1、关于项目参与各方项目管理的表述,下列选项中错误的是( )。
A.业主方的项目管理是整个项目管理的核心
B.建设项目工程总承包方的项目管理目标只包括项目的总投资目标
C.设计方的项目管理涉及项目整个实施阶段
D.供货方的项目管理主要在施工阶段
本题答案:
B
2、以下不属于施工方涉及的阶段是( )。
A.设计阶段
B.动用前准备阶段
C.保修期
D.决策阶段
本题答案:
D
3、项目结构图通过树状图对一个项目的结构进行分解,以反映组成该项目的所有( )。
A.工作部门
B.工作任务
C.工作人员
D.工作组织
本题答案:
B
4、控制项目目标的措施中最重要的措施是( )。
A.组织措施
B.经济措施
C.管理措施
D.技术措施
本题答案:
A
5、( )反映了最佳施工方案在时间上的安排,采用计划的形式,使工期、成本、资源等方面,通过计算和调整达到优化配置,符合项目目标的要求。
A. 施工进度计划
B. 施工平面图
C. 主要技术经济指标
D. 工程概况
本题答案:
A
6、编制施工组织总设计时,施工准备工作计划的编制应在完成( )后确定。
A.施工图预算
B.施工总平面图
C.资源需求量计划
D.主要技术经济指标
本题答案:
C
7、在对施工成本目标进行动态跟踪和控制中,应定期对施工成本的()进行比较。
A.预测值与计划值
B.预测值和实际值
C.计划值和实际值
D.计划值与定额标准值
本题答案:
C
8、依据《建设工程项目管理规范》GB/T50326—2017,施工项目经理可行使的权力有()。
A.组织或参与评价项目管理绩效
B.确定大宗资源的供应单位
C.组织项目管理班子
D.建立各类专业管理制度并组织实施
本题答案:
C
9、施工企业项目经理往往是一个施工项目施工方的总组织者、总协调者和总指挥者,项目经理不仅要考虑项目的利益,还应服从()的整体利益。
A.业主
B.总承包单位
C.本施工企业
D.本项目各参与方
本题答案:
C
10、取得建造师注册证书的人员是否担任工程项目施工的项目经理,应由()决定。
A.业主
B.施工企业
C.行业协会
D.政府主管部门
本题答案:
B
11、当风险发生的概率等级为3级,损失等级为2级,最终确定的风险等级为( )级。
A.Ⅰ
B.Ⅱ
C.Ⅲ
D.Ⅳ
本题答案:
B
12、以下风险因素中不属于经济与管理风险的是( )。
A.工程物资
B.工程资金供应条件
C.现场与公用防火设施的可用性及其数量
D.事故防范措施和计划
本题答案:
A
13、施工企业根据监理企业制定的旁站监理方案,在需要实施旁站监理的关键部位、关键工序进行施工前()小时,应当书面通知监理企业派驻工地的项目监理机构。
A.12
B.24
C.36
D.48
本题答案:
B
14、在下列费用中,属于建筑安装工程安全文明施工费的是( )。
A.施工单位搭设的临时设施费
B.夜间施工增加费
C.生产工人劳动保护费
D.已完工程和设备保护费
本题答案:
A
15、施工机械使用费主要由( )决定。
A.人工单价和材料价格
B.台班产量和材料价格
C.台班数量和人工单价
D.台班数量和台班单价
本题答案:
D
16、按照《建筑安装工程费用项目组成》(建标[2013]44号),下列属于企业管理费的是( )。
A.社会保险费
B.差旅交通费
C.文明施工费
D.住房公积金
本题答案:
B
17、根据生产技术和施工组织条件,对施工过程中各工序采用测时法、写实记录法、工作日写实法,测出各工序的工时消耗等资料,再对所获得的资料进行科学的分析,制定出人工定额的方法是()。
A.技术测定法
B.统计分析法
C.比较类推法
D.经验估计法
本题答案:
A
18、编制工程概算定额的基础是()。
A.施工定额
B.预算定额
C.概算指标
D.投资估算指标
本题答案:
B
19、以下关于投标报价编制原则说法错误的是( )。
A.投标报价不得低于工程成本
