1、下列工程建设阶段,决定工程质量关键环节的是()阶段。
A.项目可行性研究
B.项目决策
C.工程设计
D.工程竣工验收
本题答案:
C
2、建筑工程施工质量控制波动大的原因是()。
A.有规范化的生产工艺
B.有成套的生产设备
C.有固定的生产流水线
D.建筑生产的单件性
本题答案:
D
3、关于施工图设计文件审查的说法,正确的是()。
A.审查机构对勘察成果、施工图设计文件的审查,并不改变勘察、设计单位的质量责任
B.审查机构应由设计单位选择
C.审查不合格的,审查机构应当将施工图退还设计单位
D.施工单位应当将施工图送审查机构审查
本题答案:
A
4、下列工程质量监督机构的主要任务中,属于对建设参与各方主体质量行为监督的是()。
A.监督检查建设工程主体结构的施工质量
B.监督检查用于工程的主要建筑材料的质量
C.监督工程竣工验收的组织形式及验收程序是否符合有关规定
D.检查质量管理体系和质量责任制的落实情况
本题答案:
D
5、根据《建设工程质量管理条例》规定,属于建设单位质量责任的是()。
A.保证设计文件符合工程建设强制性标准
B.向施工企业提供准确的地下管线资料
C.在领取施工许可证后,按照国家有关规定办理工程质量监督手续
D.委托施工企业办理工程施工许可证
本题答案:
B
6、关于质量管理原则的说法,错误的是()。
A.以产品为关注焦点
B.持续改进
C.与供方互利
D.管理的系统方法
本题答案:
A
7、指导监理工作开展的技术性文件是()。
A.质量手册
B.质量方针
C.作业文件
D.程序文件
本题答案:
C
8、对已同意覆盖的工程隐蔽部位质量有疑问的,项目监理机构应()。
A.要求施工单位报送经设计单位认可的处理方案
B.要求施工单位组织专题论证
C.对隐蔽工程进行跟踪检查
D.要求施工单位对该隐蔽部位进行钻孔探测或揭开进行重新检验
本题答案:
D
9、卓越绩效标准作为质量管理奖的评审标准,强调()。
A.关键顾客的偏好
B.“大质量”观
C.标准化
D.过程创新
本题答案:
B
10、下列样本数据特征值中,描述数据离散趋势的是()。
A.算术平均数
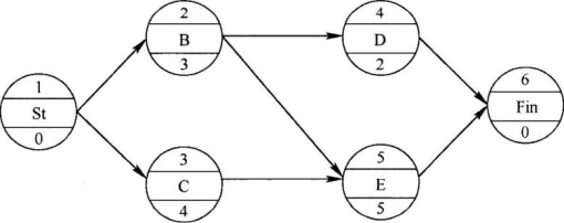
B.变异系数
C.众数
D.中位数
本题答案:
B
11、从批量为N的交验产品中随机抽取n件进行检验,并且预先规定一个合格判定数C。如果发现n中有d件不合格品,判定该批产品合格的条件是()。
A.C>10
B.d>C
C.0
D.d≤C
本题答案:
D
12、在质量控制过程中,运用排列图法可以()。
A.掌握质量特性分布规律
B.划分调查分析的类别和层次
C.分析造成质量问题的薄弱环节
D.评价生产过程能力
本题答案:
C
13、关于下列直方图的分布位置与质量控制标准的上下限范围的比较分析,下列说法正确的是()。

A.说明加工过于精细,不经济
B.说明生产过程处于正常的稳定状态
C.说明生产过程能力不足
D.说明已出现不合格品
本题答案:
A
14、对设计等级为甲级,或地质条件复杂、成桩可靠性低的灌注桩,进行低应变动检测,抽检数量不得少于()根。
A.5
B.10
C.15
D.20
本题答案:
D
15、下列文件,不能作为项目监理机构施工质量控制依据的是()。
A.部门规章与规范性文件
B.会议纪要
C.工程合同文件
D.技术规程
本题答案:
B
16、工程施工过程中,对已进场但检验不合格的工程材料,项目监理机构应要求施工单位()
A.停工整改并封存不合格材料
B.征求设计单位对不合格材料的使用意见
C.限期将不合格材料撤出施工现场
D.征求检测机构对不合格材料的使用意见
本题答案:
