1、按国际惯例,在施工总承包工程项目实施过程中,对业主指定的分包商施工进行组织和管理的是()。
A.监理方
B.业主方
C.施工总承包方
D.业主指定的分包商
本题答案:
C
2、反映项目组织系统中各项工作之间的逻辑关系,所采用的组织工具是()。
A.合同结构图
B.工作流程图
C.组织结构图
D.项目结构图
本题答案:
B
3、项目结构图、组织结构图、工作任务分工表、管理职能分工表和工作流程图等都是常用的组织工具,其中能反映组织系统中动态关系的组织工具是()。
A.工作流程图
B.组织结构图
C.项目结构图
D.工作任务分工表
本题答案:
A
4、以下各个工作,属于目标控制的准备工作第一步的是()。
A.收集项目目标的实际值
B.定期进行项目目标的计划值与实际值比较
C.事前分析可能导致目标偏离的各种影响因素
D.对目标进行分解,确定目标的计划值
本题答案:
D
5、建筑施工企业项目经理是指受()委托对工程项目施工过程全面负责的项目管理者,是其在工程项目上的代表人。
A.企业法定代表人
B.企业法人
C.企业总经理
D.企业董事长
本题答案:
A
6、进行工程项目建设时,技术风险可能来自于()。
A.损失控制和安全管理人员的知识、经验和能力
B.自然灾害工程
C.人身安全控制计划
D.施工方案
本题答案:
D
7、关于施工风险管理过程的排序以下正确的是()。
A.风险识别→风险应对→风险监控→风险评估
B.风险识别→风险评估→风险应对→风险监控
C.风险应对→风险识别→风险监控→风险评估
D.风险识别→风险应对→风险评估→风险监控
本题答案:
B
8、某监理人员进行旁站监理时,发现施工活动可能危及工程质量,该人员报告后,应由()下达局部暂停施工指令。
A.监理员
B.监理工程师
C.项目经理
D.总监理工程师
本题答案:
D
9、工程建设监理规划应在()开始编制,在召开第一次工地会议前报送建设单位。
A.审批监理细则后
B.递交监理投标文件后
C.签订委托监理合同及收到设计文件后
D.工程开工后
本题答案:
C
10、根据《建筑安装工程费用项目组成》(建标[2013]44号),下列建筑安装工程费用项目中,属于措施项目费的是()。
A.人工费
B.材料费
C.临时设施费
D.施工机具使用费
本题答案:
C
11、施工企业对新结构、新材料的试验费属于()。
A.材料费
B.检验试验费
C.工程建设其他费用
D.措施项目费
本题答案:
C
12、根据《关于全面推开营业税改征增值税试点的通知》(财税【2016】36号)。采用一般计税方法时,建筑业一般纳税人适用的增值税税率为()。
A.3%
B.9%
C.13%
D.17%
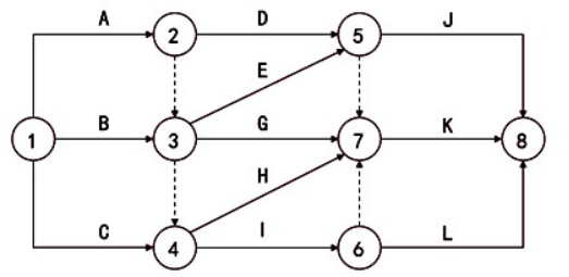
本题答案:
B
13、根据《建筑安装工程费用项目组成》(建标[20]44号),施工企业为保障安全施工搭设的防护网的费用应计入建筑安装工程()。
A.直接费
B.措施项目费
C.分部分项工程费
D.规费
本题答案:
B
14、根据《建筑安装工程费用项目组成》(建标【2013】44号),按费用构成要素划分,建筑安装工程费用的完整组成是()。
A.人工费+材料费+施工机具使用费+措施项目费+分部分项工程费+税金
B.人工费+材料费+施工机具使用费+企业管理费+利润+规费+税金
C.人工费+材料费+施工机具使用费+分部分项工程费+利润+税金
D.人工费+材料费+施工机具使用费+其他项目费+规费+税金
本题答案:
B
15、关于周转性材料消耗量,下列说法正确的是()。
A.周转性材料的消耗量是指材料使用量
B.周转性材料的消耗量应当用材料的一次使用量表示
C.周转性材料的消耗与周转使用次数有关
D.周转性材料的消耗与周转使用次数无关
本题答案:
C
16、下列有关材料耗损率的表示,正确的是()。
A.损耗率=损耗量/净用量
B.损耗率=净用量/总消耗量
C.损耗率=损耗量/总消耗量