B.报价计算方法要科学严谨,简明适用
C.应该以施工方案.技术措施等作为投标报价计算的基本方法
D.投标报价只能由投标人进行编写
本题答案:
D
20、根据《建设工程工程量清单计价规范》(GB50500—2013),分部分项工程清单综合单价应包含( )。
A.人工费、材料费、施工机具使用费、企业管理费、利润
B.人工费、材料费、施工机械使用费、企业管理费、规费
C.人工费、材料费、施工机械使用费、规费、利润、税金
D.材料费、工程设备费、施工机具使用费、规费、税金、企业管理费
本题答案:
A
21、某工程项目土方工程采用人工挖土方、人工运输和机械运输,招标工程量清单中的挖土方数量为2000m³,投标人计算的施工挖土方数量为3500m³,余土外运。投标人计算的人工挖土方费用为42000元,人工运土费用为15000元,机械运土费用为38000元,管理费用取人、料、机之和的14%,利润取人、料、机与管理费之和的8%。根据《建设工程工程量清单计价规范》(GB50500—2013),不考虑其他因素,投标人报价时挖土方综合单价为( )元/m³。
A.33.41
B.58.48
C.61.56
D.73.10
本题答案:
B
22、除专用合同条款另有约定外,发包人应在开工后28天内预付安全文明施工费总额的(),其余部分与进度款同期支付。
A.25%
B.30%
C.50%
D.75%
本题答案:
C
23、因窝工引起的施工机械设备费索赔,当施工机械是施工企业从外部租赁时,索赔费用的标准按照( )计算。
A.折旧费
B.租赁费
C.台班使用费
D.折旧费和租赁费之间的较高者
本题答案:
B
24、根据《建设工程施工合同(示范文本)》,招标工程一般以投标截止日前( )天作为基准日。
A.7
B.14
C.28
D.42
本题答案:
C
25、根据《建设工程量清单计价规范》GB50500—2013,关于提前竣工的说法,正确的是( )。
A.招标人压缩的工期天数不得超过定额工期的50%
B.工程实施过程中,发包人要求合同工程提前竣工,可以不征求承包人意见
C.发承包双方约定提前竣工每日历天应补偿额度,与结算款一并支付
D.赶工费用包括人工费、材料费、机械费以及履约保函手续费的增加
本题答案:
C
26、根据《建设工程工程量清单计价规范》,发包人应在工程开工后的28天内预付安全文明工费总额的( )。
A.50%
B.90%
C.60%
D.100%
27、下列施工成本管理措施中,属于技术措施的是()。
A.加强施工调度,避免因施工计划不周造成窝工损失
B.施工方案要对比进行选择
C.结合施工方法,进行材料使用的比选
D.增加承担风险的个体数量以降低损失发生的比例
28、( )是对成本计划是否实现的最后检验。
A.成本核算
B.成本分析
C.成本控制
D.成本考核
29、下列施工成本纠偏措施中,能压缩已经超支的费用而不损害其他目标的是()。
A.减少工程范围
B.降低设计标准
C.提高生产效率
D.增加替换材料
30、下列不可作为施工成本控制依据的是( )。
A.工程变更
B.进度报告
C.成本计划
D.会计核算
31、编制施工项目成本计划,关键是确定项目的()。
A.概算成本
B.成本构成
C.目标成本
D.实际成本
32、工程成本应当包括( )所发生的,与执行合同有关的直接费用和间接费用。
A.从工程投标开始至工程验收为止
B.从场地移交开始至项目移交为止
C.从合同签订开始至合同完成为止
D.从项目设计开始至竣工投产为止
33、施工成本分析的依据中,核算范围最广,既可以对已经发生的经济活动进行核算,还可以对尚未发生或正在发生的经济活动进行核算的是()。
A.会计核算
B.统计核算
C.成本核算
D.业务核算
34、大型建设工程项目总进度目标论证的核心工作是通过()。
A.编制总进度纲要,论证总进度目标实现的可能性
B.分析工程发包组织方式,论证总进度目标分解的合理性