C
17、用于工程的进口设备进场后,应由()组织相关单位进行联合检查验收。
A.建设单位
B.项目监理机构
C.施工单位
D.设备供应单位
本题答案:
B
18、根据《建设工程监理规范》GB/T50319—2013,总监理工程师应签发工程暂停令的情形是()。
A.施工存在质量事故隐患
B.施工单位未按施工方案施工
C.施工单位未按审查通过的工程设计文件施工
D.施工不当造成工程质量缺陷
本题答案:
C
19、采购设备时,根据设计文件要求编制的设备采购方案应由()批准后方可实施。
A.施工单位
B.设计单位
C.项目监理机构
D.建设单位
本题答案:
D
20、项目监理机构对特别重要设备的制造过程质量控制可采取()方式。
A.驻厂监造
B.定点监造
C.巡回监造
D.目标监造
本题答案:
A
21、根据《建筑工程施工质量验收统一标准》GB50300—2013,分项工程应按()划分。
A.工程量、施工程序
B.主要工种、施工工艺
C.工程部位、施工特点
D.专业性质、楼层
本题答案:
B
22、根据《建筑工程施工质量验收统一标准》GB50300—2013,符合专业验收规范规定适当调整试验数量的实施方案,需报()审核确认。
A.建设单位
B.施工单位
C.项目监理机构
D.设计单位
本题答案:
C
23、根据《建筑工程施工质量验收统一标准》GB50300—2013,对于采用计数抽样的检验批一般项目的验收,合格点率应符合()的规定。
A.质量验收统一标准
B.工程技术规程
C.建设工程监理规范
D.专业验收规范
本题答案:
D
24、根据《建筑工程施工质量验收统一标准》GB50300—2013,电梯工程质量验收应由()组织。
A.安装单位技术负责人
B.总监理工程师
C.施工单位项目负责人
D.专业监理工程师
本题答案:
B
25、根据《建设工程监理规范》GB/T50319—2013,单位工程完工后,工程竣工预验收应由()组织相关人员进行。
A.总监理工程师
B.建设单位项目负责人
C.总监理工程师代表
D.施工单位项目负责人
本题答案:
A
26、下列可能导致工程质量缺陷的因素中,属于违背基本建设程序的是()
A.未按有关施工规范施工
B.计算简图与实际受力情况不符
C.图纸技术交底不清
D.不经竣工验收就交付使用
27、工程施工质量验收时,经加固处理的分部工程施工技术处理方案要求予以验收的前提是()
A.不影响安全和使用功能
B.不造成永久性影响
C.不改变结构外形尺寸
D.不影响基本使用功能
28、某工程施工过程中发生质量事故造成5人死亡、直接经济损失5000万元,该事故属于()事故。
A.一般
B.较大
C.重大
D.特别重大
29、关于项目监理机构处理工程质量事故的说法,正确的是()
A.签发监理通知单,要求施工单位及时处理
B.签发工程暂停令,暂停与其关联部位的施工
C.签发监理报告,向政府主管部门报告
D.签发工作联系单,要求施工单位及时处理
30、为确保涉及结构使用安全质量事故的处理效果,需由项目监理机构组织进行的工作是()
A.检验鉴定
B.定期观测
C.专家论证
D.定期评估
31、工程监理单位勘察质量管理的主要工作包括()。
A.起草勘察合同
B.编制工程勘察任务书
C.深化设计的协调管理
D.审查勘察方案
32、建设工程项目投资是指()。
A.建筑安装工程费、设备及工器具购置费、工程建设其他费用之和
B.直接用于工程建造、设备购置及其安装的建设投资
C.进行某项工程建设花费的全部费用
D.生产性设备及配套工程安装所需的全部费用
33、关于项目监理机构在施工阶段投资控制措施的说法,正确的是()。