D.损耗率=净用量/损耗量
本题答案:
A
17、工程建设定额中分项最细、定额子目最多的一种定额,也是建设工程定额中的基础性定额是()。
A.施工定额
B.预算定额
C.概算定额
D.建筑工程定额
本题答案:
A
18、斗容量为1m³的反铲挖土机,挖三类土,装车,深度在3m内,小组成员4人,机械台班产量为3.84(定额单位100m³),则挖100m³的人工时间定额为()工日。
A.3.84
B.0.78
C.0.26
D.1.04
本题答案:
D
19、某土石方工程采用工程量清单计价模式进行施工招标,业主依据《建设工程工程量清单计价规范(GB50500-2013)》编制了工程量清单,分部分项工程量为15万m³。招投标过程中,甲施工企业根据现场条件和设计文件复核的工程量为17万m³,最终甲施工企业以30元/m³的分部分项工程综合单价中标并签订了施工承包合同。项目完成以后,经监理工程师和业主认可的工程量为16万m³。甲企业中标后,该分部分项工程的工程费应按()万元计入合同总价。
A.450
B.465
C.480
D.510
本题答案:
A
20、根据国际惯例,承包商自有设备的窝工费一般按()计算。
A.台班折旧费
B.台班折旧费+设备进出现场的分摊费
C.台班使用费
D.同类型设备的租金
本题答案:
A
21、根据现场签证程序,发包人应在收到现场签证报告后的()小时内对报告内容进行核实,予以确认或提出修改意见。
A.12
B.24
C.36
D.48
本题答案:
D
22、根据现行合同价款的调整要求,承包人采购材料和工程设备的,应在合同中约定主要材料或工程设备价格变化的范围和幅度,如没有约定,则单价变化超过()时,超过部分应做相应的调整。
A.5%
B.10%
C.15%
D.20%
本题答案:
A
23、关于施工合同履行过程中暂估价的确定,下列说法中正确的是()。
A.不属于依法必须招标的材料,以承包人自行采购的价格取代暂估价
B.属于依法必须招标的暂估价设备,由发承包双方以招标方式选择供应商,以中标价取代暂估价
C.不属于依法必须招标的暂估价专业工程,不应按工程变更确定工程价款而应另行签订补充协议确定工程价款
D.属于依法必须招标的暂估价专业工程,承包人不得参加投标
本题答案:
B
24、施工成本管理中,项目经理部通过加强施工调度,提高机械利用率来降低成本的措施属于()。
A.组织措施
B.技术措施
C.经济措施
D.合同措施
本题答案:
A
25、某施工承包企业将其承接的高速公路项目的目标总成本分解为桥梁、隧道、道路工程成本等子项,并编制相应的成本计划,这是按()分解的。
A.成本组成
B.项目结构
C.工程类别
D.工程性质
本题答案:
B
26、施工成本分析是施工成本管理的主要任务之一,下列关于施工成本分析的表述中正确的是()。
A.施工成本分析的实质是在施工之前对成本进行估算
B.施工成本分析是指科学地预测成本水平及其发展趋势
C.施工成本分析是指预测成本控制的薄弱环节
D.施工成本分析应贯穿于施工成本管理的全过程
27、编制施工项目成本计划的关键是确定()。
A.固定成本
B.平均成本
C.预算成本
D.目标成本
28、关于施工成本控制的说法,正确的是()。
A.项目成本管理体系由社会有关组织进行评审和认证
B.要做好成本的过程控制,必须制定规范化的过程控制程序
C.管理行为控制程序是进行成本过程控制的重点
D.管理行为控制程序和指标控制程序是相互独立的
29、按照我国现行规定,不能直接计入有关工程成本的是()。
A. 人工费
B. 机械费
C.其他直接费
D. 间接费
30、关于总进度目标,下列说法中正确的是()。
A.项目的总进度目标应在设计阶段确定
B.在进行建设工程项目总进度目标控制之前,首先应编制网络计划
C.总进度目标论证就是编制总进度规划
D.项目总进度目标的控制是业主方项目管理的任务
31、施工方所编制的施工企业的施工生产计划,属于()范畴。
