1、对专业分包企业的工作和负责的工程负有协调和管理责任,并承担由此造成损失的单位是( )。
A.设计单位
B.建设单位
C.施工总承包企业
D.监理单位
本题答案:
C
2、编制项目建议书属于建设工程项目全寿命周期( )。
A.决策阶段的工作
B.实施阶段的工作
C.设计准备阶段的工作
D.施工阶段的工作
本题答案:
A
3、建设工程施工管理中的组织结构图反映的是( )。
A.一个项目管理班子中各组成部门之间的逻辑关系
B.一个项目中各组成部分之间的组织关系
C.一个项目管理班子中各组成部门之间的组织关系
D.一个项目中各组成部分之间的逻辑关系
本题答案:
C
4、关于职能组织结构模式的说法,错误的是()。
A.组织结构图中用矩形框表示工作部门
B.组织结构图中两个矩形框之间用单向箭线连接
C.每个职能部门可对直接和非直接部门下达命令
D.在职能组织结构中,每一个下属的工作部门只有一个指令源
本题答案:
D
5、关于组织论和组织工具,下列说法中正确的是( )。
A.系统的组织决定了系统的目标,组织是目标能否实现的决定性因素
B.组织结构模式反映一个组织系统中各子系统之间或各元素之间的指令关系
C.组织分工包括工作任务分工和管理职能分工,是动态的组织关系
D.工作流程组织反映工作之间的逻辑关系,是一种静态关系
本题答案:
B
6、施工组织设计中施工部署及施工方案的内容不包括()。
A.合理安排施工顺序
B.确定主要工程的施工方案
C.全面部署施工任务
D.编制资源需求计划
本题答案:
D
7、下列项目目标控制工作中,属于主动控制的是( )。
A.事前分析可能导致目标偏离的各种影响因素
B.目标出现偏离时采取纠偏措施
C.进行目标的实际值与计划值的比较
D.分析目标的实际值与计划值之间存在偏差的原因
本题答案:
A
8、项目管理目标责任书应在项目实施之前,由()或其授权人与项目经理协商制定。
A.企业董事长
B.企业法定代表人
C.企业总经理
D.主管生产经营的副总经理
本题答案:
B
9、下列选项中,可供施工单位选择的风险应对措施不包括()。
A.风险评估
B.风险减轻
C.风险自留
D.风险规避
本题答案:
A
10、下列关于城市轨道交通地下工程风险管理的说法中,正确的是()。
A.风险的损失量仅考虑费用损失,不必计算工期损失
B.风险管理应编制风险控制预案、建立重大风险事故呈报制度
C.编制施工风险识别报告是风险评估阶段的工作
D.现场与公用防火设施的可用性及其数量属于组织风险
本题答案:
B
11、根据《建设工程质量管理条例》,未经( )签字的建筑材料不得在工程上使用。
A.监理员
B.专业监理工程师
C.总监理工程师代表
D.总监理工程师
本题答案:
B
12、下列竣工验收阶段建设监理工作的主要任务,说法有误的是()。
A.督促和检查施工单位及时整理竣工文件和验收资料
B.审查施工单位提交的竣工验收申请
C.编写工程质量评估报告
D.组织工程验收
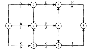
本题答案:
D
13、根据《建设工程工程量清单计价规范》GB50500—2013,计入企业管理费的税金不包括()。
A.房产税
B.土地使用税
C.车房船使用税
D.城市维护建设税
本题答案:
D
14、根据《建筑安装工程费用项目组成》(建标【2013】44号文件)的规定,下列属于检验试验费的内容是( )
A.新结构新材料的试验费
B.建设单位对具有出厂合格材料进行检验产生的费用
C.施工单位自设实验室所耗用的材料和化学药品费
D.建设单位对构件做破坏性试验产生的费用
本题答案:
C
15、通常以独立的单项工程或完整的工程项目为计算对象编制确定的生产要素消耗的数量标准或项目费用标准,是根据已建工程或现有工程的价格数据和资料,经分析、归纳和整理编制而成的是()。
A.预算定额
B.概算定额
C.概算指标
D.投资估算指标
本题答案:
D
16、预算定额是以( )为对象编制的定额。