A.实际支出值与计划目标值的比较属于技术措施
B.编制本阶段投资控制工作计划属于组织措施
C.审核承包人编制的施工组织设计属于组织措施
D.做好工程施工记录属于技术措施
34、根据世界银行对建设工程投资的规定,下列费用应计入项目间接建设成本的是()。
A.场地费用
B.仪器仪表费
C.不可预见准备金
D.开工试车费
35、根据现行建筑安装工程费用项目组成的规定,工程施工中所使用的仪器仪表维修费应计入()。
A.工具用具使用费
B.施工机具使用费
C.工程设备费
D.固定资产使用费
36、某建筑施工材料采购原价为150元/t,运杂费为30元/t,运输损耗率为0.5%,采购保管费率为2%,则该材料的单价为()元/t。
A.184.52
B.183.75
C.153.77
D.123.01
37、已知某进口设备到岸价为1000万元,银行财务费、外贸手续费合计为35万元。关税、消费税和增值税税率分别为22%、10%、17%,则该进口设备抵岸价为()万元。
A.1592.40
B.1597.96
C.1621.01
D.1641.51
38、下列费用项目中,应列入与未来企业生产经营有关的其他费用的是()。
A.生产职工培训费
B.工程招标费
C.城市建设配套费
D.环境影响评价费
39、某项借款,年名义利率为10%,按季度计息,则每季度的实际利率为()。
A.5%
B.2.5%
C.0.833%
D.0.0274%
40、某公司计划在5年内每年年末投资300万元。年利率为6%,按复利计息,则第5年末可一次性回收的本利和为()万元。
A.1556.41
B.1253.22
C.1691.13
D.1595.40
41、下列投资方案经济效果评价指标中,属于静态评价指标的是()。
A.资本金净利润率
B.净现值率
C.内部收益率
D.净年值
42、已知某技术方案的净现金流量(见下表)。若ic=10%,则该技术方案的净现值为()万元。

A.1399.56
B.1426.83
C.1034.27
D.1095.25
43、应用价值工程进行功能评价时,如果评价对象的价值指数V1>1,则说明()。
A.功能现实成本与实现功能所必需的最低成本大致相当
B.现实成本偏低,也可能存在过剩功能
C.评价对象的功能水平应提高
D.功能现实成本大于功能评价值
44、下列单项工程综合概算中,属于单位建筑工程概算的是()。
A.机械设备及安装工程概算
B.工具、器具购置费概算
C.电气照明工程概算
D.生产家具购置费概算
45、编制设备安装工程概算时,当初步设计的设备清单不完备,或仅有成套设备的重量时,适宜采用的概算编制方法是()。
A.概算定额法
B.扩大单价法
C.类似工程预算法
D.概算指标法
46、根据《建设工程工程量清单计价规范》GB50500—2013编制的工程量清单中,某分部分项工程的项目编码为010505001015,则“001”的含义是()。
A.分项工程项目名称顺序码
B.清单项目名称顺序码
C.分部工程顺序码
D.专业工程顺序码
47、根据《建设工程工程量清单计价规范》GB50500—2013,关于招标控制价的编制要求,下列说法正确的是()。
A.招标控制价应由招标投标管理部门编制
B.招标文件提供了暂估单价材料的,按暂估的单价计入综合单价
C.暂估价中专业工程金额应按招标工程量清单列出的单价计入综合单价
D.招标控制价可以在公布后上浮或下调
48、投标人投标报价时应依据()确定清单项目的综合单价。
A.设计规范
B.招标文件中的施工图纸说明
C.预算定额
D.招标工程量清单项目的特征描述
49、下列工程项目中,宜采用成本加酬金合同的是()。
A.工作任务和范围明确的工程项目