A.单体工程施工进度计划
B.企业计划
C.施工总进度计划
D.工程项目管理
32、 某施工企业与业主签订了某工程的施工承包合同,经监理工程师审核批准的施工进度计划如下图所示(时间单位:天),监理工程师审核批准的施工进度计划工期是()天。

A.210
B.245
C.280
D.300
33、与工程网络计划方法相比,横道图进度计划方法的缺点是( )。
A.无法确定计划中的关键工作和时差
B.不能手动方式改动调整进度计划
C.适应大的进度计划系统
D.工序之间的逻辑关系不能表达
34、下列关于网络计划图中关键线路的说法,错误的是()。
A.自始至终全部为关键工作组成且所有工作的时间间隔为零的线路为关键线路
B.线路上总的工作持续时间最长的线路为关键线路
C.自由时差为0的工作是关键工作
D.计划工期等于计算工期时,总时差为0的工作是关键工作
35、与工业产品生产相比,建设工程项目的运作和施工不能标准化,反映了建设工程项目及其生产具有()。
A.—次性
B.单件性
C.体积庞大
D.预约性
36、施工质量的过程控制要求高,主要是因为建筑产品生产过程()。
A.需要控制的因素多
B.控制的难度大
C.工序衔接多,中间交接多、隐蔽工程多
D.质量满足的要求既有明示的、又有隐含的
37、PDCA循环中,检查阶段的主要任务是()。
A.明确并制定实现目标的行动方案
B.展开施工作业技术活动
C.检查执行的情况和效果
D.对施工质量问题进行原因分析,采取必要措施予以纠正
38、施工质量保证体系的运行,应按照()的步骤展开。
A.计划→处理→实施→检查
B.实施→检查→计划→处理
C.计划→实施→检查→处理
D.计划→检查→实施→处理
39、关于分部工程质量验收合格应符合的规定,下列说法不正确的是()。
A.所含分项工程的质量均验收合格
B.质量控制资料完整
C.工程施工符合设计文件的要求
D.观感质量验收符合要求
40、下列施工现场质量检查,属于实测法检查的有()。
A.肉眼观察墙面喷涂的密实度
B.用敲击工具检查地面砖铺贴的密实度
C.用直尺检查地面的平整度
D.现场检测混凝土试件的抗压强度
41、()的质量控制是施工阶段质量控制的重点。
A.材料
B.现场施工准备
C.工序
D.施工机械设备
42、检验批工程可以按照()进行划分。
A.施工工艺、设备类别
B.工种、材料
C.楼层、施工段、变形缝
D.专业性质、建筑部位
43、下列项目的现场质量检查中可以采用“量”的手段的是()。
A.砌体垂直度
B.踢脚线的垂直度
C.预制构件的方正
D.混凝土坍落度的检测
44、某施工单位在进行脚手架模板的架设过程中发生了坍塌事故,事故造成9人重伤,在事故补报期限内,有3名重伤人员因医治无效死亡,此起事故应判定为()。
A.一般事故
B.较大事故
C.重大事故
D.特别重大事故
45、按照住房和城乡建设部《房屋市政工程生产安全和质量事故查处督办暂行办法》规定,质量事故处理报告的提交内容不包括()。
A.事故调查的原始资料
B.事故原因分析、论证
C.事故处理的依据
D.对事故处理的建议
46、建设工程质量监督档案按()建立。
A.单位工程
B.分部工程
C.单项工程
D.分项工程
47、甲公司是某项目的总承包单位,乙公司是该项目的建设单位指定的分包单位。在施工过程中,乙公司拒不服从甲公司的安全生产管理,最终造成安全生产事故,则()。
A.甲公司负主要责任
B.监理公司负主要责任
C.乙公司负全部责任
D.乙公司负主要责任
48、职业健康与安全管理体系内部审核是()。
A.最高管理者对管理体系的系统评价
B.按照上级要求对体系进行的检查和评价
C.管理体系自我保证和自我监督的一种机制
D.管理体系接受外部监督的一种机制
49、建设工程施工环境管理的目的有()。
A.保护产品生产者的健康与安全
B.保障人民群众的生命和财产免受损失
C.保护生态环境,使社会的经济发展与人类的生存环境相协调
