1、随着全球性贸易的发展,按照ISO9000标准的要求建立质量管理体系,积极开展()已成为世界性的大趋势。
A.质量管理
B.参与方质量认证
C.合同管理
D.第三方质量认证
本题答案:
D
2、由于系列标准是在总结世界各国,特别是发达国家经验的基础上产生的,具有很强的()。
A.实践性和概括性
B.实践性和指导性
C.理论性和概括性
D.理论性和指导性
本题答案:
B
3、直接影响工程的最终质量的阶段是()。
A.工程验收阶段
B.工程施工阶段
C.工程设计阶段
D.可行性研究阶段
本题答案:
B
4、( )在工程开工前,应按规定向水利工程质量监督机构办理工程质量监督手续。
A.发包人
B.承包人
C.分包人
D.监理单位
本题答案:
A
5、工程建设项目招标的三个阶段工作不包括()。
A.招标结束阶段
B.招标准备阶段
C.招标阶段
D.决标阶段
本题答案:
A
6、关于的标底的说法,错误的是()。
A.招标人必须进行标底的编制
B.标底是招标人组织专业人员进行编制的
C.一个招标项目只能有一个标底
D.标底与投标报价表示的招标项目内容范围相一致
本题答案:
A
7、不属于巡视检查要点的是( )。
A.检查原材料
B.检查施工人员
C.检查专业工程
D.检查外来出入人员
本题答案:
D
8、以下不属于验收时安装单位应提供的资料是( )。
A.验收申请报告和验收大纲
B.焊接工艺评定报告及安装工艺文件
C.闸门和埋件安装质量检验记录
D.供应构件的单位信息
本题答案:
D
9、以下关于混凝土浇筑振捣的技术要求,说法错误的是( )。
A.混凝土浇筑应以振捣代替平仓
B.振捣完应慢慢拔出,振捣棒头应插入下层混凝土5~10cm
C.严禁振捣器直接碰撞模板、钢筋及预埋件
D.混凝土浇筑过程中,严禁在仓内加水
本题答案:
A
10、项目法人应当自收到专项验收成果文件之日起( )个工作日内,将专项验收成果文件报送竣工验收主持单位备案。
A.3
B.5
C.7
D.10
本题答案:
D
11、分段、分片碾压,相邻作业面的搭接碾压宽度,垂直填筑面轴线方向不应小于( )m。
A.0.5
B.1
C.1.5
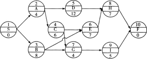
D.2
本题答案:
C
12、成因分析方法的基本步骤不包含()。
A.收集调查与质量问题有关的全部设计和施工资料
B.进行细致的现场调查研究
C.找出可能产生质量问题的所有因素
D.撰写最终质量事故结论报告
本题答案:
D
13、相关图中,散布点形成向上较分散的直线带属于()。

A.正相关
B.弱正相关
C.不相关
D.负相关
本题答案:
B
14、由于原材料或操作方法的显著变化所致的非正常型直方图为()。
A.孤岛型
B.折齿型
C.缓坡型
D.双峰型
本题答案:
A
15、关于安全生产管理目标的管理,不正确的是()。
A.项目法人的安全生产目标管理计划,应报项目主管部门备案
B.施工单位的安全生产目标管理计划,应经项目法人审核
C.勘察、设计等其他参与工程建设的单位安全生产目标管理计划,应报项目法人同意,并与项目法人签订安全生产目标责任书
D.各参建单位应加强内部目标管理,逐级签订安全生产目标责任书,实行分级控制
本题答案:
B
16、安全生产领导小组每( )至少应召开一次全体会议。
A.月
B.季度
C.半月
D.半年
本题答案:
B
17、项目法人对各参建单位安全生产法律、法规、规章、制度、标准、操作规程和安全生产管理制度的执行情况,每( )至少应组织一次监督检查。
A.月
B.季度
C.半年
D.年
本题答案:
D
18、监理单位在审核施工单位报送的度汛方案时,应重点审核的内容不包括( )。
A.水文、气象及预报获取途径
B.工程巡查与监测方案
C.度汛保障
D.施工单位的资质情况
本题答案:
D
19、以下关于事故上报部门的说法,不正确的是( )。
A.特别重大事故逐级上报至国务院安全生产监督管理部门和负有安全生产监督管理职责的有关部门
B.重大事故逐级上报至省人民政府安全生产监督管理部门
C.较大事故逐级上报至省、自治区、直辖市人民政府安全生产监督管理部门和负有安全生产监督管理职责的有关部门