B.工程结构和技术简单的工程项目
C.抢救、抢险工程
D.工程量一时不能明确、具体地予以规定的工程
50、采用估算工程量单价合同结算工程价款的主要依据是()。
A.工程标底计算所依据的工程量
B.实际完成的工程量
C.投标报价中填报的工程量
D.工程量清单中的工程量
51、绘制时间—投资累计曲线,计算单位时间投资后紧接着应进行的工作是()。
A.确定工程项目进度计划
B.计算计划累计完成的投资额
C.绘制S形曲线
D.编制进度计划的横道图
52、根据《建设工程工程量清单计价规范》GB50500—2013,关于工程计量的说法,正确的是()。
A.发包人在没有通知承包人的情况下到现场计量,计量结果也是有效的
B.发包人没有在预定的时间去现场计量,而是在方便的时候进行计量
C.单价合同的工程量必须以承包人完成合同工程应予计量的工程量确定
D.总价合同的工程量必须以原始的施工图纸为依据计量
53、根据《建设工程工程量清单计价规范》GB50500—2013,工程发包时,招标人应当依据相关工程的工期定额合理计算工期。压缩工期天数超过定额工期()时,应当在招标文件中明示增加赶工费用。
A.5%
B.10%
C.15%
D.20%
54、某工程在施工过程中,因不可抗力造成损失,承包人及时向项目监理机构提出了索赔申请,并附有相关证明材料,要求补偿的经济损失如下:①在建工程损失30万元;②承包人的施工机械设备损坏损失5万元;③承包人受伤人员医药费和补偿金4.5万元;④工程清理修复费用2万元。根据《建设工程施工合同(示范文本)》GF—2017—0201,项目监理机构应当批准的补偿金额为()万元。
A.32.0
B.36.5
C.37.0
D.41.5
55、某工程施工至2018年3月底,经统计分析:已完工作预算投资580万元,已完工作实际投资570万元,计划工作预算投资600万元,该工程此时的进度偏差为()万元。
A.-30
B.-20
C.-10
D.10
56、某工程施工至2017年12月底,经统计分析:已完工作预算投资480万元,已完工作实际投资510万元,计划工作预算投资450万元,该工程此时的投资绩效指数为()
A.0.88
B.0.94
C.1.06
D.1.07
57、为确保建设工程进度控制目标的实现,项目监理机构可采取的技术措施是()
A.建立工程进度信息沟通网络
B.审查承包商提交的进度计划
C.及时办理工程进度款支付手续
D.建立实际进度检查分析制度
58、按照建设项目总进度目标论证的工作步骤,项目结构分析后紧接着需要进行的工作是()
A.调查研究和收集资料
B.项目的工作编码
C.编制各层进度计划
D.进度计划系统的结构分析
59、在建设单位的计划系统中,根据初步设计中确定的建设工期和工艺流程,具体安排单位工程的开工日期和竣工日期的计划是()。
A.工程项目进度平衡表
B.工程项目总进度计划
C.工程项目年度计划
D.工程项目前期工作计划
60、利用横道图表示建设工程进度计划的缺点是()。
A.不能反映各项工作的持续时间
B.不能反映建设工程所需资源量
C.不能反映工作的机动时间
D.不能反映工作之间的相互搭接关系
61、组织流水施工时,相邻两个施工过程(或专业工作队)相继开始施工的最小间隔时间称为()。
A.施工段
B.流水步距
C.流水强度
D.流水节拍
62、建设工程组织流水施工时,固定节拍流水施工和加快的成本节拍流水施工共同的特点是()。
A.相邻专业工作队之间的流水步距相等,且施工段之间没有空闲时间
B.相邻专业工作队之间的流水步距相等,且等于流水节拍
C.专业工作队数等于施工过程数
D.所有施工过程在各个施工段上的流水节拍均相等