C.分析施工技术方面的资料,论证总进度目标的控制措施
D.分析施工组织资料,论证总进度目标实现的条件
35、在网络计划中,关键工作是指( )。
A.总时差最小的工作
B.自由时差最小的工作
C.时标网络计划中无波形线的工作
D.持续时间最长的工作
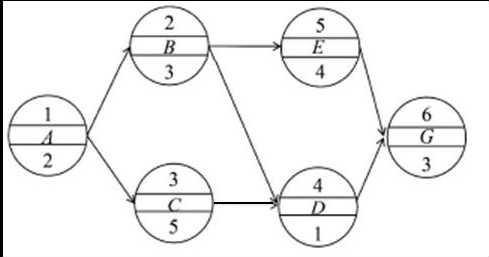
36、某工程的单代号网络计划如下图所示(时间单位:天),该计划的计算工期为( )天。

A.9
B.11
C.12
D.15
37、在双代号网络图中,虚工作( )。
A.既不消耗时间,也不消耗资源
B.只消耗时间,不消耗资源
C.既消耗时间,又消耗资源
D.只消耗资源,不消耗时间
38、某工程网络计划中,工作H的最早开始时间和最迟开始时间分别为第12天和第16天,其持续时间为5天,工作H有3个紧后工作,它们的最早开始时间分别为第21天、第24天和第28天,则H的自由时差为( )天。
A.4
B.7
C.11
D.6
39、根据双代号网络图绘图规则,下列网络图中的绘图错误有( )处。

A.2
B.3
C.4
D.5
40、会议是协调的重要手段,应进行有关进度控制会议的组织设计,属于( )。
A.组织措施
B.管理措施
C.经济措施
D.技术错误
41、施工质量控制的特点之一是过程控制要求高,因此,在施工质量控制工作中,必须强调( )。
A.竣工预验收
B.竣工验收
C.过程控制
D.事后控制
42、反映产品质量水平和质量体系中各项质量活动进行及结果的质量管理体系文件是( )。
A.质量目标
B.质量手册
C.程序文件
D.质量记录
43、质量管理的首要关注点是满足顾客要求并努力超越顾客的期望。这体现了( )的原则。
A.以顾客为关注对象
B.以顾客为关注焦点
C.以组织为关注对象
D.以组织为关注焦点
44、工程竣工验收时,如参与工程竣工验收的建设、勘察、设计、施工、监理等各方不能形成一致意见时,正确的做法是( )。
A.协商提出解决方法,待意见一致后做出验收结论
B.协商提出解决方法,待意见一致后重新组织工程竣工验收
C.由建设单位做出验收结论
D.由监理单位做出验收结论
45、项目开工前编制的施工测量控制方案应经过( )批准后实施。
A.项目经理
B.项目技术负责人
C.施工企业负责人
D.监理企业负责人
46、下列施工质量控制工作中,属于技术准备工作质量控制的是( )。
A.设置质量控制点
B.建立施工测量控制网
C.制定施工场地质量管理制度
D.实行工序交接检查制度
47、从建设工程施工质量验收的角度来说,最小的工程施工质量验收单位是( )。
A.分项工程
B.检验批
C.分部工程
D.工序
48、对大理石板拼缝尺寸与超差数量、摊铺沥青拌合料的温度等进行的检查,属于施工质量控制方法中的( )。
A.目测法
B.实测法
C.试验法
D.无损检验法
49、建设单位应当在工程竣工验收()个工作日前,将验收的时间、地点以及验收组名单书面通知负责监督该工程的工程质量监督机构。
A.3
B.5
C.7
D.10
50、( )是建设工程产品由设计转化为实物的第一步。
A.工程测量放线
B.建立施工测量控制网
C.标高基准控制
D.施工平面布置
51、某钢结构工程,钢结构吊装机械的使用应贯彻( )的使用管理制度。
A.定时、定机、定人
B.定机、定人、定岗位职责
C.定人、定岗、定工作顺序
D.定时、定人、定工作顺序
52、为了保证以后的施工不再发生类似事故,施工单位应严格实行“三检”制度,即( )。
A.施工自检、监理复检、政府监督
B.自检、互检、专检
C.预检、过程检、完工检
D.书面检验、实验检验、试验检验
53、造成经济损失100万元,重伤3人,死亡2人以下等后果的质量事故属于( )。
A.特别重大事故
B.重大事故
C.较大事故
D.一般事故
