1、工程建设过程中,形成工程实体质量的阶段是( )阶段。
A.决策
B.勘察
C.施工
D.设计
本题答案:
C
2、建设单位应当自工程竣工验收合格起( )日内,向工程所在地县级以上人民政府建设行政主管部门备案。
A.15
B.20
C.25
D.30
本题答案:
A
3、涉及建筑承重结构变动的装修工程设计方案,应经( )审批后方可实施。
A.建设单位
B.监理单位
C.设计单位
D.原施工图审查机构
本题答案:
D
4、根据《建设工程质量管理条例》,设计文件应符合国家规定的设计深度要求并注明工程( )
A.材料生产厂家
B.保修期限
C.材料供应单位
D.合理使用年限
本题答案:
D
5、监理单位质量管理体系持续改进的核心是提高企业质量管理体系的( )
A.科学性和价值
B.有效性和效率
C.创造性和价值
D.管理水平和效率
本题答案:
B
6、关于监理单位质量方针的说法,正确的是( )
A.质量方针应由管理者代表制定
B.质量方针应由技术负责人制定
C.质量方针应由最高管理者发布
D.质量方针应由管理者代表发布
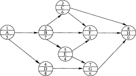
本题答案:
C
7、关于工程项目质量控制系统特性的说法,正确的是( )
A.工程项目质量控制系统是监理单位质量管理体系的子系统
B.工程项目质量控制系统是一个一次性的质量控制工作体系
C.工程项目质量控制系统是监理单位建立的质量控制工作体系
D.工程项目质量控制系统不随项目管理机构的解体而消失
本题答案:
B
8、下列质量数据特征值中,用来描述数据集中趋势的是( )
A.极差
B.标准偏差
C.均值
D.变异系数
本题答案:
C
9、工程质量统计分析方法中,根据不同的目的和要求将调查收集的原始数据,按某一性质进行分组、整理,分析产品存在的质量问题和影响因素的方法是( )
A.调查表法
B.分层法
C.排列图法
D.控制图法
本题答案:
B
10、采用直方图法分析工程质量时,出现孤岛型直方图的原因是( )
A.组数或组距确定不当
B.不同设备生产的数据混合
C.原材料发生变化
D.人为去掉上限下限数据
本题答案:
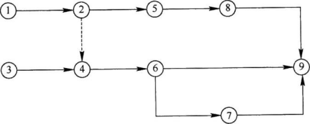
C
11、采用相关图法分析工程质量时,散布点形成由左向右向下的一条直线带,说明两变量之间的关系为( )
A.负相关
B.不相关
C.正相关
D.弱正相关
本题答案:
A
12、工程开工前,施工图纸会审会议应由( )主持召开。
A.项目监理机构
B.施工单位
C.建设单位
D.设计单位
本题答案:
C
13、经项目监理机构审查合格的工程项目施工组织设计,应由( )签认。
A.监理单位技术负责人
B.总监理工程师
C.建设单位项目负责人
D.总监理工程师代表
本题答案:
B
14、总监理工程师应在工程开工日期( )天前向施工单位发出工程开工令。
A.5
B.7
C.10
D.14
本题答案:
B
15、分包单位资格报审表中的审核意见应由( )签署。
A.建设单位项目负责人
B.施工单位项目负责人
C.专业监理工程师
D.总监理工程师
本题答案:
D
16、工程中采用新工艺、新材料的,应有( )及有关质量数据。
A.施工单位组织的专家论证意见
B.权威性技术部门的技术鉴定书
C.设计单位组织的专家论证意见
D.建设单位组织的专家论证意见
本题答案:
B
17、工程监理实施过程中,总监理工程师应签发工程暂停令的情形是( )
A.施工单位未经批准擅自施工
B.施工存在质量事故隐患
C.施工单位采用不适当的施工工艺
D.施工单位未按施工方案施工
本题答案:
A
18、根据《建设工程监理规范》GB/T50319—2013,项目监理机构应根据工程特点和( )确定需要旁站的关键部位、关键工序。
A.监理实施细则
B.施工组织设计
C.监理规划
D.设计图纸
本题答案:
B
19、根据《建设工程监理规范》,监理规划应由( )审批。
A.监理单位法定代表人
B.监理单位技术负责人
C.总监理工程师代表
D.总监理工程师
本题答案:
B