63、某分部工程有3个施工过程,各分为4个流水节拍相等的施工段,各施工过程的流水节拍分别为8天、6天、4天。如果组织加快的成倍节拍流水施工,则专业工作队数和流水施工工期分别为()。
A.6个,22天
B.7个,24天
C.8个,22天
D.9个,24天
64、双代号网络图中,虚工作主要用来表示()。
A.相邻两项工作之间的时间间隔
B.相邻两项工作之间的逻辑关系
C.相邻两项工作之间的自由时差
D.相邻两项工作之间的组织关系
65、某工程双代号网络计划如下图所示(单位:d),则工作F的自由时差为()d。

A.0
B.1
C.2
D.3
66、关于关键工作的说法,正确的是()。
A.总时差为零的工作为关键工作
B.自由时差最小的工作为关键工作
C.最迟完成时间与最早完成时间的差值最小的工作为关键工作
D.工作持续时间最长的工作为关键工作
67、某双代号网络计划中,工作M有两项紧后工作O和P,工作O、P的持续时间分别为13d、8d,工作O、P的最迟完成时间分别为第20天、第12天,则工作M的最迟完成的时间是第()天。
A.6
B.4
C.8
D.7
68、单代号网络计划中,相邻两项工作之间的时间间隔等于()。
A.紧后工作的最迟完成时间和本工作的最早完成时间之差
B.紧后工作的最早完成时间和本工作的最早开始时间之差
C.紧后工作的最早开始时间与本工作的最早开始时间的差值
D.紧后工作的最早开始时间与本工作的最早完成时间的差值
69、某单代号网络计划如下图所示(时间单位:月),其计算工期是()个月。

A.5
B.6
C.8
D.9
70、某双代号时标网络计划中,工作的总时差等于()。
A.紧后工作的总时差加本工作与该紧后工作之间的时间间隔所得之和的最小值
B.本工作的最早完成时间与紧后工作之间的时间间隔之和的最大值
C.本工作与其紧后工作之间时间间隔的最小值
D.计划工期与本工作最迟完成时间之差
71、网络计划工期成本优化的基础是()。
A.保证工程总成本最低
B.分析直接费用率最小的关键工作的逻辑关系
C.分析网络计划中各项工作的直接费与持续时间之间的关系
D.按照各项工作的最早开始时间安排进度计划
72、下列工作中,属于建设工程进度监测系统过程中工作内容的是()
A.分析进度偏差产生的原因
B.实际进度数据的加工处理
C.确定后续工作和总工期的限制条件
D.分析进度偏差对后续工作的影响
73、某分项工程月计划工程量累计曲线(单位:万m3)如下图所示,该工程1~4月份实际工程量分别为6万m3、7万m3、8万m3和15万m3,则通过比较获得的正确结论是()

A.第1月实际工程量比计划工程量超额2万m3
B.第2月实际工程量比计划工程量超额2万m3
C.第3月实际工程量比计划工程量拖欠2万m3
D.4月底累计实际工程量比计划工程量拖欠2万m3
74、当实际进度偏差影响总工期时,通过改变某些工作的逻辑关系来调整进度计划的具体做法是()
A.将顺序进行的工作改为搭接进行
B.增加劳动量来缩短某些工作的持续时间
C.提高某些工作的劳动效率
D.组织有节奏的流水施工
75、项目监理机构控制设计进度时,在设计工作开始之前应审查设计单位编制的()
A.进度计划的合理性和可行性
B.技术经济定额的合理性和可行性
C.设计准备工作计划的完整性
D.材料设备供应计划的合理性
76、施工进度控制工作细则是对()中有关进度控制内容的进一步深化和补充。
A.施工总进度计划
B.单位工程施工进度计划
C.建设工程监理规划
D.建设工程监理大纲
77、项目监理机构应对承包单位申报的已完分项工程量进行核实,在()后签发工程进度款支付凭证。
