1、( )是指按照设计图纸和相关文件的要求,通过测量、作业、检验等手段,在建设场地上将设计意图付诸实现,形成工程实体、建成最终产品的活动。
A.工程设计
B.工程施工
C.工程决策
D.工程竣工验收
本题答案:
B
2、工业厂房要能满足生产生活需要,道路、桥梁、铁路、航道要能通达便捷,属( )的质量范畴。
A.适用性
B.安全性
C.可靠性
D.与环境的协调性
本题答案:
A
3、监理工程师在工程质量控制中,体现以数据资料为依据,客观地处理质量问题的原则为( )。
A.坚持质量标准原则
B.坚持科学、公平、守法的职业道德规范
C.质量第一的原则
D.预防为主的原则
本题答案:
B
4、工程质量控制按实施主体不同分为自控主体和监控主体,下列属于监控主体的是()。
A.设计单位
B.施工单位
C.监理单位
D.勘察单位
本题答案:
C
5、建设单位办理工程竣工验收备案应当提交的资料不包括()
A.工程竣工验收备案表
B.工程竣工验收报告
C.施工单位签署的工程质量保修书
D.竣工图
本题答案:
D
6、质量管理体系应是一个由组织结构、程序、过程和资源构成的有机的整体。而在体系文件编写的过程中,由于要素及部门人员的分工不同,侧重点不同及其局限性,保持全局的( )较为困难。
A.相容性
B.系统性
C.独立性
D.可操作性
本题答案:
B
7、质量管理体系文件中( )的内容应以有关监理服务的策划与控制内容为基础,再进行进一步的细化、补充和衔接。
A.质量手册
B.程序文件
C.记录表格
D.作业文件
本题答案:
D
8、监理单位质量管理体系实施中,( )应检查监理规划与监理实施细则的质量控制措施是否落实、管理记录是否完整和符合规定要求。
A.建设单位负责人
B.总监理工程师
C.专业监理工程师
D.质量监督机构
本题答案:
B
9、检验批抽样方案中合理分配生产方风险和使用方风险时,对应于一般项目合格质量水平的错判概率a不宜超过5%,漏判概率β不宜超过( )。
A.5%
B.8%
C.10%
D.12%
本题答案:
C
10、将直方图与质量标准比较,质量分布中心与质量标准中心重合,实际数据分布与质量标准相比较两边还有一定余地,说明( )。
A.生产过程处于正常稳定状态
B.质量要求过高,不经济
C.已出现不合格品
D.过程能力不足
本题答案:
A
11、根据概率数理统计,计点值数据服从( )。
A.正态分布
B.二项分布
C.线性分布
D.泊松分布
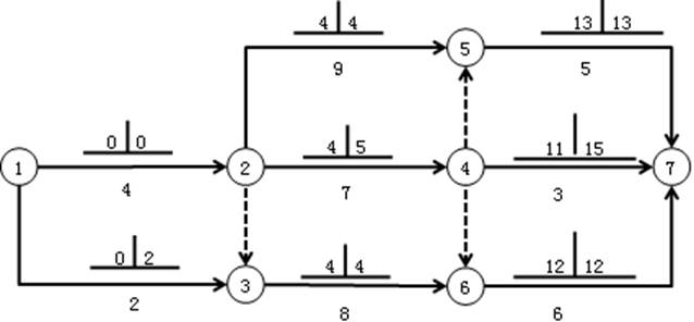
本题答案:
D
12、在排列图中,右侧纵坐标表示( )。
A.频数
B.件数
C.累计频率
D.累计件数
本题答案:
C
13、极差的作用是( )。
A.用数据变动的幅度来反映其分散状况的特征值
B.反映数据变异程度的特征性
C.表示数据的相对离散波动程度
D.表示数据的代表性
本题答案:
A
14、施工单位采购的某类钢材分多批次进场时,为了保证在抽样检测中样品分布均匀、更具代表性,最合适的随机抽样方法是( )。
A.简单随机抽样
B.系统随机抽样
C.分层随机抽样
D.多阶段抽样
本题答案:
D
15、在混凝土结构实体检测中,现浇混凝土板厚度检测方法为( )。
A.回弹仪
B.超声回弹综合法
C.取芯法
D.超声波对测法
本题答案:
D
16、项目监理机构对勘察成果的审查是勘察阶段质量控制最重要的工作,( )属于程序性审查。
A.勘察场地的工程地质条件
B.岩土工程问题
C.对工程勘察报告的内容和深度进行检查
D.工程勘察成果的齐全、可靠