A.建筑物或构筑物各个分部分项工程
B.扩大的分部分项工程
C.整个建筑物和构筑物
D.独立的单项工程或完整的工程项目
本题答案:
A
17、某基础土方工程,招标文件中估计工程量为5000m³,合同中规定:土方工程单价为5元/m³,当实际工程量超过估计工程量15%时,调整单价为4元/m³。工程结束时实际完成土方工程量为5500m³,则土方工程款为()元。
A.20000
B.22000
C.25000
D.27500
本题答案:
D
18、某工程施工期间,因承包人原因导致工期延误,且在延误期内国家相关法律发生变化,由此增加的费用和延误的工期()。
A.由承包人承担
B.费用由发包人承担,工期由承包人承担
C.由发包人承担
D.费用由承包人承担,工期由发包人承担
本题答案:
A
19、某新校区抗震模拟实验室工程,主体部分采用钢架结构,施工合同约定钢材由业主供料,其余材料均委托承包商采购。但承包商在以自有机械设备进行主体钢结构制作吊装过程中,由于业主供应钢材不及时导致承包商停工7天,则承包商计算施工机械窝工费时,应按()向业主提出索赔。
A.机械台班费
B.机械租赁费
C.机械使用费
D.机械折旧费
本题答案:
D
20、某工程合同价为2000万元,合同约定:物价变化时合同价款调整采用价格指数法,其中固定要素比例为0.3,调价要素为人工费、钢材、水泥三类,分别占合同价的比例为0.2、0.35、0.15,结算时价格指数分别增长了20%、15%、25%,则该工程实际价款的变化值为()万元。
A.125
B.260
C.175
D.200
本题答案:
B
21、因承包人原因未按期竣工的,对合同约定的竣工日期后继续施工的工程,在使用价格调整公式时,现行价格指数应采用的原则是( )。
A.应采用造价信息差额调整法
B.采用计划竣工日期与实际竣工日期两者的较低者
C.如果没有超过15%,则不做调整
D.采用计划竣工日期与实际竣工日期两者的较高者
本题答案:
B
22、作为施工企业全面成本管理的重要环节,施工项目成本控制应贯穿于( )的全过程。
A.从项目策划开始到项目开始运营
B.从项目设计开始到项目开始运营
C.从项目投标开始到保证金返还
D.从项目施工开始到项目竣工验收
本题答案:
C
23、按施工进度编制施工成本计划时,若所有工作均按照最早开始时间安排,则对项目目标控制的影响是()。
A.工程质量会更好
B.有利于降低投资
C.工程按期竣工的保证率较高
D.不能保证工程质量
本题答案:
C
24、某钢门窗安装工程,工程进行到第二十个月末时,已完工作预算费用为40万元,已完工作实际费用为45万元。则该项目的成本控制效果是( )
A.费用偏差为-5万元,项目运行超出预算
B.费用偏差为5万元,项目运行节支
C.费用偏差为5万元.项目运行超出预算
D.费用偏差为-5万元.项目运行节支
本题答案:
A
25、作为施工成本控制的重要依据,工程实际完成量和成本实际支出等信息主要是从()中获取的。
A.业务核算报告
B.施工组织设计
C.工程进度报告
D.工程变更报告
本题答案:
C
26、下列费用偏差原因,属于施工原因的是()。
A.协调不佳
B.人工涨价
C.图纸提供不及时
D.材料代用
27、在年度成本分析中,下列说法正确的是( )。
A.年度成本分析的内容不包括月(季)成本分析所包含的内容
B.年度成本分析的重点是对下一年度提出切实可行的成本管理措施
C.施工周期较长的项目,不需进行月(季)分析,只需进行年度分析
D.年度成本分析的依据是月(季)成本报表
28、资产、负债、所有者权益等会计要素指标,主要通过()进行核算。
A.业务核算
B.会计核算
C.统计核算
D.成本核算
29、下列成本管理的指标中,属于施工成本计划数量指标的是()。
A.按子项汇总的工程项目计划总成本指标
B.施工项目总成本降低率
C.工程项目成本降低额
D.设计预算成本计划降低额
30、施工成本核算要求的归集“三同步”是指()的取值范围是一致的。