20、为了确保工程质量,大型、复杂设备的采购,一般宜( )。
A.考核合格供货厂家后直接向厂家订货
B.采用招标采购方式采购
C.货比三家后直接在市场上采购
D.通过样品鉴定后,直接请中介机构代为采购
本题答案:
B
21、采购过程中的质量控制主要是采购方案的审查及其工作计划中质量要求的确定。设备安装单位直接从市场上采购设备时,采购方案最终应获得( )的批准。
A.设计单位现场代表
B.总承包单位
C.监理单位总监理工程师
D.建设单位
本题答案:
D
22、向生产厂家订购设备质量控制工作的首要环节是对( )进行评审。
A.质量合格标准
B.运输方式选择
C.合格供货厂商
D.工艺方案合理性
本题答案:
C
23、设备监造是指监理单位依据监理合同和设备订货合同对设备制造过程进行的监督活动,监造人员一般不会由( )派出。
A.设计单位
B.总承包单位
C.设备安装单位
D.项目监理机构
本题答案:
A
24、根据《建筑工程施工质量验收统一标准》GB50300—2013,( )可按主要工种、材料、施工工艺、设备类别进行划分。
A.检验批
B.分项工程
C.分部工程
D.单位工程
本题答案:
B
25、分项工程质量验收时,( )应对施工单位所报资料逐项进行审查,符合要求后签认分项工程报审、报验表及质量验收记录。
A.现场监理工程师
B.总监理工程师
C.建设单位质检员
D.专业监理工程师
本题答案:
D
26、分部工程观感质量验收只能以观察、触摸或简单量测的方式进行观感质量验收,并结合验收人的主观判断,综合给出( )的质量评价结果。
A.合格、基本合格、不合格
B.合格、良好、不合格
C.好、一般、差
D.优、良、差
27、在工程施工质量验收过程中,发现质量不符合要求时,可以进行验收的是( )。
A.经返工或返修的检验批
B.无结构和安全问题,建设单位核算认可的检验批
C.虽改变外形但仍能满足结构安全的检验批
D.经原设计单位和监理单位认可的检验批
28、项目监理机构发现工程施工存在质量缺陷后,应发出( ),要求施工单位进行处理。
A.工程暂停令
B.监理通知单
C.工作联系单
D.监理报告
29、工程施工过程中,造成直接经济损失900万元的工程质量事故属于( )事故。
A.特别重大
B.重大
C.较大
D.一般
30、工程质量事故调查组处理质量事故时,项目监理机构的正确做法是( )
A.积极配合,客观提供相应证据
B.积极配合,参与质量事故调查
C.积极配合,会同施工单位提供有利证据
D.回避质量事故调查
31、因施工原因发生工程质量事故后,质量事故技术处理方案一般应经( )签认,并报建设单位批准。
A.事故调查组建议的单位
B.施工单位
C.法定检测单位
D.原设计单位
32、评审工程初步设计成果时,重点评审的是( )
A.总平面布置是否充分考虑方向、风向、采光等要素
B.设计参数、设计标准、功能和使用价值
C.新材料、新技术在相关部门的备案情况
D.使用功能是否满足质量目标和标准
33、某项目,建安工程费3000万元,设备及工器具购置费4000万元,工程建设其他费用600万元,建设期利息200万元,铺底流动资金160万元,建设期间国家批准税种的税额45万元,则该项目的静态投资为( )万元。
A.7000
B.7600
C.7700
D.7805
34、下列费用中,不应列入建筑安装工程材料费的是( )
A.施工中耗费的辅助材料费用
B.施工企业自设实验室进行试验所耗用的材料费用
C.在运输装卸过程中发生的材料损耗费用
D.在施工现场发生的材料保管费用
35、下列费用中,属于规费的是( )
A.环境保护费
B.文明施工费
C.工程排污费
D.安全施工费
36、某进口设备,按人民币计算的离岸价为2000万元,国外运费160万元,国外运输保险费9万元,银行财务费8万元。则该设备进口关税的计算基数是( )万元。
A.2000
B.2160
C.2169
D.2177
37、某企业年初从金融机构借款3000万元,月利率1%,按季复利计息,年末一次性还本付息,则该企业年末需要向金融机构支付的利息为( )万元。
A.360.00
B.363.61
C.376.53