本题答案:
D
17、监理机构审查设计单位提交的设计成果,并提出评估报告,评估报告内容不包括( )。
A.设计工作概况
B.存在的问题及建议
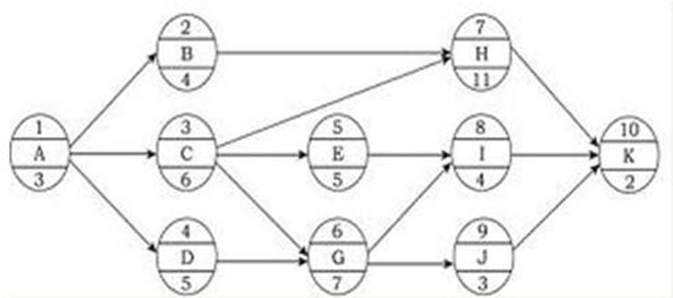
C.技术参数是否先进合理
D.有关部门审查意见的落实情况
本题答案:
C
18、工程初步设计质量管理服务的主要工作内容不包括下列( )。
A.设计单位的选择
B.起草设计任务书
C.起草设计合同
D.起草投资方案
本题答案:
D
19、()是初步设计的补充和深化,一般不再进行报批,由建设单位直接组织审查、审批。
A.方案设计
B.规划设计
C.技术设计
D.施工图设计
本题答案:
C
20、在现场施工准备的质量控制中,()应检查、复核施工单位测量人员的资格证书和测量设备检定证书。
A.总监理工程师
B.监理单位技术负责人
C.专业监理工程师
D.监理员
本题答案:
C
21、建设单位应在收到施工图设计文件后()内组织并主持召开工程施工图设计交底会。
A.1个月
B.2个月
C.3个月
D.4个月
本题答案:
C
22、关于总监理工程师组织监理人员熟悉工程设计文件的目的的说法,错误的是( )。
A.通过熟悉工程设计文件,了解设计意图和工程设计特点
B.通过熟悉工程设计文件,了解工程关键部位的质量要求
C.发现图纸差错
D.改正图纸差错
本题答案:
D
23、施工过程中,若出现需返工弥补的工程质量问题,监理工程师应及时( )。
A.签发监理通知单
B.签发工程暂停令
C.通知建设单位
D.报告政府主管部门
本题答案:
A
24、工程复工时,()应及时签署审批意见,并报建设单位批准后签发工程复工令,施工单位接到工程复工令后应组织复工。
A.总监理工程师
B.建设行政主管部门
C.专业监理工程师
D.甲方代表
本题答案:
A
25、工程施工质量验收过程中,涉及结构安全、节能、环境保护等项目的专项验收要求应由()组织专家论证。
A.建设单位
B.设计单位
C.监理单位
D.施工单位
本题答案:
A
26、根据生产连续性和生产控制稳定性等情况,检验批抽样方案可采用()
A.多次抽样
B.计数抽样
C.全数检验
D.调整型抽样
27、工程保修阶段监理单位应完成的工作不包括下列( )。
A.定期回访
B.协调联系
C.界定责任
D.实施维修
28、在进行质量问题成因分析中,首先要做的工作是( )。
A.收集有关资料
B.现场调查研究
C.进行必要的计算
D.分析、比较可能的因素
29、某基础工程由于“献礼”要求而缩短了工期,未搞清地质情况就仓促开工,致使回填土工程质量不合格。从工程质量缺陷的成因角度分析,这属于( )。
A.违背基本建设程序
B.施工与管理不到位
C.地质勘察失真
D.片面追求进度
30、某工程发生质量事故,造成15人死亡,150人重伤,此次质量事故属于( )。
A.特别重大事故
B.重大事故
C.较大事故
D.一般事故
31、选择一个合格的供货厂商,是向生产厂家订购设备质量控制工作的首要环节。为此,设备订购前应做好( )。
A.厂商的初选入围与实地考察
B.确定供货厂商与实地考察
C.厂商的初选入围与确定采购总价
D.确定供货厂商与确定采购总价
32、( )是控制概算定额(指标)的水平。
A.预算定额
B.估算指标
C.计划定额
D.计算定额
33、考虑到组成单位工程的各部分是由不同工人用不同工具和材料完成的,又可以把单位工程进一步分解为( )。
A.独立工程
B.单元工程
C.分项工程
D.分部工程