A.形象进度、产值统计、成本归集
B.成本预测、成本计划、成本分析
C.目标成本、预算成本、成本归集
D.人工成本、材料成本、机械成本
31、进行建设工程项目总进度目标论证工作时,确定项目的工作编码的紧前工作是( )。
A.调查研究和资料收集
B.进行项目结构分析
C.进行进度计划系统的结构分析
D.编制各层(各级)进度计划
32、大型建设工程项目总进度目标论证的核心工作是通过()论证总进度目标实现的可能性。
A.工程实施条件分析
B.编制总进度纲要
C.编制施工进度计划及相关的资源需求计划
D.编制多个不同的建设工程项目进度计划系统
33、施工项目经理部在施工过程中编制的月度施工计划和旬施工作业计划,都属于()。
A.控制性施工进度计划
B.指导性施工进度计划
C.实施性施工进度计划
D.综合性施工进度计划
34、某双代号如下图(时间单位:天),关键线路有( )条。

A.1
B.4
C.2
D.3
35、在计算双代号网络计划的时间参数时,工作的最早开始时间应为其所有紧前工作( )。
A.最早完成时间的最小值
B.最早完成时间的最大值
C.最迟完成时间的最小值
D.最迟完成时间的最大值
36、某工程网络计划中,工作N最早完成时间为17天,持续时间为5天,该工作有三项紧后工作,他们的最早开始时间分别为第25天、第27天和第30天,工作N的自由时差为( )天。
A.7
B.2
C.3
D.8
37、下列建设工程项目进度控制的措施中,属于技术措施的是( )
A.确定各类进度计划的审批程序
B.选择合理的合同结构
C.选择工程承发包方式
D.优化项目的设计方案或施工方案
38、施工进度计划检查的内容不包括( )。
A.工程量的完成情况
B.工作时间的执行情况
C.实际进度与计划进度的偏差
D.前一次检查提出问题的整改情况
39、下列施工进度控制措施中,属于组织措施的是( )。
A.编制进度控制工作流程
B.优选施工方案
C.重视信息技术的应用
D.编制与进度计划相适应的资源需求计划
40、下列措施中,属于进度控制的组织措施的是( )。
A.进度控制会议的组织设计
B.利用网络方法编制工程进度计划
C.承发包模式的选择
D.更换施工机械
41、关于施工质量控制的说法,正确的是( )
A.施工质量控制应强调过程控制
B.施工质量控制独立于施工质量管理
C.施工质量控制应以控制方法的因素为基本出发点
D.施工质量控制的特点仅由施工生产的特点决定
42、各种能源介质供应属于影响施工质量环境因素中的( )。
A.现场自然环境因素
B.施工质量管理环境因素
C.施工作业环境因素
D.方法的因素
43、下列不属于构成质量管理体系的文件的是( )。
A.安全手册
B.程序文件
C.质量计划
D.质量记录
44、施工企业质量体系文件由质量手册、程序文件、质量计划和( )等构成。
A.质量方针
B.质量目标
C.质量记录
D.质量评审
45、项目施工质量保证体系中,确定质量目标的基本依据是( )。
A.质量方针
B.工程承包合同
C.质量计划
D.设计文件
46、项目施工质量计划应根据( )等进行编制。
A.质量记录
B.程序文件
C.质量认证文件
D.企业的质量手册和本项目质量目标
47、下列各项现场质量检查的方法中,属于实测法的是( )。
A.踢脚线的垂直度
B.清水墙面是否洁净
C.油漆的光滑度
D.超声波探伤
48、施工现场混凝土坍落度试验属于现场质量检查方法中的( )。
A.目测法
B.实测法
C.现货试验法
D.无损检测法
49、关于建设工程质量政府监督的说法,正确的是()。
A.建设工程政府监督机构不对工程竣工验收进行监督
B.查处施工质量事故不属于政府质量监督机构的责任
C.抽查涉及工程主体结构安全和主要使用功能的工程实体质量
D.建设工程政府监督只涉及工程的施工阶段
50、建设工程项目开工前,工程质量监督的申报手续应由项目( )负责。
A.建设单位
B.施工企业
C.监理单位
D.设计单位