54、某工程施工中,由于施工方在低价中标后偷工减料,导致出现重大工程质量事故,该质量事故发生的原因属于()。
A.管理原因
B.社会、经济原因
C.技术原因
D.人为事故原因
55、监督机构应制订工作计划并组织实施。在工程项目开工前,在施工现场召开由工程建设参与各方代表参加的监督会议,公布监督方案,提出监督要求,并进行第一次的监督检查工作,检查的重点是( )。
A.特种作业的施工质量
B.参与工程建设各方主体的质量行为
C.单位工程工程实体的施工质量
D.工程质量控制资料的完成情况
56、在工程项目开工前,监督机构接受建设单位有关建设工程质量监督的申报手续,审查合格后签发( )。
A.施工许可证
B.施工资质许可证
C.质量监督文件
D.质量监督检查报告
57、根据有关规定,改变工艺和变换岗位时,当组织内部员工离岗()以上重新上岗的情况,企业必须进行相应的安全技术培训和教育,以使其掌握现岗位安全生产特点和要求。
A.3个月
B.6个月
C.1年
D.2年
58、下列关于工伤和意外伤害保险制度的说法,错误的有( )。
A.工伤保险是属于法定的强制性保险
B.鼓励建筑施工企业为职工参加工伤保险缴纳工伤保险费
C.为从事危险作业的职工投保意外伤害险并非强制性规定
D.鼓励企业为从事危险作业的职工办理意外伤害保险,支付保险费
59、建设工程生成安全事故应急预案中,针对深基坑开挖可能发生的事故、相关危险源和应急保障而制定的计划属于()。
A.综合应急预案
B.现场处置方案
C.专项应急预案
D.现场应急预案
60、下列关于建设工程施工现场环境管理的说法,正确的是( )。
A.施工现场用餐人数在50人以上的临时食堂,应设置简易有效的隔油池
B.施工现场外围设置的围挡不得低于1.5m
C.一般情况下禁止各种打桩机械在夜间施工
D.在城区、郊区城镇和居住稠密区,只能在夜间使用敞口锅熬制沥青
61、施工现场应建立以( )为现场文明施工的第一责任人的施工现场文明管理组织,负责本工程现场文明施工工作。
A.建设单位负责人
B.施工单位项目经理
C.施工单位安全负责人
D.监理单位总监理工程师
62、施工现场大门口必须设置的“五牌一图”不包括()。
A.工程概况牌
B.安全生产牌
C.现场危险警示牌
D.施工现场平面图
63、在建设工程施工投标过程中,施工方案应由投标人的( )主持制定。
A.项目经理
B.法人代表
C.分管投标的负责人
D.技术负责人
64、平行发承包模式在进度控制方面的特点是( )。
A.需全部施工图完成后,才能进行招标,对进度控制不利
B.招标次数较少,对进度控制有利
C.无法做到边设计边施工,对进度控制不利
D.某一部分施工图完成后,即可开始这部分工程的招标,有利于缩短建设周期
65、根据《标准施工招标文件》中“通用合同条款”的规定,下述情况中承包人无权要求发包人延长工期和(或)增加费用的是()。
A.未按合同约定及时支付预付款、进度款
B.改变合同中任何一项工作的质量要求或其他特性
C.由于承包人原因,未能按合同进度计划完成工作
D.增加合同工作内容
66、下列选项中,不属于发包人应当承担的责任的是( )。
A.据合同需要,办理取得出入施工场地的专用和临时道路的通行权
B.赔偿工程或者工程的任何部分对土地占用所造成的第三者人身伤亡和财产损失
C.发包人应将其持有的现场地质勘探资料、水文气象资料提供给承包人,并对其准确性负责
D.负责施工场地及其周边环境与生态的保护工作
67、某承包人承揽一房屋建筑项目,现已按合同约定通过竣工验收。根据《标准施工招标文件》,承包人的缺陷责任期应自( )起计算。
A.发包人组织竣工验收之日
B.工程接收证书中写明的实际竣工日期
C.发包人签认工程接收证书之日
D.监理向承包人出具经发包人签认的工程接收证书之日
68、根据《建设工程施工劳务分包合同(示范文本)》(GF-2003-0214),关于保险的说法,正确的是( )。
