1、应用建筑信息模型(BIM)技术时,为使不同专业的组织参与方进行有效交流,可采用()的分类模型。
A.联合数据库
B.关系数据库
C.层次数据库
D.网络数据库
本题答案:
A
2、投资项目需进口一台设备,正常到岸价为0万美元,关税税率为15%,增值税税率为13%,则进口设备原价()美元。
A.23
B.22.6
C.20
D.25.99
本题答案:
D
3、根据《绿色建筑标识管理办法》,绿色建筑三星级标识认定统一采用的标准是()。
A.行业标准
B.地方标准
C.国家标准
D.团体标准
本题答案:
C
4、根据《建筑工程勘察合同(示范文本)》,发包人应在收到定金或预付款申请后()日内,将定金或预付款支付给勘察人。
A.21
B.14
C.28
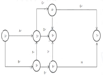
D.7
本题答案:
C
5、建筑安装工程采用一般计税方式,计取增值税时,增值税税率是()。
A.11%
B.9%
C.6%
D.3%
本题答案:
B
6、某承包单位经建设单位同意将其所承保工程中风险较大的部分专业工程分包给有能力承受或控制风险的分包商,这属于工程风险应对中的()。
A.风险转移
B.风险自留
C.风险回避
D.风险控制
本题答案:
A
7、某投资项目在运营期第四年息税前利润为400万元,折旧及摊销为50万元,所得税为40万元,当期应还本付息金额为200万元,则运营期第4年的偿债备付率是()。
A.2.45
B.1.8
C.2.25
D.2.05
本题答案:
D
8、投资项目盈亏平衡分析的特点()。
A.能够分析项目风险发生概率
B.能够确定项目风险影响因素
C.能否揭示项目风险产生根源
D.能够度量项目风险大小
本题答案:
D
9、为了节约建筑材料,减少施工废料量,建筑设计应遵循()的原则。
A.维修简便
B.构造简单
C.模数协调
D.施工快捷
本题答案:
C
10、下列投资项目社会评价内容中属于社会影响内容分析的是()
A.当地政府和居民对项目的支持程度
B.项目对所在地区居民的收入的影响
C.项目与当地社会环境的相互适应关系
D.可能影响项目的各种社会因素
本题答案:
B
11、《招标投标法》规定,依法必须进行招标的项目,自招标文件开始发出之日起至投标人提交投标文件截止之日止,其间最短不得少于()日。
A.5
B.20
C.15
D.10
本题答案:
B
12、工程施工评标中的初步评审阶段,审查投标文件对招标文件的响应性时,需要审查的内容()。
A.投标人的施工机械设备是否满足招标文件要求
B.施工方案及技术措施是否合理有效
C.投标工期是否满足投标人须知中的要求
D.技术负责人的经验和能力是否满足
本题答案:
C
13、下列影响因素中,直接影响房地产市场供给量的首要因素是()。
A.房地产开发建设技术水平
B.房地产开发成本
C.商品房价格水平
D.房地产开发用地供应量
本题答案:
D
14、下列费用组成项中,应列入建设投资的是()
A.预备费
B.流动资金
C.建设期利息
D.经营成本
本题答案:
A
15、就具体工程项目而言,工程监理的实施前提是()。
A.设计单位的支持和协同
B.施工单位的理解和支持
C.政府主管部门的监督和指导
D.建设单位的委托和授权
本题答案:
D
16、工程建设项目审批制度改革中,为减少审批内容,缩短审批时间而推行的制度是()。
A.专家评审制
B.登记备案制
C.告知承诺制
D.公众听证制
本题答案:
C
17、据《建设工程质量保证金管理办法》规定,工程质量保证金预留比例不得高于工程价款结算总额的()。
A.1%
B.2%
C.5%
D.3%
本题答案:
D
18、在美国建筑师协会(AIA)编制的系列标准合同文本中,适用于总承包商与分包商之间的合同文本是()。
A.B系列
B.A系列