D.380.48
38、下列投资方案经济评价指标中,属于盈利能力静态评价指标的是( )
A.利息备付率
B.资产负债率
C.净现值率
D.静态投资回收期
39、某常规投资方案,当贷款利率为12%时,净现值为150万元;当贷款利率为14%时,净现值为-100万元,则该方案财务内部收益率的取值范围为( )
A.<12%
B.12%~13%
C.13%~14%
D.>14%
40、某工程设计有四个备选方案,经论证,四个方案的功能得分和单方造价如下表。按照价值工程原理,应选择的最优方案是( )

A.甲方案
B.乙方案
C.丙方案
D.丁方案
41、下列费用中,不属于单项工程综合概算内容的是( )
A.单位建筑工程概算
B.安装工程概算
C.铺底流动资金概算
D.设备购置费用概算
42、拟建工程与已完工程采用同一施工图,但基础部分和现场施工条件不同,则与已完工程相同的部分可采用( )审查施工图预算。
A.标准预算审查法
B.对比审查法
C.“筛选”审查法
D.重点审查法
43、某项目总投资4400万元,年平均息税前利润595.4万元,项目资本金1840万元,利息及所得税191.34万元,则该项目的总投资收益率为( )
A.9.18%
B.13.53%
C.21.96%
D.32.55%
44、利用经济评价指标评判项目的可行性时,说法错误的是( )
A.财务内部收益率≥行业基准收益率,方案可行
B.静态投资回收期>行业基准投资回收期,方案可行
C.财务净现值>0,方案可行
D.总投资收益率≥行业基准投资收益率,方案可行
45、采用工程量清单方式招标时,工程量清单的准确性和完整性应由( )负责。
A.编制清单的造价工程师
B.审核清单的造价工程师
C.工程招标人
D.工程造价咨询人
46、根据现行计量规范明确的工程量计算规则,清单项目工程量是以( )为准,并以完成的净值来计算的。
A.实际施工工程量
B.形成工程实体
C.返工工程量及其损耗
D.工程施工方案
47、施工过程中,出现施工图纸变更导致项目特征与招标工程量清单项目特征描述不符时,综合单价的确定应以( )的项目特征为准。
A.原设计图纸所示
B.清单描述
C.变更图纸所示
D.标准图集描述
48、采用固定总价合同时,发包方承担的风险是( )
A.实物工程量变化
B.工程单价变化
C.工期延误
D.工程范围变更
49、根据现行计价规范,实行工程量清单计价的工程通常采用( )合同。
A.固定总价
B.可调总价
C.单价
D.成本加酬金
50、某建设工程项目,发包方与承包方按固定总价合同签订了工程承包合同。合同实施过程中对合同总价作出相应变更的情况是( )。
A.机械费上涨
B.人工费上涨
C.设计和工程范围发生变更
D.雨期导致工期延长
51、下列工程项目中,适宜采用成本加酬金合同的是( )。
A.工程结构和技术简单的工程项目
B.时间特别紧迫的抢险、救灾工程项目
C.工程量小、工期短的工程
D.工程量一时不能明确、具体地予以规定的工程
52、为监理人提供宿舍,保养测量设备,保养气象记录设备,维护工地清洁和整洁等项目适合采用( )计量支付。
A.均摊法
B.估价法
C.断面法
D.图纸法
53、因承包人原因导致工期延误的,在合同工程原定竣工时间之后,合同价款的调整方法是( )。
A.调增、调减的均予以调整
B.调增的予以调整,调减的不予调整
C.调增、调减的均不予调整
D.调增的不予调整,调减的予以调整
54、某分部分项工程采用清单计价,招标控制价的综合单价为350元,投标报价的综合单价为280元,该工程投标报价浮动率为5%,该分部分项工程合同未确定综合单价调整方法,则综合单价的处理方式是( )。
A.调整为282.63元
B.不予调整
C.下调20%
D.上浮5%
55、某工程合同总额750万元,工程预付款为合同总额的20%,主要材料及构件占合同总额的60%,则工程预付款的起扣点为( )万元。
A.250
B.450
C.500
D.600
56、在投资偏差分析中,进度偏差等于( )。
A.已完工作预算投资与已完工作实际投资之间的差值
B.计划工作预算费用与已完工作实际投资之间的差值