D.一般事故上报至设区的市级人民政府安全生产监督管理部门和负有安全生产监督管理职责的有关部门
本题答案:
B
20、在技术设计阶段,影响项目投资的可能性为( )。
A.10%~35%
B.35%~75%
C.75%~90%
D.90%~95%
本题答案:
B
21、“营改增”后,不应计入间接费中企业管理费的税费是()。
A.城市维护建设税
B.教育费附加
C.地方教育附加
D.增值税
本题答案:
D
22、施工中照明线路工程费用属于()。
A.夜间施工增加费
B.临时设施费
C.企业管理费
D.动力燃料费
本题答案:
B
23、设备费的构成为()。
A.设备原价、运输费、装卸费和运输保险费
B.设备原价、运输费、装卸费和采购及保管费
C.设备原价、运杂费、运输保险费和采购及保管费
D.设备原价、运输费、运输保险费和采购及保管费
本题答案:
C
24、管理用具购置费属于下列费用中的( )。
A.科研勘测设计费
B.建设管理费
C.生产准备费
D.工程建设监理费
本题答案:
C
25、某项目建设期3年,建设期内每年初贷款200万元,年利率为10%,若在运营期第3年末到第5年末等额偿还200万元,则在运营期第7年末全部偿还贷款本利和时尚需偿还()万元。
A.489.22
B.538.87
C.759.98
D.618.31
本题答案:
D
26、若存款1000元,年利率为12%,按单利计息,则第2年年末的本利和为()。
A.1240元
B.1254元
C.1267元
D.1305元
27、某建设项目,第1~3年每年年末投入建设资金400万元,第4~8年每年年末获得利润700万元,则该项目的静态投资回收期为( )年。
A.4
B.4.71
C.5
D.5.71
28、做好项目经济评价其目的在于()。
A.确定项目立项的必要性
B.确定项目立项的可行性
C.推荐最佳投资方案
D.最大限度地避免风险,提高投资效益
29、某项目期初以年利率6%投资200万元,拟计划5年内等额回收全部投资复利本利和,每年可回收的资金为()万元。
A.35.5
B.45.7
C.47.5
D.57.7
30、财务评价中对投入物和产出物采用以()体系为基础的预测价格。
A.不变价格
B.市场价格
C.可变价格
D.影子价格
31、项目的国民经济评价是从()的角度,评价项目在宏观经济上的合理性。
A.国家经济整体利益
B.资源合理配置
C.经济效益
D.社会影响
32、敏感度系数是指()。
A.不确定性因素变化率与项目评价指标变化率之比
B.项目评价指标变化率与不确定性因素变化率之比
C.不确定性因素变化值与项目评价指标变化值之比
D.项目评价指标变化值与不确定性因素变化值之比
33、某项目有A、B、C三个方案,寿命周期均相同,投资额A>B>C,方案A对于方案B的差额内部收益率为8%,方案B对于方案C的差额内部收益率为11%,基准收益率为10%,则最优方案为( )。
A.方案A
B.方案B
C.方案C
D.不能确定
34、下列项目债务资金筹措方式中,适用于以购买设备为主的建设项目的是( )。
A.商业银行贷款
B.融资租赁
C.企业债券
D.银团贷款
35、政府部门或国有企业将建设好的项目的一定期限的产权或经营权,有偿转让给投资人,由其进行运营管理;投资人在约定的期限内通过经营收回全部投资并得到合理的回报,双方合约期满之后,投资人再将该项目交还政府部门或原企业的是( )。
A.TOT融资模式
B.BOT融资模式
C.PPP项目融资
D.ABS融资模式
36、下列功能评价方法中,对功能进行对比,依其重要程度评分,得出功能评价系数,并与其成本系数相比较,确定功能评价系数的是()。
A.实际价值标准法
B.理论价值标准法
C.功能重要性系数评价方法
D.“最合适区域”法
37、某产品的目标成本为2000元,该产品某零部件的功能重要性系数是0.32,若现实成本为900元,则该零部件成本需要降低()元。
A.260
B.310
C.330
D.340
38、下列各项中,不属于建设征地移民补偿概算中的库底清理的是()。