D.考虑和避免因管理不当对员工健康和安全造成的危害
50、根据《建设工程项目管理规范》(GB/T326-2017),若经评估材料价格上涨的风险发生的可能性为中等,且该风险事件的风险级别为重大损失,则此种风险损失等级为()等风险。
A.2
B.3
C.4
D.5
51、依据《建设工程安全生产管理条例》规定,对达到一定规模的危险性较大的分部分项工程编制专项施工方案,并附具安全验算结果,经施工单位技术负责人、()签字后实施。
A.项目经理
B.建设单位代表
C.监理单位技术负责人
D.总监理工程师
52、根据《安全生产许可证条例》的规定,企业在安全生产许可证有效期内,严格遵守有关安全生产的法律法规,未发生()事故的,安全生产许可证有效期届满时,经原发证管理机关同意,不再审查。
A.安全
B.死亡
C.重伤
D.重大死亡
53、某工程施工期间,安全人员发现作业区内有一处电缆井盖遗失,随即在现场设置防护栏及警示牌、并设照明及夜间警示红灯。这是建设安全事故隐患处理中()原则的具体体现。
A.动态治理
B.单项隐患综合治理
C.冗余安全度处理
D.直接隐患与间接隐患并治
54、施工单位应当自施工起重机械和整体提升脚手架、模板等自升式架设设施验收合格之日起()日内,向建设行政主管部门或者其他有关部门登记。
A.10
B.15
C.30
D.60
55、综合应急预案是( )。
A.针对具体的事故类别(如基坑开挖、脚手架拆除等事故)、危险源和应急保障而制定的计划或方案
B.从总体上阐述事故的应急方针、政策,应急组织结构及相关应急职责,应急行动、措施和保障等基本要求和程序
C.针对具体的装置、场所或设施、岗位所制定的应急处置措施
D.针对重大事故制定的现场处置方案
56、施工现场发生安全事故后,首先应该做的工作是()。
A.进行事故调查
B.对事故责任者进行处理
C.排除险情,采取有效措施抢救伤员和财产
D.编写事故调查报告并上报
57、应确立()为现场文明施工的第一责任人,以各专业工程师、施工质量、安全、材料、保卫、后勤等现场项目经理部人员为成员的施工现场文明管理组织,共同负责本工程现场文明施工工作。
A.监理工程师
B.技术负责人
C.项目经理
D.总监理工程师
58、下列关于施工现场噪声污染的处理方法,错误的是()。
A.加强各种机械设备的维修保养
B.在人口密集区夜间施工
C.制作门窗尽量放在工厂车间生产
D.尽量选用低噪声设备
59、平行发承包模式中,对每一部分工程施工任务的发包,通常都以施工图设计为基础,这意味着()。
A.工程的不确定性较高
B.合同双方的风险相对降低
C.发包人的风险相对较高
D.承包人的风险相对较高
60、施工总承包管理模式与施工总承包模式相比较,二者()。
A.工作开展程序相同
B.对分包单位的付款相同
C.合同关系相同
D.对分包单位的选择和认可不同
61、在制造时期,由采购方派人在供应的生产厂家进行材质检验。该验收方式属于()。
A.驻厂验收
B.提运验收
C.接运验收
D.入库验收
62、根据《标准施工招标文件》中通用合同条款的规定,关于发包人、承包人责任与义务规定,正确的是()。
A.发包人应将其持有的现场地质勘探资料提供给承包人,但承包人应对阅读该资料后所作出的解释和推断负责
B.承包人应按合同约定及时组织竣工验收
C.发包人应负责施工场地及其周边环境与生态的保护工作
D.承包人应与分包人就分包工程向发包人共同承担责任
63、关于工程质量保证金的说法,正确的是()。
A.发包人应按照合同约定的质量保证金比例从结算款中扣留质量保证金
B.在合同约定的缺陷责任期终止后,发包人退还剩余质量保证金,承包人不再承担质量保修责任
C.承包人未按照合同约定履行工程缺陷修复义务的,发包人有权从质量保证金中扣除用于各种缺陷修复的支出
D.在合同约定的缺陷责任期终止后的14天内,若未履行工程缺陷义务,质量保证金应由发包人掌握使用