34、某项目建筑安装工程投资为2000万元,基本预备费为60万元,设备购置费为300万元,涨价预备费为20万元,贷款利息为50万元,则上述投资中属于静态投资的为( )万元。
A.2300
B.2360
C.2380
D.2430
35、审核承包人编制的施工组织设计,对主要施工方案进行技术经济分析,体现了项目监理机构在施工阶段投资控制的( )措施。
A.组织
B.技术
C.经济
D.合同
36、在投资控制的若干措施中,最为有效的是( )。
A.科学确定投资控制目标
B.以决策和设计阶段为重点
C.实行建设全过程的投资控制
D.技术与经济相结合
37、建设工程项目的投资控制应贯穿于项目建设的全过程,下列选项中,就影响的可能性而言,最应当作为投资控制重点的是( )。
A.初步设计
B.技术设计
C.施工图设计准备
D.施工图设计
38、项目监理机构应建立( )工程量统计表,对实际完成量与计划完成量进行比较分析,发现偏差的,应提出调整建议。
A.日完成
B.月完成
C.旬完成
D.年完成
39、工料测量师在工程建设中的主要任务就是对( )进行全面系统的控制。
A.项目投资
B.项目设计
C.项目决策
D.项目施工
40、专业监理工程师对施工单位在工程款支付报审表中提交的工程量和支付金额进行复核,确定实际完成的工程量,体现了施工阶段投资控制中( )的主要工作。
A.进行工程计量和付款签证
B.对完成工程量进行偏差分析
C.审核竣工结算款
D.处理施工单位提出的工程变更费用
41、按照费用构成要素划分的建筑安装工程费用项目组成中,人工费不包括( )。
A.计时工资
B.奖金
C.加班工资
D.管理人员工资
42、某施工项目,规定中安全文明施工费率为1%,以定额人工费及定额机械费之和为计算基数;夜间施工增加费率为1%,以定额人工费为计算基数。模板及脚手架综合单价为150元/m2,工程量为5000m2。定额人工费为300万元,定额材料费为1000万元,定额机械费为400万元。不考虑其他项目费用,则该项目中不宜计量的措施项目费用为()万元。
A.3.0
B.7.5
C.10.0
D.17.5
43、采用装运港船上交货价(FOB)进口设备时,卖方的责任是( )。
A.承担货物装船后的一切费用和风险
B.支付运费
C.负责提供有关装运单据
D.负责办理保险及支付保险费
44、某采用装运港船上交货价的进口设备,货价为1000万元人民币。国外运费为90万元人民币,国外运输保险费为10万元人民币,进口关税为150万元人民币。则该设备的到岸价为( )万元人民币。
A.1250
B.1150
C.1100
D.1090
45、根据设计要求,在施工过程中需对某新型钢筋混凝土屋架进行一次破坏性试验,以验证设计的正确性,此项试验费应由( )支付。
A.设计单位
B.建设单位的研究试验费
C.施工单位的检验试验费
D.施工单位的材料费
46、某新建项目,建设期为2年,共从银行贷款960万元,每年贷款额相等。贷款年利率为6%,则该项目建设期利息为( )万元。
A.44.06
B.58.46
C.88.13
D.116.93
47、企业通过发行债券进行筹资的优点( )。
A.降低企业总资金成本
B.发挥财务杠杆作用
C.提升企业经营灵活性
D.减少企业务风险
48、政府投资的项目,()是政府投资主管部门审批决策的依据。
A.项目建议书
B.可行性研究
C.初步设计文件
D.基础设计
49、某建设项目从银行贷款2000万元,年利率8%,每季度复利一次,则该贷款的年实际利率为( )。
A.7.76%
B.8.00%