A.林木清理
B.固体废物处置
C.卫生清理
D.易漂浮物清理
39、()是衡量设计方案技术经济合理性和选择最佳设计方案的依据。
A.资估算
B.设计概算
C.施工图预算
D.竣工结算
40、独立费用计算中,枢纽工程、引水工程、河道工程的建设管理费以()方法计算。
A.超率累进
B.超额累进
C.定额费率
D.定率费率
41、外购砂石料预算价格(不包含增值税进项税额)超过()时,应按基价计入工程单价参加取费,预算价格与基价的差额以材料补差的形式进行计算,材料补差列入单价表中并计取税金。
A.60元/m³
B.70元/m³
C.80元/m³
D.100元/m³
42、下列各项中,不属于施工场外供电工程的是()。
A.从现有电网向施工现场供电的高压输电线路
B.高压电网到施工主变压器高压侧之间的高压输电线路
C.由主变压器高压侧至现场各施工点最后一级降压变压器低压侧之间的配电线路和变配电设施
D.从最后一级降压变压器低压侧至施工现场内各用电点的施工设备和低压配电线路
43、下列关于水利工程的铁路工程概算的说法中,错误的是()。
A.其投资按设计提供的里程乘以工程所在地的造价指标估算
B.其投资按设计提供的特征性工程量乘以工程所在地的造价指标估算
C.根据设计提供的三级项目工程量,进行单价分析作出概算
D.可以按经审核的委托单位专项概算数列入
44、下列各项中,属于枢纽工程机电设备及安装工程的是()。
A.泵站设备及安装工程
B.水闸设备及安装工程
C.供变电设备及安装工程
D.发电设备及安装工程
45、发包人因工期要求紧迫,在没有完成设计的情况下必须发包的工程适宜采用的合同形式是()。
A.纯单价合同
B.估算工程量单价合同
C.单价与总价包干混合式合同
D.成本加酬金合同
46、下列各项中,不属于单价合同优点的是()。
A.可以减少招标准备工作,缩短招标准备时间
B.结算较为简单
C.可以鼓励承包人节约成本
D.主要由承包人承担风险
47、下列合同形式中,主要由发包人承担风险的是()。
A.总价合同
B.单价合同
C.纯单价合同
D.成本加酬金合同
48、工程标底是体现( )水平的价格。
A.社会平均
B.社会先进
C.社会合理
D.社会平均先进
49、关于标底与最高投标限价(招标控制价),下列说法中正确的是()。
A.招标必须设有标底,可以设有最高投标限价
B.标底和招标控制价在开标前保密,在开标时宣布
C.招标控制价对招投标双方都具有一定的约束力
D.标底可以作为废标的唯一直接依据
50、按工程项目划分组成编制资金使用计划时,为了在施工过程中便于进行项目的计划投资和实际投资比较,故要求资金使用计划中的项目划分与()中的项目划分一致。
A.进度计划
B.质量计划
C.投标文件
D.招标文件
51、施工阶段投资控制的起点是()。
A.备用资金使用计划
B.资金使用计划
C.施工预算
D.工程总造价
52、常用于造价咨询机构为发包人编制资金使用计划的资金使用计划编制方法是()。
A.按工程投资构成编制资金使用计划
B.按工程项目划分组成编制资金使用计划
C.按工程进度编制资金使用计划
D.按工程造价控制目标编制资金使用计划
53、工程计量的结果必须得到()确认。
A.承包人
B.发包人
C.监理人和发包人
D.监理人和承包人
54、门槽(楣)安装工程按施工图纸所示尺寸计算的有效重量以()为单位计量。
A.吨
B.樘
C.平方米
D.个
55、下列各项费用中,除合同另有约定外,发包人不另行支付的是()。
A.现场试验室的建设费用
B.场内施工道路的建设所需的费用
C.承包人承担的超大、超重件的运输费用
D.施工用电设施的建设、移设和拆除工作所需费用
56、监理人在进行费用控制中遇到较多的赔(补)偿计量是对()提出的索赔的计量。
A.发包人
B.供应商
C.承包人
D.监理人
57、对于围垦工程,外坡保护工程量一般按高程()m以下实际保护面积计算。
A.3.2
B.4.0
C.4.5
D.5.0
58、关于计价争议的鉴定,下列说法中不正确的是()。
A.对新增工程项目组价发生争议的,合同中约定了调整内容的,按合同约定进行鉴定