C.D系列
D.C系列
本题答案:
B
19、下列实际进度与计划进度比较方法中,既可用于工作进度的局部比较,又可以用来分析和预测工程项目整体进度状况的是()。
A.前锋线比较法
B.香蕉曲线比较法
C.S曲线比较法
D.横道图比较法
本题答案:
A
20、下列施工合同计价方式中,基本不需要施工承包单位承担风险的是()计价方式。
A.总价合同
B.单价合同
C.目标成本加奖罚合同
D.成本加固定酬金合同
本题答案:
D
21、某建设项目的建设期为2年,第一年贷款额为1000万元,第二年贷款额为2000万元,年利率为10%,建设期利息为()。
A.307.5
B.300
C.255
D.600
本题答案:
C
22、下列网络图,绘图错误有()。

A.有多个终点节点
B.有多个起点工作
C.逻辑关系不正确
D.节点编号有错误
E.出现循环回路
本题答案:
A,D
23、开发建设单位在申请规划设计方案(建设项目方案)审查时,根据并联审批改革要求,自然资源主管部门对房地产开发规划设计方案审查的内容有()。
A.配套建设的人防设施是否达到相关标准规定
B.容积率、建筑高度等是否符合城市规划要求
C.停车位数量是否符合法律法规规章和城市规划要求
D.消防设计是否满足相关标准要求
E.设计方案用地范围是否与规划确定的范围一致
本题答案:
B,C,D,E
24、某方案的内部收益率为15%,基准收益率为13%,下列说法中正确的是()。
A.内部收益率大于净现值率
B.动态投资回收期小于项目寿命期
C.静态投资回收期大于项目寿命期
D.净年值大于零
E.净现值大于零
本题答案:
B,D,E
25、工程网络计划中工作A的总时差为()天。
A.2
B.3
C.0
D.1
本题答案:
D
26、工程网络计划中工作B的自由时差为()天。
A.0
B.3
C.2
D.1
27、工程网络计划中的关键工作为()。
A.工作H
B.工作E
C.工作C
D.工作D
28、工程网络计划中自由时差与总时差不相等的工作为()。
A.工作G
B.工作E
C.工作H
D.工作F
29、根据《绿色建筑评价标准》该住宅小区绿色建筑评价总得分为()分。
A.86
B.56
C.89
D.96
30、若将该住宅小区绿色建筑标识为三星级,则该小区全装修应达到()等级。
A.半装修.
B.70%的装修率
C.90%
D.全装修
31、根据绿色建筑星级评价技术要求,该住宅小区符合()绿色建筑要求。
A.二星级
B.三星级
C.四星级
D.五星级
32、该住宅小区开发中需要申请绿色金融服务时,应在专项报告中对()进行计算和说明。
A.节水措施
B.节能措施
C.建筑能耗
D.节地措施
33、与公开招标方式相比,采用邀请招标方式的优点为()
A.可简化招标程序
B.可获得较低报价
C.可节约招标费用
D.可避免贿标行为
34、由于A标段的工程量简单详细而明确,故此标段应优先采用()计价方式。
A.总价合同
B.成本加浮动酬金合同
C.成本加固定酬金合同
D.单价合同
35、由于B标段实际工程量可能与预计工程量有较大出入,故此标段应优先采用()计价方式。
A.成本加浮动酬金合同
B.单价合同
C.总价合同
D.成本加固定酬金合同
36、施工投标文件中出现的偏差中,属于细微偏差的有()。
A.丙投标文件
B.甲投标文件
C.乙投标文件
D.丁投标文件
37、甲方案的净现值为()万元。
A.6.82
B.7.23
C.14.46
D.-23.49
38、乙方案的静态投资回收期为()年。
A.5.83
B.5.45
C.6.56
D.7.23
39、丙方案的净年值为()万元。
A.25
B.95
C.57.51
D.70
40、比选甲、乙、丙三个方案时,可采用的方法为()。
A.净年值法
B.内部收益率法
C.最小公倍数法
D.净现值率法