C.8.24%
D.8.56%
50、某人现贷款20万元,按复利计算,年利率为10%,分5年等额偿还,每年应偿还( )万元。
A.4.0
B.4.4
C.4.6
D.5.3
51、某项目建设期为3年。建设期间共向银行贷款1500万元,其中第1年初贷款1000万元,第2年初贷款500万元;贷款年利率6%,复利计息。则该项目的贷款在建设期末的终值为( )万元。
A.1653.60
B.1702.49
C.1752.82
D.1786.52
52、采用分项详细估算法进行流动资金估算时,应计入流动负债的是()。
A.预收账款
B.存货
C.库存资金
D.应收账款
53、投资收益率的不足之处是()。
A.不能反映投资效果的优劣
B.只适用大规模投资
C.没有考虑投资收益的时间因素
D.经济意义明确、直观
54、某投资方案的净现金流量及累计净现金流量如下表所示,则该投资方案的静态投资回收期是( )年。

A.5.25
B.5.33
C.5.50
D.5.66
55、某工程设计有两个方案:甲方案功能评价系数0.85,成本系数0.92;乙方案功能评价系数0.6,成本系数0.7,则最优方案的价值系数为( )。
A.0.857
B.0.911
C.0.924
D.0.950
56、编制建筑单位工程概算一般有()、概算指标法两种。
A.扩大单价法
B.施工图预算法
C.单价法
D.实物量法
57、用实物量法编制施工图预算,针对以下步骤:①计算工程量;②套用预算定额单价;③套用消耗定额,计算人料机消耗量;④进行工料分析;⑤计算并汇总人工费、材料费、施工机械使用费;⑥计算其他费用及汇总造价,合理的顺序是( )。
A.①—②—③—⑤—⑥
B.①—③—⑤—⑥
C.①—②—④—⑤—⑥
D.①—②—⑤—⑥
58、工程量清单的十二位项目编码中,五至六位表示()。
A.专业工程码
B.分类顺序吗
C.分部工程顺序码
D.清单项目名称顺序码
59、根据《建设工程工程量清单计价规范》(GB50500--2013),工程量清单应由( )编制。
A.招投标管理部门认可的代理机构
B.具有相应资质的工程造价咨询人
C.项目管理公司合同管理机构
D.具有招标代理资质的中介机构
60、某高层建筑住宅楼工程的施工图设计已经完成,且计划工期为24个月,其应采用( )合同。
A.固定总价
B.可调总价
C.估计工程量单价
D.可调单价
61、根据《建设工程工程量清单计价规范》GB50500-2013的规定,下列合同价款调整的因素中,属于物价变化类的包括()。
A.索赔
B.暂估价
C.计日工
D.不可抗力
62、某独立土方工程,招标文件中估计工程量1万m3,合同中约定土方单价20元/m3,当实际工程量超过估计工程量10%以上时,超出部分需调整单价,单价为18元/m3,该工程结算时实际完成工程量为1.2万m3,则土方工程款为( )万元。
A.21.6
B.23.6
C.23.8
D.24.0
63、某工程项目的招标控制价的综合单价为400元/m3,投标报价的综合单价为320元/m3,投标报价浮动率为5%。如果履行合同过程中,工程量偏差减少超过15%,则其综合单价应调整为( )元/m3。
A.320
B.323
C.400
D.460
64、某新校区抗震模拟实验室工程,主体部分采用钢架结构,施工合同约定钢材由业主供料,其余材料均委托承包商采购。但承包商在以自有机械设备进行主体钢结构制作吊装过程中,由于业主供应钢材不及时导致承包商停工7天,则承包商计算施工机械窝工费时,应按( )向业主提出索赔。
A.机械台班费
