筋在最大力下的总伸长率不应小于()。
A.3%
B.5%
C.7%
D.9%
本题答案:
D
12、根据《建设工程监理规范》GB/T50319—2013,工程施工采用新技术、新工艺时,应由()组织必要的专题论证。
A.施工单位
B.监理单位
C.建设单位
D.设计单位
本题答案:
A
13、图纸会审的会议纪要应由()负责整理,与会各方会签。
A.监理单位
B.建设单位
C.施工单位
D.设计单位
本题答案:
C
14、施工单位编制的施工组织设计应经施工单位()审核签认后,方可报送项目监理机构审查。
A.法定代表人
B.技术负责人
C.项目负责人
D.项目技术负责人
本题答案:
B
15、项目监理机构收到施工单位报送的施工控制测量成果报验表后,应由()签署审查意见。
A.总监理工程师
B.监理单位技术负责人
C.专业监理工程师
D.监理员
本题答案:
C
16、项目监理机构审查施工单位报送的工程材料、构配件、设备报审表时,应重点审查()。
A.采购合同
B.技术标准
C.质量证明文件
D.设计文件要求
本题答案:
C
17、用于工程的进口材料、构配件和设备,按合同约定需要进行联合检查验收的,应由()提出联合检查验收申请。
A.施工单位
B.项目监理机构
C.供货单位
D.建设单位
本题答案:
A
18、建设单位负责采购的主要设备进场后,应由()三方共同进行开箱检查。
A.建设单位、供货单位、施工单位
B.供货单位、施工单位、项目监理机构
C.建设单位、施工单位、项目监理机构
D.供货单位、设计单位、施工单位
本题答案:
C
19、下列报审、报验表中,需要建设单位签署审批意见的是()。
A.分包单位资格报审表
B.施工进度计划报审表
C.分项工程报验表
D.工程复工报审表
本题答案:
D
20、建设单位负责采购设备时,控制质量的首要环节是()。
A.编制设备监造方案
B.选择合格的供货厂商
C.确定主要技术参数
D.选择适宜的运输方式
本题答案:
B
21、对制造周期长的设备,项目监理机构可采取()的方式实施设备质量控制。
A.目标监控
B.巡回监控
C.定点监控
D.设置质量控制点监控
本题答案:
B
22、工程施工前,检验批的划分方案应由()审核。
A.施工单位
B.建设单位
C.项目监理机构
D.设计单位
本题答案:
C
23、工程施工过程中,同一项目重复利用同一抽样对象已有检验成果的实施方案时,应事先报()认可。
A.建设单位
B.设计单位
C.施工单位
D.项目监理机构
本题答案:
D
24、工程施工过程中,采用计数抽样检验时,检验批容量为20时的最小抽样数量是()。
A.2
B.3
C.5
D.8
本题答案:
B
25、验收建筑节能分部工程质量,应由()组织。
A.施工单位技术负责人
B.总监理工程师
C.建设单位项目负责人
D.施工单位项目负责人
本题答案:
B
26、经返修或加固处理的分部工程,在()的条件下可按技术处理方案和协商文件予以验收。
A.不改变结构外形尺寸
B.不造成永久性影响
C.不影响结构安全和主要使用功能
D.不影响基本使用
27、工程质量事故发生后,项目监理机构应及时签发工程暂停令,要求施工单位采取()的措施。
A.抓紧整改、早日复工
B.防止事故信息非正常扩散
C.对事故责任人进行监管
D.防止事故扩大并保护好现场
28、工程施工中发生事故造成10人死亡,该事故属于()事故。
A.特别重大
B.重大
C.较大
D.一般
29、工程质量事故发生后,涉及结构安全和加固处理的重大技术处理方案应由()提出。
A.原设计单位
B.事故调查组建议的单位
C.施工单位
D.法定检测单位
30、项目监理机构最终确认工程质量事故的技术处理是否达到预期目的所采取的手段是()。
A.定期观测和必要的判断
B.分析和必要的论证
C.检查验收和必要的鉴定
D.征询设计单位意见
31、工程监理单位在工程勘察阶段控制质量,最重要的工作是审核和评定()。
A.勘察方案
B.勘察任务书
C.勘察合同
D.勘察成果
32、工程监理单位协助建设单位组织设计方案评审时,对总体方案评审的重点是()。