A.与建设单位代表协商
B.监理员现场计量
C.质量监理人员检查验收
D.与承包单位协商
78、施工进度计划执行过程中,只有当某项工作因非承包商原因造成持续时间延长超过该工作()而影响工期时,项目监理机构才能批准工程延期。
A.自由时差
B.总时差
C.紧后工作的最早开始时间
D.紧后工作的最早完成时间
79、承包单位严重违反合同,在施工过程中无任何理由要求延长工期,又无视项目监理机构的书面警告等,则可能受到的处罚是()
A.赔偿误期损失
B.被拒签付款凭证
C.被取消承包资格
D.被追回工程预付款
80、项目监理机构控制物资供应进度工作中,属于协助业主进行物资供应决策的工作内容是()
A.组织编制物资供应招标文件
B.受理物资供应单位的投标文件
C.组织编制物资供应计划
D.提出物资供应分包合同清单
81、政府建设主管部门建立的工程质量管理制度有()
A.施工图设计文件审查制度
B.工程施工许可制度
C.工程质量保修制度
D.工程质量监督制度
E.工程质量评定制度
82、根据《建设工程质量管理条例》,在正常使用条件下,关于建设工程最低保修期限的说法,正确的有()
A.地基基础工程为设计文件规定的合理使用年限
B.屋面防水工程为设计文件规定的合理使用年限
C.供热与供冷系统为2个采暖期、供冷期
D.有防水要求的卫生间为5年
E.电气管线和设备安装工程为2年
83、工程监理企业质量管理体系管理评审的目的有()
A.对现行质量目标的环境适应性作出评价
B.发现质量管理体系持续改进的机会
C.对现行质量管理体系能否适应质量方针作出评价
D.修改质量管理体系文件使其更加完整有效
E.对现行质量管理体系的环境适应性作出评价
84、下列钢筋力学性能指标中,属于拉伸试验检验指标的有()
A.屈服强度
B.伸长率
C.抗拉强度
D.可焊性能
E.弯曲性能
85、工程质量统计分析中,应用控制图分析判断生产过程是否处于稳定状态,可判断生产过程为异常的情形有()
A.点子几乎全部落在控制界线内
B.中心线一侧出现7点链
C.中心线两侧有5点连续上升
D.点子排列显示周期性变化
E.连续11点中有10点在同侧
86、项目监理机构对进场工程原材料外观质量进行检查的主要内容有()
A.外观尺寸
B.规格
C.型号
D.产品标志
E.工艺性能
87、根据《建设工程监理规范》GB/T50319—2013,项目监理机构针对工程施工质量进行巡视的内容有()。
A.按设计文件、工程建设标准施工的情况
B.工程施工质量专题会议召开情况
C.使用工程材料、构配件的合格情况
D.特种作业人员持证上岗情况
E.施工现场管理人员到位情况
88、项目监理机构对关键部位的施工质量进行旁站时,主要职责有()
A.检查施工单位现场质检人员到岗情况
B.现场监督关键部位的施工方案执行情况
C.现场监督关键部位的工程建设强制性标准执行情况
D.现场监督施工单位技术交底
E.核查进场材料采购管理制度
89、关于工程材料见证取样的说法,正确的有()
A.检测试验室应具有相应资质
B.见证取样人员应经培训考核合格
C.项目监理机构应将见证人员报送质量监督机构备案
D.项目监理机构应按规定制定检测试验计划
E.实施取样前施工单位应通知见证人员现场见证
90、对于施工单位提交的设备采购方案,项目监理机构审查的内容有()
A.采购的基本原则
B.依据的设计图纸
C.采购合同条款
D.依据的质量标准
E.检查和验收程序
91、根据《建筑工程施工质量验收统一标准》GB50300—2013,当分部工程较大时,可按()将分部工程划分为若干子分部工程。
A.专业性质
B.施工工艺
C.施工程序
D.材料种类
E.施工特点