B.机械台班折旧费
C.机械使用费
D.机械租赁费
65、下列关于索赔费用的计算方法正确的是( )。
A.总费用法是施工索赔时最常用的一种方法
B.总成本法是当发生多次索赔事件以后,重新计算该工程的实际总费用
C.修正的总费用法是当发生多次索赔事件以后,重新计算该工程的实际总费用
D.修正总费用法计算索赔款的时段是整个施工期
66、根据《标准施工招标文件》,施工过程中发现文物、古迹,则停工期间承包商可索赔( )。
A.工期,费用和利润
B.工期和费用,不能索赔利润
C.工期,不能索赔费用和利润
D.费用,不能索赔工期和利润
67、某混凝土工程,9月份计划工程量为5000m3,计划单价为400元/m3;而9月份实际完成工程量为4000m3,实际单价为410元/m3,则该工程9月份的进度偏差为( )万元。
A.-36
B.36
C.-40
D.40
68、下列建设工程进度控制措施中,属于合同措施的是( )。
A.建立进度协调会议制度
B.编制进度控制工作细则
C.对应急赶工给予优厚的赶工费
D.推行CM承发包模式
69、下列建设工程进度影响因素中,属于业主因素的是( )。
A.地下埋藏文物的保护、处理
B.合同签订时遗漏条款、表达失当
C.施工场地条件不能及时提供
D.特殊材料及新材料的不合理使用
70、建设工程施工组织方式中,平行施工方式具有的特点是( )。
A.各工作队实现了专业化施工
B.施工现场的组织管理比较复杂
C.没有充分利用工作面进行施工
D.单位时间内投入的资源量较为均衡
71、某工程划分为3个施工过程,4个施工段,组织加快的成倍节拍流水施工,各施工过程的流水节拍分别为6、4、4天,应组织( )个专业工作队。
A.3
B.4
C.6
D.7
72、某基础工程包括开挖、支模、浇筑混凝土及回填四个施工过程,分3个施工段组织流水施工,流水节拍见下表,则该基础工程的流水施工工期为( )天。

A.17
B.20
C.23
D.24
73、在双代号网络计划中,下列说法正确的是( )。
A.两端为关键节点的工作一定是关键工作
B.关键节点的最早时间与最迟时间有可能相等
C.关键工作两端的节点不一定是关键节点
D.由关键节点组成的线路一定是关键线路
74、在某工程双代号网络计划中,工作N的最早开始时间和最迟开始时间分别为第20天和第25天,其持续时间为9天。该工作有两项紧后工作,它们的最早开始时间分别为第32天和第34天,则工作N的总时差和自由时差分别为( )天。
A.3和0
B.3和2
C.5和0
D.5和3
75、某分部工程双代号网络计划如图所示,其关键线路有( )条。

A.2
B.3
C.4
D.5
76、某项目的施工网络计划(时间单位:月)如下图所示,其中工作A、E、J,共用一台施工机械且必须按顺序施工,则施工机械闲置的时间是( )个月。

A.4
B.9
C.5
D.13
77、工程网络计划资源优化的目的之一是为了寻求( )。
A.工程总成本最低条件下的资源均衡安排
B.资源均衡使用条件下的最短工期安排
C.资源使用最少条件下的合理工期安排
D.资源有限条件下的最短工期安排
78、在某工程网络计划中,已知工作M没有自由时差,但总时差为5天,监理工程师检查实际进度时发现该工作的持续时间延长了4天,说明此时工作M的实际进度( )。
A.既不影响总工期,也不影响其后续工作的正常进行
B.不影响总工期,但将其后续工作的最早开始时间推迟4天
C.将使总工期延长4天,但不影响其后续工作的正常进行
D.将其后续工作的开始时间推迟4天,并使总工期延长1天