A.设计规模
B.施工进度
C.设计深度
D.材料选型
33、建设工程项目初步设计一般依据()编制相应的经济文件。
A.估算指标
B.概算指标
C.概算定额
D.预算定额
34、建设工程项目设计和施工图设计应依据()设置投资控制目标。
A.投资估算
B.设计概算
C.施工图预算
D.工程量清单
35、工程款支付证书由()签发。
A.专业监理工程师
B.建设单位
C.总监理工程师
D.项目审计部门
36、建安工程企业管理费中的检验试验费是用于()试验的费用。
A.一般材料
B.构件破坏性
C.新材料
D.新构件
37、施工单位以60万元价格购买一台挖掘机,预计可使用1000个台班,残值率为5%。施工单位使用15个日历天,每日历天按2个台班计算,司机每台班工资与台班动力费等合计为100元,该台挖掘机的使用费为()万元。
A.1.41
B.1.71
C.1.86
D.2.01
38、根据建筑安装工程费用相关规定,规费中住房公积金的计算基础是()。
A.定额人工费
B.定额材料费
C.定额机械费
D.分部分项工程费
39、下列费用中,属于建设单位管理费的是()。
A.可行性研究费
B.工程竣工验收费
C.环境影响评价费
D.劳动安全卫生评价费
40、施工单位从银行贷款2000万元,月利率为0.8%,按月复利计息,两月后应一次性归还银行本息共计()万元。
A.2008.00
B.2016.00
C.2016.09
D.2032.13
41、建设单位从银行贷款1000万元,贷款期为2年,年利率6%,每季度计息一次,则贷款的年实际利率为()。
A.6%
B.6.12%
C.6.14%
D.12%
42、关于净现值指标的说法,正确的是()。
A.该指标全面考虑了项目在整个计算期内的经济状况
B.该指标未考虑资金的时间价值
C.该指标反映了项目投资中单位投资的使用效率
D.该指标直接说明了在项目运营期各年的经营成果
43、价值工程的目标是以()实现项目必须具备的功能。
A.最少的项目投资
B.最高的项目盈利
C.最低的寿命周期成本
D.最低的项目运行成本
44、建设工程项目招标时,工程量清单通常由()提供。
A.造价单位
B.施工单位
C.咨询单位
D.建设单位
45、现行计量规范的项目编码由十二位数字构成,其中第五至第六位数字为()。
A.专业工程码
B.附录分类顺序码
C.分部工程顺序码
D.清单项目名称顺序码
46、根据现行工程量计量规范,清单项目的工程量应以()为准进行计算。
A.完成后的实际值
B.形成工程实体的净值
C.定额工程量数量
D.对应的施工方案数量
47、关于编制招标控制价的说法,正确的是()。
A.综合单价应包括由招标人承担的费用及风险
B.安全文明施工费按投标人的施工组织设计确定
C.措施项目费应为包括规费、税金在内的全部费用
D.暂估价中材料单价,应按招标工程量清单的单价计入综合单价
48、某挖沟槽土方项目招标,工程量清单中的土方开挖工程量为200m3,投标人按施工方案计算得到的预算工程量为300m3,按企业定额该子项基价为100元/m3,则该土方开挖的单位报价应为()元/m3。
A.300
B.200
C.150
D.100
49、合同总价只有在设计和工程范围发生变更时才能随之做相应调整,除此之外一般不得变更的合同称为()。
A.固定总价合同
B.可调总价合同
C.固定单价合同
D.可调单价合同
50、承包人应在采购材料前将采购数量和新的材料单价报( )核对,确认用于本合同工程时,应确认采购材料的数量和单价。
A.发包人
B.承包人
C.监理单位
D.设计单位
51、下列投资控制工作中,属于监理工程师的工作是()。
A.确定投资控制目标
B.确定资金使用计划
C.结算已完工程费用
D.提出投资目标调整建议
52、将项目总投资按单项工程及单位工程等分解编制而成的资金使用计划称为按()分解的资金使用计划。
A.投资构成
B.子项目
C.时间进度
D.专业工程
53、根据《建设工程工程量清单计价规范》,当实际工程量比招标工程量清单中的工程量增加15%以上时,对综合单价进行调整的方法是()。