A.施工前,劳务分包人应为施工场地内的自有人员及第三人人员生命财产办理保险,并承担相关费用
B.劳务分包人应为运至施工场地用于劳务施工的材料办理保险,并承担相关保险费用
C.劳务分包人必须为从事危险作业的职工办理意外伤害险,并支付相关保险费用
D.劳务分包人必须为从承包人处租赁使用的施工机械设备办理保险,并支付相关保险费用
69、某建设工程项目第一次竣工验收未能通过,承包人按发包人要求修改后再次验收合格。根据《标准施工招标文件》的规定,除专用合同条款另有约定外,该项目的实际竣工日期应是()。
A.再次验收的日期
B.第一次竣工验收的日期
C.再次验收合格的日期
D.再次提交竣工验收申请报告的日期
70、作为国家科技部“十一五”的重点研究项目,并被住房和城乡建设部确认建筑信息化的最佳解决方案的技术是()。
A.PIP
B.FMIS
C.CAD
D.BIM
71、某建设工程正在进行楼板钢筋绑扎施工。施工总承包单位的技术负责人现场检查后,确认施工进度按预定计划执行,但楼板负弯矩钢筋标高不符合设计要求,保证楼板负弯矩钢筋标高的措施不可靠,随即组织有关人员分析并制定改进措施,同时要求所属施工队立即执行。在该项目主体结构施工阶段,涉及的建设工程项目管理类型有()的项目管理。
A.业主方
B.设计方
C.施工总承包方
D.施工总承包管理方
E.供货方
72、组织结构模式包括( )。
A.职能组织结构
B.矩阵组织结构
C.线性组织结构
D.非线性组织结构
E.管理工作组织结构
73、某施工企业承担了某项施工任务,为保证项目目标的实现,项目经理做了以下各项工作,其中属于项目目标事前控制的内容有( )。
A.收集项目目标的实际值
B.定期进行项目目标的计划值与实际值比较
C.事前分析可能导致目标偏离的各种影响因素
D.针对影响项目目标的各种因素采取预防措施
E.当发现目标偏离时,采取纠偏措施进行纠偏
74、根据《建设工程项目管理规范》GB/T50326--2017,项目管理目标责任书的内容包括()。
A.项目管理实施目标
B.项目需用的资源的提供方式和核算办法
C.法定代表人向项目管理机构负责人委托的相关事项
D.项目经理部应承担的责任
E.项目管理目标的评价依据、标准和办法
75、下列属于风险管理计划的内容的有( )。
A.风险分类和风险排序要求
B.风险识别程序
C.风险管理范围
D.风险管理的责任和权限
E.必须的资源和费用预算
76、根据造价形成划分,以下属于其他项目费的有( )。
A.计日工
B.城市维护建设税
C.暂列金额
D.工具用具使用费
E.总承包服务费
77、施工采用单价合同工程计量时,发生下列情况时,应按承包人在履行合同义务中完成的工程量计算的有()。
A.工程量偏差
B.为加快工程进度采用了新工艺
C.为保证工程质量采用了新技术
D.招标工程量清单中出现缺项
E.因工程变更引起工程量的增减
78、关于单价合同的计量,监理人一般只对( )工程项目进行计量。
A.工程量清单中的全部项目
B.工程量清单中的部分项目
C.合同文件中规定的项目
D.工程变更项目
E.实际完成的项目
79、建设工程项目施工成本计划的编制依据有()。
A.建设投资估算书
B.项目合同文件
C.项目管理实施规划
D.类似项目的施工成本资料
E.施工招标公告
80、按成本组成,施工成本分解为( )。
A.企业管理费
B.材料费
C.暂估价
D.施工机械使用费
E.人工费
81、月(季)度成本分析的依据是当月(季)的成本报表,其分析通常包括的方面有()。
A.实际成本与预算成本的对比
B.实际成本与统计成本的对比
C.实际成本与目标成本的对比
D.各成本项目的成本分析
E.实际成本与业务成本的对比
82、针对一个项目的月度施工计划反映主要施工作业的()等内容。
A.实物工程量
B.所需施工机械数量
C.设计图纸交付
D.质量验收日期
E.持续时间