C.已完工作实际投资与已完工作预算费用之间的差值
D.已完工作预算费用与计划工作预算费用之间的差值
57、建立进度控制目标体系,明确建设工程现场监理组织机构中进度控制人员及其职责分工属于监理工程师实施进度控制的( )。
A.组织措施
B.技术措施
C.经济措施
D.合同措施
58、根据批准的初步设计安排单位工程的开竣工日期,属于建设工程进度计划体系中( )内容。
A.工程项目前期工作计划
B.单位工程施工进度计划
C.工程项目总进度计划
D.工程项目年度进度计划
59、应用网络计划技术编制建设工程进度计划时,绘制网络图的前提是( )
A.计算时间参数
B.进行项目分解
C.计算工作持续时间
D.确定关键线路
60、关于平行施工组织方式的说法,正确的是( )
A.专业工作队能够保持连续施工
B.单位时间内投入的资源量较均衡
C.能充分利用工作面且工期短
D.专业工作队能够最大限度地搭接施工
61、流水施工中某施工过程(专业工作队)在单位时间内所完成的工程量称为( )
A.流水段
B.流水强度
C.流水节拍
D.流水步距
62、某工程有5个施工过程,划分为3个施工段组织固定节拍流水施工,流水节拍为2天,施工过程之间的组织间歇合计为4天。该工程的流水施工工期是( )天。
A.12
B.18
C.20
D.26
63、某工程组织非节奏流水施工,两个施工过程在4个施工段上的流水节拍分别为5、8、4、4天和7、2、5、3天,则该工程的流水施工工期是( )天。
A.16
B.21
C.25
D.28
64、某工程有3个施工过程,依次为:钢筋→模板→混凝土,划分为Ⅰ和Ⅱ施工段编制工程网络进度计划。下列工作逻辑关系中,属于正确工艺关系的是( )
A.模板Ⅰ→混凝土Ⅰ
B.模板Ⅰ→钢筋Ⅰ
C.钢筋Ⅰ→钢筋Ⅱ
D.模板Ⅰ→模板Ⅱ
65、在双代号网络图中,虚箭线的作用有( )。
A.指向、联系和断路
B.联系、区分和断路
C.区分、过桥和指向
D.过桥、联系和断路
66、根据双代号网络图绘图规则,下列网络图中的绘图错误是( )。

A.节点编号有误
B.存在循环回路
C.多个起点节点
D.多个终点节点
67、某双代号网络计划中,工作A的最早开始时间和最迟开始时间分别为第10天和第15天,其持续时间为5天;工作A有3项紧后工作,它们的最早开始时间分别为第19天、第22天和第26天,则工作A的自由时差为( )天。
A.4
B.7
C.11
D.15
68、在计算双代号网络计划的时间参数时,工作的最迟完成时间应等于其紧后工作( )。
A.最迟开始时间的最大值
B.最迟开始时间的最小值
C.最早完成时间的最大值
D.最早完成时间的最小值
69、某工程双代号网络计划如下图所示,其中工作I的最早开始时间是( )。

A.7
B.12
C.14
D.16
70、关于双代号网络计划中关键工作的说法,正确的是( )
A.关键工作的最迟开始时间与最早开始时间的差值最小
B.以关键节点为开始节点和完成节点的工作必为关键工作
C.关键工作与其紧后工作之间的时间间隔必定为零
D.自始至终由关键工作组成的线路总持续时间最短
71、工程网络计划的工期优化是通过( )而使计算工期满足要求工期的过程。
A.调整关键工作之间的逻辑关系
B.寻求工程总成本固定条件下最短工期安排
C.压缩关键工作的持续时间
D.压缩非关键工作的持续时间
72、采取进度调整措施,应以( )为依据,确保要求的进度目标得到实现。
A.关键工作所拥有的总时差
B.本工作及后续工作的自由时差
C.本工作及后续工作的总时差
D.后续工作和总工期的限制条件
73、某工程网络计划中,已知工作A的持续时间为10d,总时差和自由时差分别为4d和2d;检查中发现该工作实际持续时间为13d,则其对工程的影响是( )。
A.既不影响总工期,也不影响其紧后工作的正常进行
B.不影响总工期,但使其紧后工作的最早开始时间推迟1d
C.使其紧后工作的最迟开始时间推迟4d,并使总工期延长2d
D.使其紧后工作的最早开始时间推迟1d,并使总工期延长1d