A.增加后整体部分的工程量的综合单价调低
B.增加后整体部分的工程量的综合单价调高
C.超出约定部分的工程量的综合单价调低
D.超出约定部分的工程量的综合单价调高
54、某工程采用的预拌混凝土由承包人提供,双方约定承包人承担的价格风险系数≤5%。承包人投标时对预拌混凝土的投标报价为308元/m3,招标人的基准价格为310元/m3,实际采购价为327元/m3。发包人在结算时确认的单价应为()元/m3。
A.308.00
B.309.49
C.310.00
D.327.00
55、下列事件中,需要进行现场签证的是()。
A.合同范围以内零星工程的确认
B.修改施工方案引起工程量增减的确认
C.承包人原因导致设备窝工损失的确认
D.合同范围以外新增工程的确认
56、关于赢得值法及其应用的说法,正确的是()。
A.赢得值法有四个基本参数和三个评价指标
B.投资(进度)绩效指数反映的是绝对偏差
C.投资(进度)偏差仅适合对同一项目做偏差分析
D.进度偏差为正值,表示进度延误
57、下列进度计划中,属于建设单位计划系统的是()。
A.设计准备工作进度计划
B.设计总进度计划
C.工程项目总进度计划
D.施工准备工作计划
58、大型建设项目总进度目标论证的核心工作是通过编制(),论证总进度目标实现的可能性。
A.总进度纲要
B.施工组织总设计
C.总进度规划
D.各子系统进度规划
59、采用横道图表示建设工程进度计划的优点是()。
A.能够明确反映工作之间的逻辑关系
B.易于编制和理解进度计划
C.便于优化调整进度计划
D.能够直接反映影响工期的关键工作
60、建设工程采用平行施工组织方式的特点是()。
A.能够均衡使用施工资源
B.单位时间内投入的资源量较少
C.专业工作队能够连续施工
D.能够充分利用工作面进行施工
61、某分部工程有3个施工过程,分为4个施工段组织加快的成倍节拍流水施工,各施工过程的流水节拍分别为6天、4天和8天,则该分部工程的流水施工工期是()天。
A.18
B.24
C.34
D.42
62、建设工程组织非节奏流水施工时,计算流水步距的基本步骤是()。
A.取最大值→错位相减→累加数列
B.错位相减→累加数列→取最大值
C.累加数列→错位相减→取最大值
D.累加数列→取最大值→错位相减
63、某分部工程有两个施工过程,分为3个施工段组织非节奏流水施工,各施工过程的流水节拍分别为3天、5天、5天和4天、4天、5天,则两个施工过程之间的流水步距是()天。
A.2
B.3
C.4
D.5
64、双代号网络图中虚工作的特征是()。
A.不消耗时间,但消耗资源
B.不消耗时间,也不消耗资源
C.只消耗时间,不消耗资源
D.既消耗时间,也消耗资源
65、某工程网络计划中,工作M的持续时间为4天,工作M的三项紧后工作的最迟开始时间分别为第21天、第18天和第15天,则工作M的最迟开始时间是第()天。
A.11
B.14
C.15
D.17
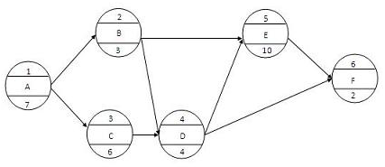
66、某工程单代号网络计划如下图所示,工作E的最早开始时间是()。

A.10
B.13
C.17
D.27
67、计划工期等于计算工期的双代号网络计划中,关于关键节点特点的说法,正确的是()。
A.相邻关键节点之间的工作一定是关键工作
B.以关键节点为完成节点的工作总时差和自由时差相等
C.关键节点连成的线路一定是关键线路
D.两个关键节点之间的线路一定是关键线路
68、在工程网络计划中,关键工作的特点是()。
A.关键工作一定在关键线路上
B.关键工作的持续时间最长
C.关键工作的总时差最小
D.关键工作的持续时间最短
69、工程网络计划工期优化过程中,首先应选择压缩持续时间的工作是()的关键工作。
A.缩短时间对质量和安全影响不大
B.工程变更程序相对简单
C.资源消耗比较均衡
D.直接成本最小
70、工程网络计划费用优化过程中,压缩关键工作的持续时间应遵循的基本原则是()。