51、根据GB/T24000系列标准与国际ISO14000标准的应用原则,在组织的管理体系中,环境管理体系( )。
A.应在组织整个管理体系之外独立存在
B.不必成为独立的管理系统,应纳入组织整个管理体系中
C.应融入组织的质量和职业健康安全管理体系中
D.应在组织的整个管理体系之上,作为其他管理体系的基础
52、环境管理体系的结构系统采用PDCA循环管理模式,构成标准的要素是( )。
A.策划-支持与运行-绩效评价-改进
B.计划—运行—跟踪—纠偏
C.职业健康安全方针—策划—检查和纠正措施—管理评审
D.职业健康安全规划—计划—实施与跟踪—纠偏和控制措施—后评价
53、《环境管理体系要求及使用指南》GB/T24001—2016的总体结构中,应对风险和机遇的措施策划的基本要求和内容是()。
A.环境因素、合规义务、措施的策划
B.由最高管理者确定的本组织的环境方针的策划
C.环境目标、实现环境目标的措施的策划
D.监测和测量,合规性评价,记录控制等的策划
54、直至风险降低后才能开始工作,为降低风险有时必须配给大量的资源。这种控制措施针对于风险控制措施计划表中的()风险水平。
A.可允许的
B.中度的
C.重大的
D.不允许的
55、下列属于第一类危险源控制方法的是()。
A.应急救援
B.增加安全系数
C.改善作业环境
D.减少故障
56、某桥梁工程桩基施工过程中,由于操作平台整体倒塌导致6人死亡,52人重伤,直接经济损失118万元,根据安全事故主造成的后果,该事故属于( )。
A.一般事故
B.重大事故
C.较大事故
D.特别重大事故
57、关于施工总承包的特点的说法,正确的是( )
A.项目质量的好坏很大程度上取决于业主的管理水平
B.施工总承包合同一般只实行单价合同
C.建设周期较短,有利于周期控制
D.业主只负责对施工总承包单位的管理及组织协调
58、某工程项目采用施工总承包管理模式,如施工总承包管理单位想承接该工程部分具体工程的施工任务,则其可通过( )。
A.监理单位委托取得任务
B.投标竞争取得任务
C.施工总承包人委托取得任务
D.自行分配取得任务
59、发包人应在专用合同条款约定的期限内,通过监理人向承包人提供的资料不包括( )。
A.测量基准点
B.测量基准线
C.测量长度
D.测量水准点
60、设备采购合同规定,供货方按照交货顺序在规定的时间内将货物送达交货地点,采购方支付该批设备价的( )。
A.20%
B.40%
C.60%
D.80%
61、施工单价合同“单价优先”原则在结算中主要体现在应支付价款按( )
A.实际完成并经工程师认可的工程量和合同单价
B.清单工程量和合同单价
C.清单工程量和结算时市场单价
D.实际工程量和结算时市场单价
62、下列合同形式中,承包人承担风险最大的合同是( )。
A.固定单价合同
B.成本加固定费用合同
C.最大成本加费用合同
D.固定总价合同
63、当采用变动单价时,合同中不能约定合同单价调整的情况是( )。
A.工程量发生较大的变化
B.承包商自身成本发生较大的变化
C.通货膨胀达到一定水平
D.国家相关政策发生变化
64、根据《标准施工招标文件》,合同履行中可以进行工程变更的情形不包括()。
A.改变合同工程的基线
B.改变合同中某项工作的施工时间
C.取消合同中某项工作,转由发包人实施
D.为完成工程追加的额外工作
65、根据《标准施工招标文件》,合同中有适用于变更工程的价格,则变更合同价款的确定方法是( )
A.直接按合同已有的价格确定;
B.由发包人提供并经双方确认执行;
C.参照已有价格并结合变更工程量大小综合确定;
D.由承包人提出并经由当地工程造价管理部门审查确定
66、下列作为施工合同跟踪对象,属于业主工作的有( )。
A.工程施工质量
B.工程施工进度
C.工程师是否答复
D.施工成本的增加和减少
67、根据《标准施工招标文件》中的通用条款,承包人按合同约定提交的最终结清申请单中,只限于提出( )发生的索赔。
A.在合同工程接收证书颁发前
B.在合同工程接收证书颁发后