74、利用S曲线比较实际进度与计划进度时,如果检查日期实际进展点落在计划S曲线的右侧,则该实际进展点与计划S曲线在水平方向的距离表示工程项目( )。
A.实际进度拖后的时间
B.实际进度超前的时间
C.拖欠的任务量
D.超额完成的任务量
75、监理单位受业主委托进行工程设计监理时,对于设计进度的监控应实施动态控制,在设计工作开始之前,应当( )。
A.确定设计委托方式及设计合同形式
B.编制各专业设计出图计划
C.审查设计单位所编制的进度计划的合理性和可行性
D.检查工程设计人员的专业情况
76、建设工程施工阶段进度控制的最终目的是保证工程项目按期建成交付使用。按项目组成分解,建设工程进度控制的目标是( )。
A.明确分工条件和承包责任
B.确定各单位工程开工及动用日期
C.划定进度控制分界点
D.确定年度、季度、月(或旬)工程量及形象进度
77、编制和实施施工进度计划是承包单位的责任。承包单位之所以将施工进度计划提交给监理工程师审查,是为了( )。
A.及时得到工程预付款
B.使监理工程师及时下达开工令
C.听取监理工程师的建设性意见
D.编制施工进度控制工作细则
78、某项工作的工程量为400m3,时间定额为0.5工日/m3。如果每天安排2个工作班次、每班10人完成该工作,则其持续时间为( )d。
A.10
B.15
C.20
D.25
79、在建设工程施工过程中,加快施工进度的组织措施之一是( )。
A.实行包干奖励
B.改进施工工艺和施工技术
C.实施强有力的调度
D.增加工作面,组织更多的施工队伍
80、物资供应单位或施工承包单位编制的物资供应计划必须经( )审核,并得到认可后才能执行。
A.施工单位项目负责人
B.监理工程师
C.建设单位技术负责人
D.建设单位项目负责人
81、建设工程质量特性中的“与环境的协调性”是指工程与( )相协调。
A.周围生态环境
B.所在地区社会环境
C.所在地区经济环境
D.周围已建工程
E.周围拟建工程
82、在正常使用条件下,关于建设工程各保修项目法定最低保修期限的说法,正确的有()。
A.屋面防水工程的保修期为两个雨季
B.给水排水管道的保修期为2年
C.供热与供冷系统的保修期为两个采暖期、供冷期
D.基础设施工程的保修期为设计文件规定的该工程的合理使用年限
E.设备安装和装修工程的保修期为5年
83、下列关于建设单位质量责任的说法,正确的有( )。
A.建设单位不得将建设工程肢解发包
B.建设工程发包方不得迫使承包方以低于成本的价格竞标
C.建设单位不得任意压缩合理工期
D.涉及承重结构变动的装修工程施工前,只能委托原设计单位提交设计方案
E.建设单位应根据工程特点,配备相应的质量管理人员
84、监理单位在编写程序文件的过程中,应同时编制质量管理体系贯彻实施所需的各种质量记录表格。下列属于与质量管理体系有关的记录包括( )。
A.监理旁站记录
B.合同评审记录
C.文件控制记录
D.内部审核记录
E.不合格品处理记录
85、采用直方图法进行工程质量统计分析时,可以实现的目的有( )
A.掌握质量特性的分布规律
B.寻找影响质量的主次因素
C.调查收集质量特性原始数据
D.估算施工过程总体不合格品率
E.评价实际生产过程能力
86、项目监理机构对工程施工质量实施控制的主要依据有( )
A.工程合同文件
B.工程变更设计文件
C.施工现场质量管理制度
D.工程材料试验的技术标准
E.工程施工质量验收标准
87、项目监理机构对施工组织设计进行审查的内容有( )
A.编审程序是否符合相关规定
B.工程材料质量证明文件是否齐全有效
C.资源供应计划是否满足工程施工需要
D.工程质量保证措施是否符合施工合同要求
E.安全技术措施是否符合工程建设强制性标准
88、下列文件中,属于工程材料质量证明文件的有( )
A.材料供货合同
B.出厂合格证
C.质量检验报告
D.质量验收标准
E.性能检测报告
89、施工单位实施工程质量控制活动的质量记录资料有( )
A.施工现场质量管理检查记录
B.施工图设计文件审查记录
C.施工过程作业活动质量记录
D.工程材料质量记录
E.工程有关合同文件评审记录
90、监理单位对总包单位提交的设备采购方案进行审查的内容有( )
