2021年土建职称《专业实务》模拟卷(一)(建筑)
搜题
1、(判断题)本工程若设有女儿墙,依据《砌体结构设计规范》(GB50003--20)和《建筑抗震设计规范》(GB500—20),女儿墙可以不设构造柱。()
本题答案:
A
A
2、(判断题)本工程首层⑦轴墙体的构件高度,可取楼板顶面到基础顶面的距离。()
本题答案:
A
A
3、(单选题)依据《建筑工程抗震设防分类标准》(GB5022--2008),本工程住宅按抗震设防类别划分属于()。
本题答案:
C
C
4、(单选题)依据《建筑结构荷载规范》(GB50009--2012),本工程结构设计时,客厅的楼面活荷载标准值宜取()kN/㎡。
本题答案:
B
B
5、(单选题)依据《建筑抗震设计规范》(GB0011—2011),本工程进行结构抗震计算时,优先选用()。
本题答案:
D
D
6、(单选题)依据《砌体结构设计规范》(GB50003--2011),本工程的静力计算方案为()。
本题答案:
A
A
7、(单选题)依据《砌体结构设计规范》(GB50003),本工程在进行受压构件承载力验算时(公式:N≤φfa),f的取值为()
本题答案:
D
D
8、(单选题)墙进行矩形截面墙、柱高厚比验算时,公式β=H0/h截面墙、柱〔β〕中,H0代表()
本题答案:
A
A
9、(多选题)依据《砌体结构设计规范》(GB50003),本工程必须设置构造柱的位置有()
本题答案:
A,D
A,D
10、(多选题)依据《砌体结构设计规范》(GB50003),在进行过梁计算时,有关过梁荷载的取值,说法正确的有()
本题答案:
C,D
C,D
11、(判断题)本工程在砖墙砌筑时气温为33℃,采用铺浆法砌筑砌体,铺浆长度不得超过1000mm。()
本题答案:
A
A
12、(判断题)卷材防水层的基层与突出层面结构的交接处,以及基层转角处,找平层应做成圆弧形,且应整齐平顺。()
本题答案:
B
B
13、(单选题)下列关于砖墙排列砌筑对上下竖向通缝的要求,不符合验收规范的是()
本题答案:
C
C
14、(单选题)砌砖操作通用的“三一”砌法的含义不包括()
本题答案:
D
D
15、(单选题)240mm厚承重墙的每层墙的最上一皮砖,应整砖()砌
本题答案:
B
B
16、(单选题)屋面防水工程采用水泥砂浆找平层,其分格缝的纵横间距不宜大于()m
本题答案:
A
A
17、(单选题)下列关于防水层施工前对基层的要求,不妥当的是()
本题答案:
D
D
18、(单选题)下列对于平屋面卷材铺贴方向的描述中,正确的是()
本题答案:
A
A
19、(多选题)下列对砖砌体和钢筋砼构造柱组合墙中的构造柱施工要求正确的有()
本题答案:
A,D
A,D
20、(多选题)本工程屋面采用合成高分子防水卷材,根据该类卷材的特性可以选用的铺贴方法包括()
本题答案:
A,B,D
A,B,D
21、(判断题)人工挖孔桩属于成桩质量可靠性高的端承桩。()
本题答案:
B
B
22、(判断题)本工程人工挖孔桩施工前须做专项施工方案,但无须进行专家论证。()
本题答案:
A
A
23、(判断题)本工程人工挖孔桩的钢筋笼采用分节制作,则接长宜采用焊接连接。()
本题答案:
B
B
24、(单选题)本工程人工挖孔桩成孔的垂直度偏差,不超过()mm。
本题答案:
A
A
25、(单选题)桩孔开挖深度超过()时,应配置专门向井下送风的设备。
本题答案:
D
D
26、(单选题)本工程人工挖孔桩正确处理方法应为()。
27、(多选题)钢筋混凝土灌注桩按其施工方法不同,可分为()。
28、(多选题)本工程人工挖孔桩成孔的施工内容,包括()等。
29、(多选题)本工程人工挖孔桩的桩身质量检验,可采用()等方法。
30、人工挖孔桩施工安全控制要点,说法正确的是()
31、【背景资料】某钢筋砼单层工业厂房结构如图所示,根据所学知识回答以下问题:

【问题】
1)根据单层工业厂房结构的组成,指出图中编号1~10各组成构件的名称。
2)牛脚是工业厂房结构重要的受力构件,简述牛脚主要承受的荷载,并判定下图中牛脚箍筋的布置方式哪个正确。


3)简述单层工业厂房结构屋盖的类型及特点。本题中厂房屋盖属于哪种类型?
4)简述该厂房屋面积雪荷载的传递路径(注:最后传至地基)。
5)简述什么是砼保护层,钢筋砼构件中砼保护层厚度与哪些因素有关。