A.必须将关键工作压缩成非关键工作
B.压缩后工作的持续时间不能小于其总时差
C.优先选择压缩综合费率最小的关键工作
D.多条关键线路的持续时间应压缩相同数值
71、在单代号搭接网络计划中,关键线路是指()的线路。
A.持续时间总和最长
B.时间间隔均为零
C.时距总和最长
D.由关键节点组成
72、用来比较实际进度与计划进度的香蕉曲线法中,组成香蕉曲线的两条线分别是按各项工作的()安排绘制的。
A.最早开始时间和最迟开始时间
B.最迟开始时间和最迟完成时间
C.最早开始时间和最早完成时间
D.最早开始时间和最迟完成时间
73、当某项工作实际进度拖延的时间超过其总时差而需要调整进度计划时,应考虑该工作的()。
A.资源需求量
B.后续工作的限制条件
C.自由时差的大小
D.紧后工作的数量
74、下列工作内容中,属于进度监测系统过程的是()。
A.分析进度偏差产生的原因
B.提出调整进度计划的措施
C.现场实地检查工程进展情况
D.分析进度偏差对总工期的影响
75、下列设计进度控制工作中,属于监理单位进度监控工作的是()。
A.认真实施设计进度计划
B.编制切实可行的设计总进度计划
C.编制阶段性设计进度计划
D.定期比较分析设计完成情况与计划进度
76、确定施工进度控制目标时,可将()作为主要依据。
A.工程量清单
B.工程难易程度
C.已完工程实际进度
D.单位工程施工组织设计
77、监理工程师在审查施工进度计划时,发现问题后应采取的措施是()。
A.向承包单位发出整改通知书
B.向建设单位发出工作联系单
C.向承包单位发出整改联系单
D.向承包单位发出停工令
78、编制初步施工总进度计划时,应尽量安排以()的单位工程为主导的全工地性流水作业。
A.工程技术复杂、工期长
B.工程量大、工程技术相对简单
C.工程造价大、工期长
D.工程量大、工期长
79、调整施工进度计划时,通过增加劳动力和施工机械的数量缩短某些工作持续时间的措施属于()。
A.经济措施
B.技术措施
C.组织措施
D.合同措施
80、物资需求计划编制中,确定建设工程各计划期需求量的主要依据是()。
A.年度施工进度计划
B.分部分项工程作业计划
C.物资储备计划
D.施工总进度计划
81、在影响工程质量的诸多因素中,环境因素对工程质量特性起到重要作用。下列因素属于工程作业环境条件的有()。
A.防护设施
B.水文、气象
C.施工作业面
D.组织管理体系
E.通风照明
82、工程质量监督机构依法对工程质量进行强制性监督的主要任务有()。
A.检测现场所用的建筑材料质量
B.检查施工现场工程建设各方主体质量行为
C.检查工程实体质量
D.审查施工图涉及工程建设强制性标准的内容
E.监督工程质量验收
83、下列记录中,属于监理服务“产品”的有()。
A.旁站记录
B.材料设备验收记录
C.培训记录
D.不合格品处理记录
E.管理评审记录
84、根据抽样检验分类方法,属于计量型抽样检验的质量特性有()。
A.几何尺寸
B.焊点不合格数
C.标高
D.裂缝条数
E.强度
85、用于工程的钢筋进场后,应按规定抽取试件进行拉伸试验,试验内容包括()。
A.抗拉强度
B.屈服强度
C.冷弯
D.伸长率
E.抗剪强度
86、项目监理机构对施工单位报送的工程开工报审表及相关资料进行审查的内容有()。
A.施工单位资质等级是否符合相应施工工作
B.施工组织设计是否已由总监理工程师签认
C.施工单位的管理及施工人员是否已到位
D.施工机械是否已具备使用条件
E.施工单位现场质量安全生产管理体系是否已建立
87、项目监理机构对施工单位提供的试验室进行检查的内容有()。
A.试验室的资质等级
B.试验室的试验范围
C.试验室的性质和规模
D.试验室的管理制度
E.试验人员的资格证书
88、下列报审、报验表中,只需由专业监理工程师签署审查意见的有()。
A.分部工程报验表
B.单位工程竣工验收报审表
C.施工控制测量成果报验表
D.工程材料、构配件、设备报审表
E.分包单位资格报审表
89、工程施工过程中,应由总监理工程师签发工程暂停令的情形有()。