A.采购内容和范围
B.设备质量标准
C.设备供货厂商资质
D.设备检查及验收程序
E.保证设备质量的措施
91、根据《建筑工程施工质量验收统一标准》GB50300—2013,分部工程可按( )划分。
A.施工工艺
B.工程部位
C.工程量
D.专业性质
E.施工段
92、主体结构、节能分部工程的验收,应由总监理工程师组织( )进行。
A.质量监督部门负责人
B.施工单位项目技术负责人
C.设计单位项目负责人
D.施工单位项目负责人
E.施工单位质量部门负责人
93、基本建设程序是工程项目建设过程及其客观规律的反映,不按建设程序办事是导致工程质量缺陷的成因,下列属于违背建设程序的事件包括( )。
A.无图施工
B.边设计、边施工
C.无证设计
D.越级施工
E.无证施工
94、根据《关于做好房屋建筑和市政基础设施工程质量事故报告和调查处理工作的通知》(建质[2010]111号),关于工程质量事故等级的说法,正确的有( )。
A.造成5人死亡的事故是一般事故
B.造成45人重伤的事故是重大事故
C.造成20人死亡的事故是特别重大事故
D.造成4000万直接经济损失的事故是较大事故
E.造成15人死亡的事故是重大事故
95、工程质量事故处理目的是消除质量缺陷,以达到建筑物的安全可靠和正常使用功能及寿命要求,并保证后续施工的正常进行。其一般处理原则包括( )。
A.安全可靠、不留隐患
B.满足建筑物的使用要求
C.正确确定事故性质
D.满足建筑物的功能
E.正确确定处理范围
96、工程监理单位协助建设单位组织设计方案评审时,对初步设计成果评审应重点审查( )。
A.设计项目的完整性,项目是否齐全、有无遗漏项
B.总图在平面和空间布置上是否有交叉和矛盾
C.总平面布置、工艺流程、施工进度能否实现
D.总平面布置是否充分考虑方向、风向、采光、通风等要素
E.设计方案是否全面,经济评价是否合理
97、项目监理机构在施工阶段投资控制的措施包括( )。
A.对工程项目造价目标进行风险分析
B.审核竣工结算
C.严格控制设计变更
D.审查设计概算
E.开展限额设计
98、根据《建筑安装工程费用项目组成》(建标[2013]44号)规定,企业管理费包括( )。
A.办公费
B.津贴补贴
C.财产保险费
D.新结构、新材料的试验费
E.一般鉴定、检查所发生的费用
99、进口设备采用装运港船上交货时,买方的责任有( )
A.承担货物装船前的一切费用
B.承担货物装船后的一切费用
C.负责租船或订舱,支付运费
D.负责办理保险及支付保险费
E.提供出口国有关方面签发的证件
100、进口设备抵岸价的构成部分有( )
A.设备到岸价
B.外贸手续费
C.设备运杂费
D.进口设备增值税
E.进口设备检验鉴定费
101、关于价值工程的说法,正确的有( )
A.价值工程的核心是对产品进行功能分析
B.价值工程涉及价值、功能和寿命周期成本三要素
C.价值工程应以提高产品的功能为出发点
D.价值工程以提高产品的价值为目标
E.价值工程强调选择最低寿命周期成本的产品
102、下列方法中,可用来编制设备安装工程概算的方法有( )
A.估算指标法
B.概算指标法
C.扩大单价法
D.预算单价法
E.百分比分析法
103、根据现行计价规范,工程量清单适用的计价活动有( )
A.设计概算的编制
B.招标控制价的编制
C.投资限额的确定
D.合同价款的约定
E.竣工结算的办理
104、在招投标阶段,投标人不能自主确定其综合单价或费用的有( )
A.安全文明施工费
B.暂列金额
C.给定暂估价的材料
D.计日工
E.总承包服务费
105、关于工程合同价款调整程序的说法,正确的有( )
A.出现合同价款调减事项后的14天内,承包人应向发包人提交相应报告
B.出现合同价款调增事项后的14天内,承包人应向发包人提交相应报告
C.发包人收到承包人合同价款调整报告7天内,应对其核实并提出书面意见
D.发包人收到承包人合同价款调整报告7天内未确认,视为报告被认可
E.发承包双方对合同价款调整的意见不能达成一致,且对履约不产生实质影响的,双方应继续履行合同义务