64、采用成本加酬金合同,承包商往往缺乏控制成本的积极性,业主要选择职业道德好的承包商,以防范承包商有意()。
A.提高工程成本
B.忽视安全管理
C.降低施工质量
D.加快施工进度
65、反索赔的工作内容可以包括()两个方面。
A.抓对方失误,直接向对方提出索赔
B.防止对方提出索赔,反击或反驳对方索赔要求
C.研究分析索赔报告,证明索赔要求不符合实际
D.指出索赔计算不合理,推卸减轻自己责任
66、关于建设工程索赔成立条件的说法,正确的是()。
A.导致索赔的事件必须是对方的过错,索赔才能成立
B.只要对方存在过错,不管是否造成损失,索赔都能成立
C.只要索赔事件的事实存在,在合同有效期内任何时候提出索赔都能成立
D.不按照合同规定的程序提交索赔报告,索赔不能成立
67、下列担保中,担保金额在担保有效期内逐步减少的是()。
A.投标担保
B.履约担保
C.预付款担保
D.支付担保
68、为了充分利用和发挥信息资源的价值.提高信息管理效率以及实现有序的和科学的信息管理,各方都应该编制各自的()。
A.项目管理规划
B.信息管理手册
C.系统开发计划
D.信息编码表
69、工程洽商记录应由设计专业负责人以及相关单位负责人签认后生效,不允许先施工后办理洽商。这里的相关单位不包括()。
A.建设单位
B.监理单位
C.主管单位
D.施工单位
70、涉及施工图结构形式.工艺.平面布置等有重大改变,或变更部分超过图面()的,应重新绘制竣工图。
A.1/2
B.1/3
C.1/4
D.1/5
71、在组织结构模式中,组织分工反映了一个组织系统中各子系统或各元素的()。
A.工作任务分工
B.项目管理分工
C.工作流程分工
D.管理项目分工
E.管理职能分工
72、根据《建设工程项目管理规范》(GB/T50326—2017),项目管理机构负责人的职责有()。
A.组织或参与编制项目管理实施规划
B.对资源进行动态管理
C.进行授权范围内的利益分配
D.主持项目经理部工作
E.在授权范围内协调与项目有关的内外部关系
73、下列费用不属于规费的有()。
A.失业保险费
B.工伤保险费
C.生育保险费
D.财产保险费
E.劳动保护费
74、我国建筑业实施“营改增”后,下列说法正确的有()。
A.建筑业适用增值税税率统一为7%
B.当采用简易计税方法时,建筑业增值税税率为3%
C.当采用一般计税方法时,建筑业增值税税率为9%
D.当采用一般计税方法时,工程造价=税前工程造价×(1+9%)
E.增值税的计税方法,包括一般计税方法和简易计税方法
75、工程量清单招标时,投标人编制投标报价前应认真复核工程量清单中的分部分项工程量,因为该工程量会影响()。
A.投标总价的计算
B.结算工程量的确定
C.施工方法选择
D.安排人力和机械的选择
E.分项工程的单价
76、关于合同价款调整程序,下列说法中正确的是()。
A.出现合同价款调增事项后的14天内,承包人应向发包人提交合同价款调增报告
B.发包人应在收到承包人合同价款调增报告及相关资料之日起7 天内予以核实
C.如发包人和承包人对合同价款调整的不同意见不能达成一致的,其中一方可以暂停履行合同义务
D.因承包人原因导致工期延误,且导致合同价款调整的时间在合同工程原定竣工验收时间之后,合同价款调增的予以调整,合同价款调减的不予调整
E.出现合同价款调整时,招标工程应以投标截止日前28天为基准日
77、仅适合于对同一项目作偏差分析的指标有()。
A.质量偏差
B.费用偏差
C.费用绩效指数
D.进度绩效指数
E.进度偏差
78、专项成本分析方法是针对与成本有关的特定事项的分析,具体包括()等内容。
A.成本盈亏异常分析
B.工期成本分析
C.资金成本分析
D.人工费分析
E.机械使用费分析
79、关于综合成本分析方法的说法,正确的有()。
A.分部分项工程成本法分析的方法是进行计划成本、目标成本和实际成本的三算对比
B.每一个分部分项工程都必须进行成本分析
C.月度成本分析的依据是当月的成本报表