83、下列有关工程项目进度网络图绘制的表述,正确的有( )。
A.单代号网络图中可以有多个起点节点
B.双代号网络图中应只有一个起点节点和一个终点节点(多目标网络计划除外)
C.双代号网络图中节点的编号必须连续
D.单代号网络图中的节点可以用圆圈或矩形表示
E.网络图中所有节点都必须有编号
84、施工方除应编制施工进度计划外,还应编制的计划包括( )。
A.劳动力需求计划
B.施工图设计完成计划
C.拆迁计划
D.物资需求计划
E.资金需求计划
85、质量计划是为了确保过程的有效运行和控制,在程序文件的指导下,针对特定的产品、过程、合同或项目,而制定出的专门质量措施和活动顺序的文件,其内容包括()。
A.为达到的质量目标采取的措施
B.该质量评审、修改和控制管理办法
C.组织机构和质量职责
D.项目各阶段的责任和权限
E.应采用的特定程序、方法、作业指导书
86、建筑工程施工质量验收应划分为( )。
A.单位工程
B.分部工程
C.分项工程
D.室外工程
E.检验批
87、下列有关工程质量事故分类的说法正确的有( )。
A.检验制度不严密引起的质量事故属于管理原因引发的质量事故
B.某工程质量事故造成人员死亡18人,则该事故属于特别重大事故
C.某工程质量事故造成损失1500万元,则该事故属于较大事故
D.工程质量不合格造成直接经济损失400万元,则该事故属于一般事故
E.按事故责任分类,可将工程质量事故分为指导责任事故.操作责任事故.自然灾害事故
88、下列关于职业健康安全管理体系的维持的说法,正确的是( )。
A.管理评审是施工企业对其自身的管理体系进行的审核,是对体系是否正常进行以及是否达到了规定的目标所作的独立的检查和评价
B.内部审核是管理体系自我保证和自我监督的一种机制
C.公司级评价每年进行两次,制定计划后由管理者代表组织企业相关部门和项目组,对公司应遵守的法律法规和其他要求的执行情况进行合规性评价
D.管理评审是由施工企业的最高管理者对管理体系的系统评价
E.管理体系的维持包括管理评审、内部审核和合规性评价
89、施工单位办理整体提升脚手架使用登记时,须提交的有关资料包括()。
A.设计文件、制造质量证明书
B.使用说明书、安装证明
C.监督检验证书
D.施工现场原位实验证明
E.施工起重机械的管理制度和措施
90、根据建设部《建设工程施工现场管理规定》,为控制施工现场作业活动对环境的污染和危害,施工单位应当采取的正确措施有( )。
A.使用密闭式的圆筒或者采取其他措施处理高空废弃物
B.将现场产生的固体废物作土方回填
C.禁止将泥浆水直接排入城市排水设施和河流
D.采取有效措施,控制施工过程中的扬尘
E.采取有效控制措施,减轻施工噪声扰民
91、承包人应在接到开工通知后28天内。向监理人提交承包人在施工场地的管理机构以及人员安排的报告,其内容应包括()。
A.管理机构的设置
B.现场平面布置图
C.各主要岗位的技术和管理人员名单及其资格
D.各工种技术工人的安排状况
E.施工场地、办公室和临时设施的费用
92、采用固定总价合同,承包商承担的主要有( )。
A.工期风险
B.价格风险
C.工作量风险
D.施工技术方案引发的风险
E.政治风险
93、承包人发出的索赔意向通知应包括的内容有( )。
A.索赔事件发生的时间.地点
B.索赔事件的发展动态
C.索赔依据和理由
D.承包人为该索赔事件付出的努力和附加开支
E.要求费用或工期补偿的数量
94、投标担保可以采用的形式有( )。
A.担保公司担保书
B.投标保证金
C.不动产抵押
D.银行保函
E.动产抵押
95、作为专门从事信息管理工作的项目信息管理部门,其主要任务应包括()。
A.负责主持编制信息管理手册,并在项目实施过程中进行必要的修改和补充
B.负责协调和组织项目管理班子中各个工作部门的信息处理工作
C.负责信息处理工作平台的建立和运行维护
D.负责工程档案管理
E.负责项目现场管理