79、某工程计划累计完成工程量的S曲线和每天实际完成的工程量如下图和表所示,则第4天下班时刻该工程累计拖欠的工程量为( )m3。

A.20
B.50
C.60
D.150
80、为减少或避免出现工程延期,项目监理机构应做好的工作之一是()。
A.定期组织召开施工技术专题会议
B.提醒业主履行施工承包合同中所规定的职责
C.定期核查施工单位材料进场情况
D.针对施工质量安全隐患及时发出监理通知单
81、在施工中,施工单位必须按照( ),对建筑材料、构配件、设备和商品混凝土进行检验。
A.工程设计要求
B.总承包单位的要求
C.合同约定
D.初步设计文件
E.施工技术标准
82、为了确保质量目标的实现,ISO质量管理体系明确规定的原则有( )。
A.以顾客为关注焦点
B.领导作用
C.全员参与
D.关系管理
E.稳定发展
83、预应力混凝土用螺纹钢筋,每批钢筋均应按规定进行化学成分、( )等项目的检验。
A.拉伸试验
B.松弛试验
C.疲劳试验
D.抗压试验
E.表面检查
84、建筑与人防专业建设项目,设计阶段一般分为( )。
A.方案设计
B.初步设计
C.施工图设计
D.技术设计
E.总体设计
85、施工图审查机构对施工图设计文件审查的内容有( )。
A.是否符合工程建设强制性标准
B.是否符合民用建筑节能强制标准
C.消防安全性
D.勘察设计企业和注册执业人员以及相关人员是否按规定在施工图上加盖相应的图章和签字
E.审查设计单位的资质
86、进口材料、构配件和设备,专业监理工程师应要求施工单位报送进口商检证明文件,并会同( )等相关单位进行联合检查验收。
A.建设单位
B.施工单位
C.质量监督机构
D.国家商检部门
E.供货单位
87、承包单位向项目监理机构报送的分包单位资格报审查表中应附有分包单位的()。
A.分包单位资质材料
B.分包单位业绩材料
C.营业执照和经营范围
D.资质和分包合同
E.项目经理职责和施工计划
88、旁站监理人员的主要职责包括( )。
A.做好旁站记录,保存旁站原始资料
B.检查施工机械、建筑材料准备情况
C.检查施工单位现场质检人员到岗、特殊工种人员持证上岗情况
D.现场监督关键部位、关键工序的施工执行施工方案情况
E.查验施工单位的施工测量定位放线情况
89、根据《建筑工程施工质量验收统一标准》,下列分项工程可划分为一个检验批的有()。
A.单层建筑的分项工程
B.工程量较少的分项工程
C.屋面工程的分项工程
D.地基与基础的分项工程
E.室外工程
90、质量控制资料的完整性是检验批质量合格的前提,这是因为它反映了检验批从原材料到验收的各施工工序的( )。
A.施工操作依据
B.保证工程质量所必需的管理制度
C.过程控制
D.检查情况
E.质量特性指标
91、地基与基础分部工程的验收,应由总监理工程师组织( )参与进行。
A.勘察单位项目负责人
B.设计单位项目负责人
C.施工单位技术、质量负责人
D.质量监督部门负责人
E.材料供应单位负责人
92、常见质量缺陷的成因,属于施工与管理不到位的是()
A.荷载取值过小,内力分析有误
B.将铰接做成刚接,将简支梁做成连续梁,导致结构破坏
C.图纸未经会审,仓促施工
D.技术交底不清,违章作业
E.施工方案考虑不周,施工顺序颠倒
93、对已发生的工程质量缺陷,项目监理机构应进行的处理程序包括( )。
A.发生工程质量缺陷,工程监理单位安排监理人员进行检查和记录,并签发监理通知单,责成施工单位进行修复处理
B.施工单位进行质量缺陷调查,分析质量缺陷产生的原因,并提出经设计等相关单位认可的处理方案