D.年度成本分析的重点是分析产量、工期、质量、三材节约率对成本的影响
E.单位工程竣工成本分析应包括对主要资源节超比进行对比分析
80、施工成本分析的依据包括()。
A.会计核算
B.业务核算
C.进度报告
D.统计核算
E.工程变更
81、控制性施工进度计划编制的主要目的有()。
A.通过计划的编制,以对施工承包合同所规定的施工进度目标进行再论证
B.对进度目标进行分解,确定施工的总体部署
C.确定为实现进度目标的里程碑事件的进度目标
D.作为进度控制的依据
E.确定施工作业的具体安排
82、某工程双代号网络计划如图所示,工作B的后续工作有()。

A.工作D
B.工作E
C.工作J
D.工作K
E.工作I
83、某工程单代号网络计划如下图,下列选项中属于关键工作的有()。

A. 工作A
B. 工作B
C. 工作C
D. 工作D
E. 工作E
84、下列属于施工机械设备的有()。
A.通风空调
B.运输设备
C.施工安全设施
D.环保设备
E.测量仪器
85、工程项目施工质量计划可以按内容分为()。
A.施工质量工作计划
B.施工进度管理计划
C.施工质量成本计划
D.施工项目验收计划
E.施工安全管理计划
86、施工机械设备的质量控制主要从()等方面进行。
A.使用操作要求
B.机械设备的寿命
C.机械设备的选型
D.机械设备的价格
E.主要性能参数指标的确定
87、下列选项中,可以作为施工质量事故处理的依据有()。
A.质量事故的实况资料
B.事故原因分析、论证
C.有关合同文件
D.有关的技术文件和档案
E.相关的建设法规
88、被称为第一类危险源的有()。
A.造成约束.限制能量措施失控的不安全因素
B.具有破坏性的各种不安全因素
C.可能发生意外释放能量的载体
D.危险物质
E.有害因素及危险因素
89、根据《企业职工伤亡事故分类》(GB6441—1986)规定,安全事故按伤害程度分为()。
A.轻伤
B.重伤
C.死亡
D.群死群伤
E.致残
90、为防治施工环境污染,正确的做法有()。
A.尽量选用低噪声或备有消声降噪设备的机械
B.拆除旧建筑物前,先适当洒水
C.施工现场进口处应设置车辆冲洗设施,并应对驶入的车辆进行清洗
D.对土方的运输,采取封盖措施
E.建筑物内垃圾应采用容器或搭设专用封闭式垃圾道的方式清运,严禁凌空抛掷
91、根据《建设工程施工专业分包合同(示范文本)》(GF-2003-0213),分包人的工作包括()。
A.按照分包合同的约定,对分包工程进行设计、施工、竣工和保修
B.在合同约定的时间内,向承包人提供工程进度计划及相应进度统计报表
C.在合同约定的时间内,向承包人提交详细施工组织设计
D.已竣工工程未交付承包人之前,负责已完分包工程的成品保护工作
E.按照合同约定的时间,完成规定的设计内容,并承担由此发生的费用
92、采用总价合同对发包工程的内容及其各种条件都应基本清楚、明确,下列属于总价合同特点的是()。
A.发包单位可以较早确定工程成本
B.承包人承担较多风险
C.业主风险较小
D.易于迅速确定最低投标人
E.业主风险较大
93、承包人提出的合理化建议,发包人可按国家有关规定在专用合同条款中约定给予奖励,下列属于承包人提出合理化建议作用的是()。
A.降低合同价格
B.缩短工期
C.因不可抗力造成的工期延误
D.使实际竣工日期延长
E.提高工程经济效益
94、工程施工技术管理资料是建设工程施工全过程中的真实记录,是施工各阶段客观产生的施工技术文件。其主要内容包括()等。
A.图纸会审记录文件
B.工程开工报告相关资料
C.技术、安全交底记录文件
D.施工组织设计文件
E.工程施工图纸
95、下列有关施工文件立卷的表述错误的有()。
A.密级分为绝密.机密.保密三种
B.案卷不宜过厚,一般不超过40mm
C.工程档案的保管期限分为长期.短期.临时三种期限
D.装订应采用线绳三孔左侧装订法
E.竣工图可按单位工程.专业等进行组卷