92、根据《建筑工程施工质量验收统一标准》GB50300—2013,参加主体结构工程质量验收的人员有()
A.施工单位项目负责人
B.勘察单位项目负责人
C.总监理工程师
D.设计单位项目负责人
E.施工单位技术负责人
93、根据《建筑工程施工质量验收统一标准》GB50300—2013,分项工程质量验收合格的条件有()
A.主控项目的质量均应检验合格
B.一般项目的质量均应检验合格
C.所含检验批的质量应验收合格
D.所含检验批的质量验收记录应完整
E.观感质量应符合相应要求
94、工程施工过程中,处理质量事故的依据有()
A.相关法律法规
B.有关合同文件
C.质量事故实况资料
D.有关工程定额
E.有关工程设计文件
95、工程施工过程中,质量事故处理方案的辅助决策方法有()
A.试验验证
B.定期观测
C.方案比较
D.专家论证
E.检查验收
96、监理单位在工程勘察阶段提供相关服务时,向建设单位提交的工程勘察成果评估报告中应包括的内容有()
A.勘察报告编制深度
B.勘察任务书的完成情况
C.与勘察标准的符合情况
D.勘察人员资格和业绩情况
E.勘察工作概况
97、下列工作中,属于工程监理单位提供相关服务的工作内容有()
A.审查设计单位提出的设计概算
B.审查设计单位提出的新材料备案情况
C.处理施工单位提出的工程变更费用
D.处理施工单位提出的费用索赔
E.调查使用单位提出的工程质量缺陷的原因
98、下列用于生产工人的费用中,属于建筑安装工程费中人工费的有()
A.劳动保护费
B.流动施工津贴
C.劳动竞赛奖金
D.加班工资
E.工会经费
99、下列费用中,属于建筑安装工程费中措施项目费的有()
A.大型机械设备安拆费
B.工程定位复测费
C.工程排污费
D.环境保护费
E.临时设施费
100、下列费用中,属于工程建设其他费用的有()
A.进口设备检验鉴定费
B.施工单位临时设施费
C.建设单位临时设施费
D.环境影响评价费
E.进口设备银行手续费
101、下列投资方案经济评价指标中,属于动态评价指标的有()
A.内部收益率
B.资本金净利润率
C.资产负债率
D.净现值率
E.总投资收益率
102、下列价值工程对象的选择方法中,属于非强制确定方法的有()
A.应用数理统计分析的方法
B.考虑各种因素凭借经验集体研究确定的方法
C.以功能重要程度来选择的方法
D.寻求价值较低对象的方法
E.按某种费用对某项技术经济指标影响程度来选择的方法
103、编制施工图预算过程中,图纸的主要审核内容有()
A.审核图纸间相关尺寸是否有误
B.审核图纸是否有设计更改通知书
C.审核材料表上的规格是否与图纸相符
D.审核图纸是否已经施工单位确认
E.审核图纸与现行计量规范是否相符
104、审查施工图预算的方法有()
A.标准预算审查法
B.预算指标审查法
C.预算单价审查法
D.对比审查法
E.分组计算审查法
105、关于固定总价合同特征的说法,正确的有()
A.合同总价一笔包死,无特殊情况不作调整
B.合同执行过程中,工程量与招标时不一致的,总价可作调整
C.合同执行过程中,材料价格上涨,总价可作调整
D.合同执行过程中,人工工资变动,总价不作调整
E.固定总价合同的投标价格一般偏高
106、根据FIDIC《施工合同条件》,承包人仅能索赔增加的成本和延误的工期,不能索赔利润的情形有()
A.不能预见的物质条件
B.工程变更
C.暂停施工
D.因工程师数据差错造成放线错误
E.增加额外试验
107、下列费用中,承包人可以提出索赔的有()
A.承包人为保证混凝土质量选用高标号水泥而增加的材料费
B.非承包人责任的工程延期导致的材料价格上涨费