【问题】
1)根据单层工业厂房结构的组成,指出图中编号1~10各组成构件的名称。
2)牛脚是工业厂房结构重要的受力构件,简述牛脚主要承受的荷载,并判定下图中牛脚箍筋的布置方式哪个正确。


3)简述单层工业厂房结构屋盖的类型及特点。本题中厂房屋盖属于哪种类型?
4)简述该厂房屋面积雪荷载的传递路径(注:最后传至地基)。
5)简述什么是砼保护层,钢筋砼构件中砼保护层厚度与哪些因素有关。
32、【背景资料】某钢筋混凝土独立基础,底面尺寸为b=4m,ι=3m,埋置深度1.5m。上部结构传至基础顶处的标准组合值为:竖向力FK=1200kN,弯矩MK=600kN·m,剪力VK=100kN。设基础宽度修正系数和深度修正系数分别为ηb=0,ηd=1.0,基础及地质剖面如下图所示:

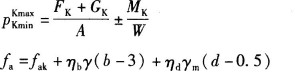
部分参考公式如下:


【问题】
1)求修正后的基底地基承载力特征值。(5分)
2)验算基底平均压力。(5分)
3)验算基底最大压力。(5分)
4)验算软弱下卧层(地基压力扩散角为0=23。)。(5分)

部分参考公式如下:


【问题】
1)求修正后的基底地基承载力特征值。(5分)
2)验算基底平均压力。(5分)
3)验算基底最大压力。(5分)
4)验算软弱下卧层(地基压力扩散角为0=23。)。(5分)
33、【背景资料】某实施监理的工程位于江南地区,甲施工单位选择乙施工单位分包基坑施工,该工程有两层地下室(层高4.5m),施工过程中发生如下事件:
事件1:乙施工单位开挖土立方时遭遇梅雨季节,导致现场停工1个月。继续施工后,乙施工单位挖断了一处建设单位提供的地下管线(图中未标明),导致现场停工7天。为此甲施工单位通过项目监理机构向建设单位提出索赔费2万元(合同约定,窝工综合补偿2000元/天)。
事件2:施工前,甲施工单位依据以往施工经验编制了土方开挖及基坑支护方案,经项目经理签字后上报总监理工程师审批。为追赶工期,未等监理单位审批完就开始打设护壁桩,安全生产管理人员由项目总工程师兼任。
事件3:监理工程师在现场发现护壁桩桩顶位移超限,立即向甲施工单位签订工程暂停令,同时报告总监理工程师及有关主管。为赶工期,乙施工单位未执行指令仍继续施工引发了基坑局部坍塌,造成2人死亡,直接经济损失300万元。
事件4:甲施工单位依据地勘资料(地下水位在地面以下2.5m处,室外地坪以下11m内分别为杂填土、粉质黏土)采用单级轻型井点降水降低地下水位。
【问题】
1)事件1中挖断地下管线事故的责任方是哪一方?说明理由。项目监理机构批准的工程延期和费用补偿各多少?说明理由。(8分)
2)事件2中甲施工单位的做法有哪些不妥?写出正确的做法。(9分)
3)事件2中安全事故等级为几级?甲、乙施工单位对基坑局部坍塌事故应承担何种责任?说明理由。基坑监测的内容有哪些?(5分)
4)事件4中甲施工单位采用的施工方法是否妥当?说明理由。(3分)
事件1:乙施工单位开挖土立方时遭遇梅雨季节,导致现场停工1个月。继续施工后,乙施工单位挖断了一处建设单位提供的地下管线(图中未标明),导致现场停工7天。为此甲施工单位通过项目监理机构向建设单位提出索赔费2万元(合同约定,窝工综合补偿2000元/天)。
事件2:施工前,甲施工单位依据以往施工经验编制了土方开挖及基坑支护方案,经项目经理签字后上报总监理工程师审批。为追赶工期,未等监理单位审批完就开始打设护壁桩,安全生产管理人员由项目总工程师兼任。
事件3:监理工程师在现场发现护壁桩桩顶位移超限,立即向甲施工单位签订工程暂停令,同时报告总监理工程师及有关主管。为赶工期,乙施工单位未执行指令仍继续施工引发了基坑局部坍塌,造成2人死亡,直接经济损失300万元。
事件4:甲施工单位依据地勘资料(地下水位在地面以下2.5m处,室外地坪以下11m内分别为杂填土、粉质黏土)采用单级轻型井点降水降低地下水位。
【问题】
1)事件1中挖断地下管线事故的责任方是哪一方?说明理由。项目监理机构批准的工程延期和费用补偿各多少?说明理由。(8分)
2)事件2中甲施工单位的做法有哪些不妥?写出正确的做法。(9分)
3)事件2中安全事故等级为几级?甲、乙施工单位对基坑局部坍塌事故应承担何种责任?说明理由。基坑监测的内容有哪些?(5分)
4)事件4中甲施工单位采用的施工方法是否妥当?说明理由。(3分)