A.施工单位施工质量保证措施欠缺
B.施工单位拒绝项目监理机构管理
C.施工单位未按审查通过的工程设计文件施工
D.施工单位采用不适当的施工工艺
E.施工单位违反工程建设强制性标准
90、工程监理单位控制设备制造过程质量的主要内容有()。
A.控制设计变更
B.控制加工作业条件
C.处置不合格零件
D.明确设备制造过程的要求
E.检查工序产品
91、根据《建筑工程施工质量验收统一标准》,分项工程可按()进行划分。
A.主要工种
B.施工工艺
C.施工特点
D.设备类别
E.专业性质
92、验收建筑工程地基与基础分部工程质量时,应由()参加。
A.施工单位项目负责人
B.设计单位项目负责人
C.总监理工程师
D.勘察单位项目负责人
E.建设单位项目负责人
93、在工程施工质量验收活动中,分部工程质量验收的合格条件包括()。
A.所含主要分项工程的质量验收合格
B.有关安全、节能抽样检验结果符合规定
C.有关环境保护抽样检验结果符合规定
D.观感质量符合要求
E.质量控制资料完整
94、下列可能导致工程质量缺陷的因素中,属于施工与管理不到位的有()。
A.采用不正确的结构方案
B.未经设计单位同意擅自修改设计
C.技术交底不清
D.施工方案考虑不周全
E.图纸未经会审
95、工程质量事故处理的依据有()。
A.有关合同文件
B.相关法律法规
C.有关工程定额
D.质量事故实况资料
E.有关工程技术文件
96、下列工程设计质量管理工作中,属于工程监理单位工作的有()。
A.协助建设单位编制设计任务书
B.协助建设单位组织工程设计变更
C.审查设计单位提交的设计成果
D.将设计文件送审图机构审查
E.深化设计的协调管理
97、施工图预算审查的内容包括()。
A.施工图是否符合设计规范
B.施工图是否满足项目功能要求
C.施工图预算的编制是否符合相关法律、法规
D.工程量计算是否准确
E.施工图预算是否超过概算
98、由多个部件组成的产品,应优先选择()的部件作为价值工程的分析对象。
A.造价低
B.数量多
C.体积小
D.加工工序多
E.废品率高
99、某项目,建设期为2年,现金来源部分为银行贷款,贷款年利率为4%,按年计息且建设期不支付利息,第一年贷款额为1500万元,第二年贷款额1000万元,假设贷款在每年的年中支付,建设期贷款利息的计算,正确的有()。
A.第一年的利息为30万元
B.第二年的利息为60万元
C.第二年的利息为81.2万元
D.第二年的利息为82.4万元
E.两年的总利息为112.4
100、下列费用中,属于安全文明施工费的有()。
A.环境保护费用
B.设备维护费用
C.脚手架工程费用
D.临时设施费用
E.工程定位复测费用
101、下列费用中,属于施工机械使用费的有()。
A.折旧费
B.经常修理费
C.安装费
D.操作人员保险费
E.场外运费
102、监理工程师在施工阶段进行投资控制的经济措施有()。
A.分解投资控制目标
B.进行工程计量
C.严格控制设计变更
D.审查施工组织设计
E.审核竣工结算
103、在工程招标投标阶段,工程量清单的主要作用有()。
A.为招标人编制投资估算文件提供依据
B.为投标人投标竞争提供一个平等基础
C.招标人可据此编制招标控制价
D.投标人可据此调整清单工程量
E.投标人可按其表述的内容填报相应价格
104、关于投标报价编制的说法,正确的有()。
A.投标人可委托有相应资质的工程造价咨询人编制投标价
B.投标人可依据市场需求对所有费用自主报价
C.投标人的投标报价不得低于其工程成本
D.投标人的某一子项目报价高于招标人相应基准价的应予废标
E.执行工程量清单招标的,投标人必须按照招标工程量清单填报价格
105、审核投标报价时,对分部分项工程综合单价的审核内容有()。
A.综合单价的确定依据是否正确
B.清单中提供了暂估单价的材料是否按暂估的单价进入综合单价
C.暂列金额是否按规定纳入综合单价
D.单价中是否考虑了承包人应承担的风险费用
E.总承包服务费的计算是否正确