C.围绕原点对现场各种现象和特征进行分析
D.工程监理单位审查施工单位报送的质量缺陷处理方案,并签署意见
E.对处理记录整理归档
94、关于市场采购设备质量控制的说法,正确的有( )。
A.负责设备采购质量控制的监理人员应熟悉和掌握设计文件中设备的各项要求、技术说明和规范标准
B.应了解和把握总承包单位或设备安装单位负责设备采购人员的技术能力情况
C.总承包单位或安装单位负责采购的设备,采购前应向项目监理机构提交设备采购方案,按程序审查同意后方可实施
D.设备由建设单位直接采购的,由项目监理机构编制设备采购方案
E.设备采购方案最终应获得监理单位的批准
95、以下内容属于设备采购原则的有()
A.根据设计原则,对需采购的设备编制拟采购设备表
B.供货商的各种检验检测手段及实验室资质符合有关规定
C.所采购设备质量可靠,满足设计文件所确定的各项技术要求
D.所采购设备和配件价格合理,技术先进
E.维修和保养能得到充分保障
96、建设投资的组成包括( )。
A.设备及工器具购置费
B.建筑安装工程费
C.工程建设其他费用
D.建设期利息
E.无形资产
97、下列各项中属于建筑工程费的有( )。
A.建设工程涉及范围内的建筑物费用
B.建设工程涉及范围内的供水等各种管道的费用
C.建设工程涉及范围内的构筑物费用
D.建设工程涉及范围内的场地平整费用
E.建设工程涉及范围内的大型土石方工程费用
98、世界银行、国际咨询工程师联合会对项目的总建设成本规定中的应急费用包括( )。
A.明确项目的准备金
B.未明确项目的准备金
C.可预见准备金
D.不可预见准备金
E.建设成本上升费用
99、按照造价形成划分的建筑安装工程费用项目组成,建筑安装工程费用中的措施费包括( )。
A.建筑材料一般鉴定检查费
B.施工机械经常修理费
C.临时设施费
D.环境保护费
E.工程定位复测费
100、国产非标准设备原价的计算方法有( )。
A.成本计算估价法
B.系列设备插入估价法
C.定额估价法
D.生产费用估价法
E.分部组合估价法
101、下列建设项目财务评价指标中,属于动态分析指标的有( )。
A.内部收益率
B.净现值
C.总投资收益率
D.资本金净利润率
E.净现值率
102、单项工程综合概算中,设备及安装工程概算包括()。
A.通风工程概算
B.机械设备及安装工程概算
C.电气设备及安装工程概算
D.器具、工具及生产家具购置费概算
E.电气照明工程概算
103、根据《建设工程工程量清单计价规范》(GB50500--2013)的规定,下列选项属于综合单价内容的是()
A.人工费
B.材料费
C.税金
D.企业管理费与利润
E.施工机具使用费
104、在施工阶段监理工程师编制资金使用计划的主要形式有( )。
A.按子项目分解编制的资金使用计划
B.按业主要求编制的资金使用计划
C.按时间进度分解编制的资金使用计划
D.按资金到位情况编制的资金使用计划
E.按投资构成分解编制的资金使用计划
105、一般可按照凭据法进行计量的有( )。
A.建筑工程险保险费
B.保养测量设备的费用
C.保养气象记录设备的费用
D.维护工地清洁和整洁
E.第三方责任险保险费
106、由于承包人的原因造成工期延误,发包人进行反索赔,在确定违约金费率时,一般应考虑( )因素。
A.发包人盈利损失
B.由于工期延长造成的贷款利息增加
C.由于工期延长带来的附加监理费
D.由于工期延长增加的保险费开支
E.由于工程拖期不能使用,继续租用原建筑物或租用其他建筑物的租赁费