B.鉴定项目发包人对承包人材料采购价格高于合同约定不予认可的,材料采购经发包人或其代表签批认可的,按合同约定的价格进行鉴定
C.当事人因物价波动要求调整合同价款发生争议的,合同中约定物价波动不予调整的,应对实行政府定价或政府指导价的材料按规定进行鉴定
D.鉴定项目发包人以工程质量不合格为由,拒绝办理工程结算发生争议的,已竣工验收的工程,工程结算按合同约定进行鉴定
59、发包人应在监理人收到进度付款申请单后的( )天内,将进度应付款支付给承包人。
A.7
B.14
C.28
D.30
60、工程变更引起措施项目发生变化的,承包人提出调整措施项目费的,应事先将拟实施的方案提交发包人确认。拟实施的方案经发承包双方确认后执行,并应按规定调整措施项目费。其中,()应按照实际发生变化的措施项目调整,不得浮动。
A.夜间施工增加费
B.脚手架工程费
C.二次搬运费
D.安全文明施工费
61、依据《建设工程工程量清单计价规范》(GB50500-2013),由于施工生产的特殊性,施工过程中往往会出现一些与合同工程或合同约定不一致或未约定的事,这时就需要发承包双方用书面形式记录下来,称之为()。
A.现场签证
B.工程洽商
C.工程变更
D.工程索赔
62、某施工项目因台风导致工程重大损失,根据《水利水电工程标准文件》中合同条款规定,承包人可向发包人索赔()。
A.工期+利润
B.费用
C.工期+费用+利润
D.工期
63、由于承包人的原因造成工程拖期时,在超出计划工期的拖期时段内的监理人服务费用,由()承担。
A.承包人
B.发包人
C.监理人
D.承包人和发包人共同
64、根据《水利水电工程标准文件》中的合同条款,发包人原因导致的工程缺陷和损失,承包人可获得()。
A.只有费用补偿
B.费用补偿和利润补偿
C.工期补偿和费用补偿
D.工期补偿、费用补偿和利润补偿
65、下列关于现场签证的说法中,错误的是()。
A.应采用书面形式
B.如果现场没有相应的计日工单价,应当在现场签证报告中列明完成该签证工作所需的人工、材料、工程设备和施工机具台班的数量及其单价
C.承包人按照现场签证内容计算价款后,便可作为增加的合同价格,与进度款同期支付
D.现场如果已有相应的计日工单价,现场签证报告中仅列明完成签证工作所需的人工、材料、工程设备和施工机具台班的数量
66、使用调价公式法时,在计算调整差额时得不到现行价格指数的,根据《水利水电工程标准文件》通用合同条款规定()。
A.使用平均价格指数计算,并在以后的付款中不再进行调整
B.参照类似工程价格指数计算,并在以后的付款中再按实际价格指数进行调整
C.可暂用上一次价格指数计算,并在以后的付款中再按实际价格指数进行调整
D.使用上一次价格指数计算,并在以后的付款中不再进行调整
67、发包人应在监理人出具完工付款证书后的()天内,将应支付款支付给承包人。发包人若不按期支付,应按合同的约定,将逾期付款违约金支付给承包人。
A.7
B.14
C.21
D.28
68、合同结算基本流程中,工程试运行合格后()个月内,应进行财务决算。
A.3~6
B.1~3
C.2~6
D.4~6
69、投资实际值与计划值比较所得到的差额叫作()。
A.绝对偏差
B.相对偏差
C.局部偏差
D.累计偏差
70、关于进度偏差和投资偏差,下列说法中正确的是()。
A.进度偏差为正值时,表示进度提前
B.进度偏差为负值时,表示进度拖延
C.投资偏差为正值时,表示投资超支
D.投资偏差为正值时,表示投资节约
71、投资偏差分析可以采用不同的方法,下列各项中,不属于投资偏差分析方法的是( )。
A.横道图法
B.表格法
C.计划网络图法
D.投资曲线法
72、下列选项不属于项目法人在进度控制中的职责与权力的是()。
A.确定建设工期目标
B.分解、确定进度里程碑目标
C.按照资金使用计划编制并落实建设资金筹措计划
D.签发开工通知
73、双代号网络图以()表示工作。
A.箭线及其两端节点的编号
B.两端节点的编号
C.箭线
D.箭线或其两端节点的编号
74、某建设工程项目分部工程的双代号网络计划如下图所示,其关键线路有( )条。

A.2
B.3
C.4