C.在竣工付款证书接收前
D.在缺陷责任期终止证书颁发后
68、根据我国保险制度,工程一切险通常由()办理。
A.项目法人
B.承包人
C.监理人
D.设计人
69、投资控制.进度控制的信息属于( )。
A.组织类工程信息
B.管理类工程信息
C.技术类工程信息
D.法规类信息
70、为了充分发挥信息资源的作用和提高信息管理的水平,施工单位和其项目管理部门都应设置专门的工作部门(或专门的人员)负责()。
A.信息收集
B.信息加工
C.信息管理
D.信息传输
71、采用施工总承包管理模式时,下列关于施工总承包管理方的说法,正确的有( )。
A.施工总承包管理方主要进行施工的总体管理和协调
B.一般情况下,由施工总承包管理方与分包方和供货方直接签订施工合同
C.业主方可能会要求施工总承包管理方负责整个施工的招标和发包工作
D.施工总承包管理方承担对分包方的组织和管理责任
E.由业主方选定的分包方无须施工总承包管理方的认可
72、采用下图所示的组织结构模式,则关于该组织结构的说法正确的是( )。

A.甲工作涉及的指令部有2个,即项目部1和技术部
B.该组织结构属于矩阵式
C.技术不可以对甲、乙、丙丁、直接下达指令
D.当乙工作来自项目部和合同部的指令矛盾时,必须以合同部指令为主
E.工程部不可以对甲、乙、丙、丁直接下达指令
73、下列选项中,属于项目经理权限的有( )
A.主持项目管理机构工作
B.组织项目招标、投标工作
C.参与选择大宗资源的供应单位
D.对资源进行动态管理
E.进行授权范围内的利益分配
74、依据《建设工程项目管理规范》GB/T50326—2017,关于风险管理计划的说法,正确的是()。
A.应在项目管理策划时确定
B.招标文件与工程合同是重要的编制依据
C.组织的风险管理制度是重要内容
D.风险跟踪的要求是其内容之一
E.一经批准实施则不得进行调整
75、建筑安装工程费按照费用构成要素划分,人工费包括()。
A.计时工资或计件工资
B.劳动保护费
C.加班加点工资
D.医疗保险费
E.奖金、津贴补贴
76、根据《建筑安装工程费用项目组成》(建标E2013344号),建筑安装工程费按照工程造价形成由分部分项工程费、措施项目费、其他项目费、规费、税金组成。其中措施项目费包括( )
A.安全文明施工费
B.检验试验费
C.二次搬运费
D.夜间施工增加费
E.脚手架工程费
77、根据《建设工程量清单计价规范》(GB50500-2013),分部分项工程综合单价包括了相应的( )。
A.企业管理费
B.利润
C.税金
D.措施费
E.规费
78、按照编制程序和用途,建设工程定额包括五种类型,它们之间关系的正确表述有()。
A.预算定额是以施工定额为基础综合扩大编制的
B.投资估算指标只确定单项工程建设所需费用的标准
C.概算指标是以扩大的分部分项工程为对象编制的
D.在这些定额中只有施工定额是企业性质的定额
E.概算定额是以整个建筑物或构筑物为对象编制的
79、根据九部委《标准施工招标文件》中通用合同条款的规定,关于计日工的说法,正确的有()。
A.发包人认为有必要时,由监理人通过承包人以计日工方式实施变更的零星工作
B.采用计日工计价的任何一项变更工作,应从暂列金额中支付
C.采用计日工的任何一项变更工作,承包人应在该项变更的实施过程中,每天提交相关报表和有关凭证报送监理人审批
D.计日工由发包人汇总后,按合同约定列入进度付款申请单
E.计日工汇总并列入进度付款申请单,应由监理人复核并同意
80、建设工程项目总进度目标论证时,在进行项目的工作编码前应完成的工作有()。
A.编制各层进度计划
B.协调各层进度计划的关系
C.调查研究和收集资料
D.进度计划系统的结构分析
E.项目结构分析
81、某分部工程的单代号网络计划如下图所示(时间单位:天),下列选项正确的有()。

A.计算工期为15天
B.有两条关键线路
C.工作H的自由时差为2天
D.工作G的总时差和自由时差均为4天
E.工作D和I之间的时间间隔为1天