107、关于预付款的说法中,正确的有( )。
A.预付款是施工准备和所需要材料、结构件等流动资金的主要来源
B.发包人在签发预付款支付证书后的14d内向承包人支付预付款
C.发包人拨付给承包人的工程预付款属于预支的性质
D.对重大工程项目,按年度工程计划逐年预付
E.发包人应在预付款扣完后的7d内将预付款保函退还给承包人
108、控制工程建设进度中,在施工阶段进度控制的任务包括( )。
A.编制施工总进度计划,并控制其执行
B.编制详细的出图计划,并控制其执行
C.编制工程项目总进度计划
D.施工现场条件的调查和分析
E.编制单位工程施工进度计划,并控制其执行
109、在项目实施阶段,项目总进度包括()。
A.设计前准备阶段的工作进度
B.设计工作进度
C.投标工作进度
D.施工前准备工作进度
E.工程施工和设备安装进度
110、年度竣工投产交付使用计划表将阐明各单位工程的( )等建筑总规模及本年计划完成情况,并阐明其竣工日期。
A.建筑面积
B.建设条件
C.投资额
D.新增生产能力
E.新增固定资产
111、以下属于流水施工作业中工艺参数的有( )。
A.施工过程
B.工作面
C.流水节拍
D.流水强度
E.施工段
112、下列选项中,反映建设工程非节奏流水施工时特点的有()。
A.各专业工作队不能在施工段上连续作业
B.各施工过程在各施工段的流水节拍不全相等
C.相邻专业工作队的流水步距不尽相等
D.专业工作队数小于施工过程数
E.有些施工段之间可能有空闲时间
113、根据下表给定的工作间逻辑关系绘成的双代号网络图如图所示,其中的错误有( )。

A.节点编号有误
B.有循环回路
C.有多个起点节点
D.有多个终点节点
E.不符合给定的逻辑关系
114、某工程双代号网络计划如下图所示,图中已标出每项工作的最早开始时间和最迟开始时间,该计划表明( )。

A.工作1-3的自由时差为2
B.工作2-5为关键工作
C.工作2-4的自由时差为1
D.工作3-6的总时差为零
E.工作4-7为关键工作
115、某工程单代号网络计划如下图所示,节点中下方数字为该工作的持续时间,其中的关键工作有
( )。

A.工作A
B.工作B
C.工作C
D.工作D
E.工作E
116、某工程项目时标网络图如下图所示,则( )。

A.工作I的最早开始时间为第10天
B.工作D的总时差为3d
C.工作C的自由时差为2d
D.工作C的最迟开始时间为第2天
E.工作D的最迟完成时间为第12天
117、当需要缩短关键工作的持续时间时,其缩短值的确定必须符合( )。
A.缩短后工作的持续时间不能小于其最短持续时间
B.缩短持续时间的工作可变为非关键工作
C.缩短后持续时间应等于最短持续时间
D.缩短持续时间的工作不可变为非关键工作
E.可随意确定
118、某钢筋绑扎工程计划进度与实际进度如下图所示,该图表明本工程( )。

A.第1周内实际进度拖后3%
B.第3周内未实施
C.至第4周末实际进度超前5%
D.至第5周末实际进度拖后8%
E.第3周内计划完成8%
119、工程项目施工阶段进度控制工作细则的主要内容包括( )。
A.施工进度控制目标分解图
B.工程进度款支付时间与方式
C.进度控制人员的职责分工
D.施工机械进出场安排
E.进度控制目标实现的风险分析
120、在建设工程施工阶段,当通过压缩网络计划中关键工作的持续时间来缩短工期时,通常采取的经济措施有( )。
A.实行包干奖励
B.增加劳动力和施工机械的数量
C.提高奖金数额
D.改善劳动条件
E.对所采取的技术措施给予相应的经济补偿