106、根据FIDIC《施工合同条件》,下列索赔事件中,可以索赔工期、成本和利润的有( )。
A.发包人未能提供现场
B.法规改变
C.不可预见的物质条件
D.文件有缺陷或技术性错误
E.发现化石、硬币或有价值的文物
107、下列工程索赔事项中,属于发包人向承包人索赔的有( )
A.地质条件变化引起的索赔
B.施工中人为障碍引起的索赔
C.加速施工费用的索赔
D.工期延误的索赔
E.对超额利润的索赔
108、赢得值法的评价指标有( )
A.已完工作预算投资
B.计划工作预算投资
C.投资绩效指数
D.进度绩效指数
E.进度偏差
109、项目监理机构在设计阶段和施工阶段进度控制的任务有( )
A.编制工程项目总进度计划
B.编制监理进度计划
C.审查设计进度计划
D.审查施工进度计划
E.确定工期总目标
110、下列进度计划表中,属于建设单位计划系统中工程项目建设总进度计划的有( )
A.工程项目一览表
B.投资计划年度分配表
C.年度设备平衡表
D.工程项目进度平衡表
E.年度建设资金平衡表
111、加快的成倍节拍流水施工的特点有( )
A.同一施工过程在各个施工段上的流水节拍均相等
B.相邻施工过程的流水步距等于流水节拍
C.各个专业工作队在施工段上能够连续作业
D.每个施工过程均成立一个专业工作队
E.所有施工段充分利用且没有空闲时间
112、下列施工过程中,必须列入施工进度计划,并且大多作为主导的施工过程或关键工作的有( )。
A.构筑物的地下工程
B.钢筋混凝土构件的现场制作过程
C.砂浆预制
D.主体结构工程
E.装饰工程
113、关于工程网络计划中关键线路的说法,正确的有( )。
A.双代号网络计划中持续时间最长的线路为关键线路
B.双代号时标网络计划中无波形线的线路为关键线路
C.单代号网络计划中总时差为零的线路为关键线路
D.双代号网络计划中无虚箭线的线路为关键线路
E.在工程网络计划中,关键线路上工作的总时差等于计划工期与计算工期之差
114、某工程单代号网络计划如下图所示(图中节点上方数字为节点编号),其中关键线路有( )。

A.1→2→3→8
B.1→2→3→6→8
C.1→2→5→6→8
D.1→2→5→7→8
E.1→4→7→8
115、某工程双代号时标网络计划如下图所示,由此可得正确的结论有( )。

A.工作A为关键工作
B.工作B的自由时差为2天
C.工作C的总时差为零
D.工作D的最迟完成时间为第8天
E.工作E的最早开始时间为第2天
116、关于工程网络计划工期优化的说法,正确的有( )
A.应分析调整各项工作之间的逻辑关系
B.应有步骤地将关键工作压缩成非关键工作
C.应将各条关键线路的总持续时间压缩相同数值
D.应考虑质量、安全和资源等因素选择压缩对象
E.应压缩非关键线路上自由时差大的工作
117、某工作计划进度与实际进度如下图所示,由此可得正确的结论有( )

A.第1周后连续工作没有中断
B.在第2周内按计划正常进行
C.在第3周后半周未按计划进行
D.截至第4周末拖欠5%的任务量
E.截至检查日期实际进度拖后
118、某工程双代号时标网络计划进行到第30天和第70天时,检查其实际进度绘制的前锋线如下图所示,由此可得正确的结论有( )。

A.第30天检查时,工作C实际进度提前10天,不影响总工期
B.第30天检查时,工作D实际进度正常,不影响总工期
C.第70天检查时,工作G实际进度拖后10天,影响总工期
D.第70天检查时,工作F实际进度拖后10天,不影响总工期
E.第70天检查时,工作H实际进度正常,不影响总工期
119、项目监理机构编制的施工进度控制工作细则的主要内容包括( )
A.施工进度控制目标实现的风险分析
B.进度控制人员的职责分工
C.与进度控制有关的各项工作流程
D.施工图设计文件的交付时间目标
E.进度控制的组织措施
120、施工进度计划初始方案编制完成后,需要检查的内容有( )
A.各工作项目的施工顺序、平行搭接和技术间歇是否合理
B.主要工种的工人是否满足连续、均衡施工的要求
C.主要分部工程的工程量是否准确
D.总工期是否满足合同约定
E.主要机具、材料的利用是否均衡和充分