82、某分部分项工程双代号网络计划如下图所示,其中关键工作有()。

A.工作B
B.工作C
C.工作D
D.工作E
E.工作H
83、在工程项目网络计划中,关键线路是指( )。
A.单代号网络计划中总时差为零的线路
B.双代号网络计划中持续时间最长的线路
C.单代号网络计划中总时差为零且工作时间间隔为零的线路
D.双代号网络计划中计划工期等于计算工期时总时差为零的线路
E.双代号网络计划中无虚箭线的线路
84、下列机械设备,属于施工机械设备的有( )。
A.辅助配套的电梯、泵机
B.测量仪器
C.计量器具
D.空调设备
E.操作工具
85、质量保证体系的内容包括()。
A.质量方针和目标
B.程序文件
C.组织结构系统
D.实施计划方案
E.管理制度办法
86、下列施工质量事故说法正确的是()。
A.当工程质量缺陷经过修补处理后仍不能满足规定的质量标准要求可采取加固处理
B.后道工序可以弥补的质量缺陷可以不作处理
C.对危及承载力的质量缺陷可做加固处理
D.不影响结构安全、生产工艺和使用要求的需做修补处理
E.当工程质量缺陷按修补方法处理后无法保证达到规定的使用要求和安全要求,而又无法返工处理的情况下,不得已时可做出限制使用的决定
87、施工质量事故处理的程序中,主要工作有( )。
A.事故调查
B.制定事故处理方案
C.事故处理
D.事故处理鉴定验收
E.主观判断事故原因
88、政府对建设工程施工质量监督的内容主要有( )。
A.监督检查参建各方主体的质量行为
B.监督检查工程实体的施工质量
C.评定工程质量等级
D.监督检查施工合同履行情况
E.监督竣工验收
89、关于安全生产管理制度的说法,正确的有( )。
A.安全生产许可证有效期2年
B.新员工上岗前的三级安全教育,对建设工程来说,具体指进企业,进项目,进班组三级
C.对高大模板工程的专项施工方案,施工单位应当组织专家进行论证,审查
D.按照“三同时”制度要求,安全设施投资应当纳入建设工程概算
E.特种作业人员离开特种作业岗位1年后,应当重新进行培训,经培训合格后方可上岗作业
90、施工安全生产管理制度体系的建立,应贯彻“安全第一,预防为主”的方针,施工企业必须建立健全(),确保工程施工劳动者的人身和财产安全。
A.政府安全生产监督检查制度
B.安全生产许可证制度
C.安全生产责任制
D.群防群治制度
E.安全生产教育培训制度
91、评标中的商务评审主要是对( )等进行评审。
A.技术装备
B.组织结构
C.报价构成
D.支付条件
E.价格调整
92、根据《标准施工招标文件》的规定,下列说法中正确的是( )。
A.监理人审查承包人提交的竣工验收申请报告后认为尚不具备竣工验收条件的,应在收到竣工验收申请报告后的14天内通知承包人
B.发包人经过验收后同意接收工程的,应在监理人收到竣工验收申请报告后的56天内,由监理人向承包人出具经发包人签认的工程接收证书
C.除专用条款另有约定外,经验收合格工程的实际竣工日期,以提交竣工申请报告的日期为准
D.除专用条款另有约定外,承包人承担全部试运行费用
E.竣工清场的费用由发包人承担
93、根据《建设工程施工劳务分包合同》(GF-2003-0214),在劳务分包人施工前,工程承包人应完成的工作有( )。
A.向劳务分包人提供相应的工程资料
B.向劳务分包人支付劳动报酬
C.为劳务分包人从事危险作业的职工办理意外伤害保险
D.向劳务分包人要提供生产、生活临时设施
E.交付具备劳务作业开工条件的施工场地
94、施工合同执行者进行合同跟踪的依据有( )。
A.合同订立前签署的意向书
B.合同以及依据合同而编制的各种计划文件
C.原始记录、报表、验收报告等各种实际工程文件
D.管理人员对现场巡视、质量检查了解的情况
E.合同实践中出现的偏差情况
95、施工文件档案管理的内容主要包括四大部分,分别有( )。
A.工程施工技术管理资料
B.工程合同文档资料
C.工程质量控制资料
D.竣工图
E.工程施工质量验收资料