D.5
75、在对某进度计划进行检查时,发现工作A尚需作业天数为6天;已知工作A距计划最迟完成时间尚有5天,工作A的总时差为0,则工作A( )
A.可提前1天完成
B.进度正常
C.会影响总工期1天
D.不确定会不会影响总工期
76、在计算双代号网络计划的时间参数时,工作的最早开始时间应为其所有紧前工作()。
A.最早完成时间的最小值
B.最早完成时间的最大值
C.最迟完成时间的最小值
D.最迟完成时间的最大值
77、网络计划时间参数中,作为实施目标的工期是指()
A.计算工期
B.合同工期
C.要求工期
D.计划工期
78、某工程双代号时标网络计划如下图所示,其中工作C的总时差为()周。
A.1
B.2
C.3
D.4
79、在单代号搭接网络图中,工作G的持续时间为4天,紧前工作有D、E工作。工作D→G之间的搭接关系为STF=12天,工作E→G之间的搭接关系为STS=6天,D、E工作的时间参数如下图所示,则G工作的最早开始时间为()。
A.12天
B.14天
C.16天
D.18天
80、监理人确定追加的付款和(或)延长的工期,并在收到索赔通知书或有关索赔的进一步证明材料后的( )天内,将索赔处理结果答复承包人。
A.42
B.40
C.30
D.10
81、建设工程的质量特性主要表现在( )。
A.性能
B.耐久性
C.时间性
D.持续性
E.安全性
82、可行性研究的具体任务包括( )。
A.项目建设的必要性研究
B.技术路线可行性研究
C.利润最大化研究
D.项目实施计划研究
E.社会价值研究
83、属于发包人质量责任的有()。
A.发包人应根据国家和水利部有关规定依法设立,主动接受水利工程质量监督机构对其质量管理体系的监督检查
B.发包人应根据工程规模和工程特点,按照水利部有关规定,通过资格审查招标选择勘察设计、施工、监理及第三方检测单位,并实行合同管理
C.设计交底会议必须由发包人主持
D.发包人必须向有关的勘察、设计、施工、监理及第三方检测等单位提供与建设工程有关的原始资料
E.实行监理的建设工程,发包人应当委托具有相应资质等级的工程监理单位进行监理
84、以下属于事前质量控制内容的有( )。
A.监理单位资格审核
B.负责审查批准承包人在工程施工期间提交的施工组织设计、专项施工方案、施工措施计划和质量保证体系
C.督促承包人建立和健全质量保证体系,组建专门的质量管理机构,配备专职的质量管理人员
D.原材料、中间产品和工程设备的检验或验收
E.施工设备的质量控制
85、进行工序质量控制时,应着重( )。
A.及时检验工序活动效果的质量
B.严格遵守工艺规程
C.质量管理人员的水平
D.主动控制工序活动条件的质量
E.设置质量控制要点
86、质量检验按检验数量通常分为( )。
A.全数检验
B.部分检验
C.抽样检验
D.随机检验
E.免检
87、质量事故链主要包括( )。
A.多因致果集中型
B.专家讨论型
C.因果连锁型
D.多因致果分散型
E.复合型
88、工程质量事故分析与处理的主要目的有( )。
A.正确分析和妥善处理所发生的事故原因
B.保证建筑物、构筑物的安全使用,减少事故的损失
C.总结经验教训,预防事故发生
D.保证施工成本的最小化
E.使得实际工期能够满足要求
89、发生质量事故,必须坚持()原则。
A.事故原因不查清楚不放过
B.事故损失没有统计清楚不放过
C.补救和防范措施不落实不放过
D.整改措施没有落实不放过
E.主要事故责任者和职工未受到教育不放过
90、根据质量事故的情况,事故的技术处理方案包括()。
A.修补处理
B.返工处理
C.不作处理
D.限制使用
E.加固处理
91、关于质量数据分布的规律性的说法,正确的有( )。
A.计量连续的数据是属于正态分布
B.二项分布规律是各种频率分布中用得最广的一种
C.计件值数据服从二项分布
D.计点值数据服从泊松分布
E.量测误差数据的频数分布一般认为服从泊松分布
92、项目法人编制的保证安全生产的措施方案应包括( )。
A.安全生产管理人员培训
B.安全生产管理机构及相关负责人
C.安全管理考核制度
D.安全生产的有关规章制度制定情况