C.冬雨季施工增加的材料费
D.由于设计变更增加的材料费
E.材料二次搬运费
108、根据《标准施工招标文件》,承包人可同时索赔增加的成本、延误的工期和相应利润的情形有()
A.发包人提供的工程设备不符合合同要求
B.异常恶劣的气候条件
C.监理人重新检查隐蔽工程后发现工程质量符合合同要求
D.发包人原因造成工期延误
E.施工过程中发现文物
109、下列建设工程进度影响因素中,属于组织管理因素的有()
A.业主使用要求改变而变更设计
B.向有关部门提出各种审批手续的延误
C.计划安排不周密导致停工待料
D.施工图纸供应不及时和不配套
E.有关方拖欠资金
110、下列建设工程进度控制任务中,属于设计准备阶段进度控制任务的有()
A.编制工程项目总进度计划
B.编制详细的出图计划
C.进行工期目标和进度控制决策
D.进行环境及施工现场条件的调查和分析
E.编制工程年、季、月实施计划
111、建设工程组织平行施工的特点有()
A.能够充分利用工作面进行施工
B.单位时间内投入的资源量较为均衡
C.不利于资源供应的组织
D.施工现场的组织管理比较简单
E.不利于提高劳动生产率
112、建设工程组织非节奏流水施工的特点有()
A.各专业工作队不能在施工段上连续作业
B.相邻施工过程的流水步距不尽相等
C.各施工段的流水节拍相等
D.专业工作队数等于施工过程数
E.施工段之间没有空闲时间
113、某工程双代号网络计划如下图所示,其绘图错误有()

A.多个起点节点
B.节点编号有误
C.存在循环回路
D.工作代号重复
E.多个终点节点
114、某工程双代号网络计划中各个节点的最早时间和最迟时间如下图所示,图中表明()

A.工作①→③为关键工作
B.工作②→④的总时差为2
C.工作②→⑤的总时差为1
D.工作③→⑥为关键工作
E.工作⑤→⑦的自由时差为4
115、工程网络计划中,关键线路是指()的线路。
A.单代号搭接网络计划中时间间隔全部为零
B.双代号时标网络计划中没有波形线
C.双代号网络计划中没有虚工作
D.双代号网络计划中工作持续时间总和最大
E.单代号网络计划中由关键工作组成
116、工程网络计划的优化是指寻求()的过程。
A.工程总成本不变条件下资源需用量最少
B.工程总成本最低时的工期安排
C.资源有限条件下最短工期安排
D.工期不变条件下资源均衡安排
E.工期固定条件下资源强度最小
117、某工程双代号时标网络计划执行到第5周和第11周时,检查其实际进度前锋线如下图所示,由图可以得出的正确结论有()

A.第5周检查时,工作D拖后1周,不影响总工期
B.第5周检查时,工作E提前1周,影响总工期
C.第5周检查时,工作F拖后2周,不影响总工期
D.第11周检查时,工作J提前2周,影响总工期
E.第11周检查时,工作H拖后1周,不影响总工期
118、某分项工程的计划进度与1~6月检查的实际进度如下图所示,从图中获得的正确信息有()

A.第1月实际进度拖后5%
B.第2月实际进度超前5%
C.第3月实际进度与计划进度相同
D.第4月实际进度拖后5%
E.5月底实际进度累计拖后5%
119、制定科学、合理的施工进度控制目标的主要依据有()
A.施工图设计工作时间
B.类似工程项目实际进度
C.工期定额
D.工程难易程度
E.工程条件的落实情况
120、在施工总进度计划的编制过程中,确定各单位工程的开竣工时间和相互搭接关系时主要应考虑的内容有()
A.尽量使整个工期范围内劳动力供应达到均衡
B.尽量延缓施工困难较多的建设工程
C.能够使主要工种和主要施工机械连续施工
D.保证施工顺序与竣工验收顺序相吻合
E.注意季节性气候条件对施工顺序的影响