106、在施工阶段,监理工程师应进行计量的项目有()。
A.工程量清单中的全部项目
B.各种原因造成返工的全部项目
C.合同文件中规定的项目
D.超出合同工程范围施工的项目
E.工程变更项目
107、在施工阶段,下列因不可抗力造成的损失中,属于发包人承担的有()。
A.在建工程的损失
B.承包人施工人员受伤产生的医药费
C.施工机具的损坏损失
D.施工机具的停工损失
E.工程清理修复费用
108、下列引起投资偏差的原因中,属于建设单位原因的有()。
A.设计标准变化
B.投资规划不当
C.建设手续不全
D.施工方案不当
E.未及时提供施工场地
109、下列影响建设工程进度的不利因素中,属于建设单位因素的有()。
A.不能及时向施工承包单位付款
B.组织协调不利,导致停工待料
C.由于使用要求改变而进行设计变更
D.提供的场地不能满足工程正常需要
E.邻近工程施工干扰
110、下列建设工程进度控制措施中,属于技术措施的有()。
A.采用网络计划技术等计划方法
B.审查承包商提交的进度计划
C.加强合同风险管理
D.建立工程进度报告制度
E.编制进度控制工作细则
111、建设工程组织流水施工时,影响施工过程流水强度的因素有()。
A.投入的施工机械台数和人工数
B.专业工种工人或施工机械活动空间人数
C.相邻两个施工过程相继开工的间隔时间
D.施工过程中投入资源的产量定额
E.施工段数目
112、建设工程组织固定节拍流水施工的特点有()。
A.施工过程在各施工段上的流水节拍不尽相等
B.各专业工作队在各施工段上能够连续作业
C.相邻施工过程之间的流水步距相等
D.专业工作队数大于施工过程数
E.各施工段之间没有空闲时间
113、某双代号网络图如下图所示,绘图错误有()。

A.多个起点节点
B.存在循环回路
C.节点编号有误
D.多个终点节点
E.工作箭头逆向
114、某工程双代号网络计划如下图所示,其中关键线路有()。

A.①→②→④→⑤→⑦
B.①→②→③→④→⑤→⑥→⑦
C.①→③→④→⑤→⑥→⑦
D.①→③→④→⑤→⑦
E.①→②→③→④→⑥→⑦
115、某工程双代号时标网络计划如下图所示,关于时间参数的说法正确的有()。

A.工作B总时差为零
B.工作E最早开始时间为第4天
C.工作D总时差为零
D.工作I自由时差为1天
E.工作G总时差为2天
116、关于建设工程多级网络计划系统的说法,正确的有()。
A.计划系统由不同层次网络计划组成
B.处于同一层级的网络计划相互关联和搭接
C.能够使用一个网络图来表达工程的所有工作内容
D.进度计划通常采用自顶向下、分级编制的方法
E.能够保证建设工程所需资源的连续性
117、某工作计划进度与实际进度如下所示,图中表明该工作( )。

A.在第1周内按计划正常进行
B.在第2周末拖欠5%的任务量
C.在第3周后半周未按计划进行
D.第5周内实际进度拖后5%
E.截至检查日期实际进度拖后
118、某工程双代号时标网络计划执行至第20天和第60天时,检查实际进度如下图前锋线所示,由图可以得出的结论有()。

A.第20天检查时,工作A进度正常,不影响总工期
B.第20天检查时,工作B拖后10天,影响总工期
C.第20天检查时,工作C拖后10天,不影响总工期
D.第60天检查时,工作D提前10天,不影响总工期
E.第60天检查时,工作E拖后10天,影响总工期
119、监理工程师编制的施工进度控制工作细则的内容包括()。
A.施工进度控制目标分解图
B.进度控制组织措施
C.施工进度控制目标实现的风险分析
D.施工总进度计划编制程序
E.单位工程施工进度计划编制要求
120、施工总进度计划编制过程中,确定各项单位工程开竣工时间和相互搭接关系应考虑的因素有()。
A.同一时间施工的项目不宜过多,以免人力、物力过于分散
B.尽量提前建设可供工程施工使用的永久性工程,以节省临时工程费用
C.应注意季节对施工顺序的影响,以保证工期和质量
D.尽量提高单位工程施工的机械化程度,以降低工程成本
E.尽量做到劳动力、施工机械和主要材料的供应在工期内均衡