E.工程度汛方案、措施
93、安全生产措施计划内容包括()。
A.配置必要的设施、装备和专业人员
B.确定整个过程中应执行的安全规程
C.夜间施工时安全技术措施
D.确定危险部位和过程
E.制定安全管理详细规划大纲
94、安全控制措施的可靠性主要考虑()。
A.人员素质
B.设计正确
C.规定明确
D.依据充分
E.便于落实
95、下列关于建设项目投资控制的说法错误的有()。
A.控制项目投资的关键就在于施工
B.投资、工期与质量是项目依存和影响的
C.建设项目投资控制考虑的项目整个寿命周期的费用
D.建设项目投资控制工作的目标是建设项目整个寿命周期投资总额最小
E.工程造价的降低不能以导致营运费用的大量增加为前提
96、独立费用包括( )。
A.生产准备费
B.建设管理费
C.冬雨季施工增加费
D.工程建设监理费
E.技术转让费
97、下列分析指标属于偿债能力分析指标的有()。
A.偿债备付率
B.总投资收益率
C.投资回收期
D.利息备付率
E.净年值
98、下列关于建设项目经济评价的说法正确的有()。
A.建设项目经济评价是在建设项目投资决策前进行的工作
B.建设项目经济评价是项目中期工作的重要内容
C.项目的经济评价是建设项目决策阶段的核心内容
D.项目的经济评价是进行项目决策的主要依据
E.决策工作的不同阶段,经济评价的要求是相同的
99、下列关于项目财务内部收益的说法,错误的有()。
A.内部收益不是初始投资在整个计算期内的盈利率
B.计算内部收益率需要事先确定基准收益率
C.内部收益率是使项目财务净现值为零的收益率
D.内部收益率的评价准则是IRR≥0时方案可行
E.内部收益率是项目初始投资在寿命期内的收益率
100、关于可行性研究报告的审查与批复,下列说法中不正确的有()。
A.中央大中型水利基本建设项目的可行性研究报告由水利部或委托流域机构组织技术审查
B.大中型水利基本建设项目的可行性研究报告,经技术审查后,由水利部提出审查意见,报国家发展改革委审批
C.可行性研究报告批准后,未能在3年内按条件报送下一程序文件的,重新编报可行性研究报告即可
D.总投资1亿元的病险水库除险加固,可直接编制初步设计报告
E.总库容10亿m³的病险水库除险加固,必须编制可行性研究报告申请立项
101、天然骨料的工序包括()。
A.覆盖层清除
B.筛分冲洗
C.碎石粉碎
D.制砂
E.预筛分
102、关于混凝土及砂浆材料单价,下列说法中正确的有()。
A.指拌制每立方米混凝土、砂浆所需要的水泥、砂、石、水、掺和料及外加剂等各种材料的费用之和
B.不包括至搅拌楼进料仓止的材料场内运输及操作损耗费
C.不包括拌制、运输、浇筑等工序的人工、材料和机械费用
D.不包含括搅拌损耗外的施工操作损耗及超填量
E.商品混凝土的材料单价(不含增值税进项税额)按基价200元/m³计入工程单价参加取费
103、下列关于合同类型选择的说法中,正确的有()。
A.合同类型的选择主要是依据项目的设计深度、难易程度、风险分担等因素
B.合同类型的选择在编制招标文件时由发包人在工程量清单和相应的技术条款中明确
C.水利工程通常是采用以单价为主、成本加酬金为辅的混合型合同
D.合同类型的选择,不需要考虑发包人的意愿
E.一个项目中的各个不同工程部分或不同阶段可能采取不同类型的合同
104、下列关于各种合同形式特点及适用的说法中,正确的有()。
A.总价合同主要由承包人承担风险,报价总体水平比较高
B.如果项目的设计深度不够,风险也难以估计,则可以采用成本加酬金合同的形式
C.成本加酬金合同发包人对工程总价不能实施实际的控制
D.总价合同在评标时易于确定报价最低单位
E.在工程总成本一开始估计不准、可能变化较大的情况下,可采用成本加固定百分比酬金合同
105、施工合同按计价方式可分为()。
A.总价合同
B.固定价格合同
C.单价合同
D.可调价格合同
E.成本加酬金合同
106、钢结构制作时,有效重量不扣减()的重量。
A.螺栓
B.切肢
C.电焊条
D.切边
E.孔眼损失
107、下列各项中,包括在预备费中的项目包括()。
A.预防自然灾害所采取的措施费用
B.地质勘测资料不准,引起地基加固、基础加深所增加的技术处理费用
C.市场材料浮动价差
D.国家规定允许调整的材料差价
E.由于图纸的一般错误而产生的经济签证费用
108、下列各项中,属于重大设计变更的有( )。
A.一般机电设备及金属结构设计变化
B.主要建筑物施工方案和工程总进度的变化
C.水库库容、特征水位的变化
D.工程布置、主要建筑物型式的变化
E.水利枢纽工程的施工导流方式、导流建筑物方案的变化
109、依据《建设工程造价鉴定规范》(GB/T51262-2017),当事人因现场签证费用发生争议,鉴定人应做到()。
A.现场签证只有总价款而无明细表述的,按照工作技术要求比照鉴定项目相应工程总价适当上浮动计算
B.现场签证只有总价款而无明细表述的,按总价款计算
C.现场签证明确了人、机、材数量及其价袼的,按签证的数量和价格计算
D.现杨签证只有用工数量没有人工单价的,其人工单价按照工作技术要求比照鉴定项目相应工程人工单价适当上下浮动计算
E.现场签证只有材料和机械台班用量没有价格的,其材料和台班价格按照市场平均价格计算
110、关于工程签证和工程洽商,下列说法中正确的有( )。
A.工程签证可以作为合同协议附件
B.工程洽商文件不可以作为合同协议附件
C.工程签证确认的工作量具有“合同外”或“工程量清单外”的特点
D.工程洽商确认的工作量具有“合同外”或“工程量清单外”的特点
E.工程签证和工程洽商都会引发工程变更
111、下列属于实际费用法特点的是()。
A.比总费用法复简单,宜实施
B.反映实际情况,合理科学
C.不能很好的划分双方责任
D.应用面较窄
E.在逻辑上容易接受
112、根据《水利水电工程标准文件》中合同条款规定,承包人仅可以向发包人索赔工期和费用的情况有()。
A.施工过程发现化石
B.承包人遇到不利物质条件
C.发包人原因造成工程质量达不到合同约定验收标准的
D.发包人原因导致试运行失败的
E.不可抗力
113、按索赔事件的性质分类,工程索赔可分为()。
A.费用索赔
B.合同中默示的索赔
C.工程延期索赔
D.合同被迫终止索赔
E.工程加速索赔
114、下列关于发包人施工缺陷索赔的说法中,正确的有()。
A.承包人施工质量不符合施工技术条款的规定,发包人有权向承包人追究责任
B.承包人使用的设备和材料不符合合同规定,发包人有权要求补偿经济损失
C.承包人在规定的期限内仍未完成修补缺陷工作,发包人有权雇佣他人来完成工作
D.承包人在规定的期限内仍未完成修补缺陷工作,发包人雇佣他人产生的费用由发包人承担
E.承包人在保修期满以前未完成应进行修补的工程,发包人有权向承包人追究责任
115、某工程项目的计划进度和截至第8周周末的实际进度如下图所示(双线条表示计划进度,粗实线表示实际进度),如果各项工作均为匀速进行,则截至第8周末()

A.工作A已完成
B.工作B的实际进度拖后2周
C.工作c的实际进度正常
D.工作D尚未开始
E.工作E的实际进度正常
116、某工程单代号网络计划如下图所示,图中关键工作有( )

A.工作A
B.工作B
C.工作c
D.工作G
E.工作H
117、某工程单代号搭接网络计划如下图所示,节点中下方数字为该工作的持续时间,其中关键工作有()。
A.工作A
B.工作B
C.工作C
D.工作D
E.工作E
118、缩短关键路线的途径有()。
A.将关键工作进行分解,组织平行作业
B.将关键工作进行分解,组织平行交叉作业
C.将关键工作进行分解,组织串联作业
D.压缩非关键工作的持续时间
E.压缩关键工作的持续时间
119、关于工程网络计划工期优化的说法,正确的有()
A.应压缩非关键线路上自由时差大的工作
B.应有步骤地将关键工作压缩成非关键工作
C.应考虑压缩关键线路上有充足备用资源的工作
D.应考虑质量、安全和资源等因素选择压缩对象
E.应改变各项工作的逻辑关系
120、工期延误的类型包括( )。
A.不利物质条件原因引起的工期延误
B.发包人、监理人原因引起的工期延误
C.长期延误和短期延误
D.不可抗力、异常恶劣的气候条件原因引起的工期延误
E.承包人原因引起的工期延误