1、下列关于建设工程项目管理的说法,正确的是( )。
A.项目管理的核心任务是合同管理,项目生产过程的总集成者、总组织者是施工方
B.编制项目建议书属于决策阶段的工作,编制设计任务书属于设计准备阶段的工作
C.供货方和施工方的管理工作不涉及项目设计准备阶段,设计方和工程总承包方项目管理的目标均涉及项目的投资目标
D.业主方的进度管理目标是项目竣工验收的时间目标,项目的质量目标涉及项目运营的环境质量
本题答案:
B
2、在项目管理任务分解的基础上,明确项目经理和进度控制管理任务主管工作部门或主管人员的工作任务,从而编制()。
A.工作任务分工表
B.项目组织设计文件
C.项目工作流程图
D.项目管理职能分工表
本题答案:
A
3、工作流程图是重要的组织工具,用来描述( )。
A.工作流程组织
B.管理职能的分工
C.工作任务分工
D.组织分工
本题答案:
A
4、在项目实施过程中,为对工程进度目标进行动态跟踪和控制,在按照进度控制的要求,收集施工进度实际值之后应做的工作是( )。
A.采取措施进行纠偏
B.比较工程进度的计划值和实际值
C.调整工程进度目标
D.逐层分解工程进度目标
本题答案:
B
5、下列关于建设工程项目目标动态控制的说法,正确的是()。
A.管理是目标能否实现的决定性因素
B.建设工程项目目标的事前控制是动态控制
C.运用动态控制原理进行目标控制时首先应当进行项目目标的分解
D.为避免目标偏离,应采用事前控制的动态控制方法
本题答案:
C
6、为确保项目目标的实现和便于工程的组织管理,某市地铁一号线项目划分为土建.车辆段.机电设备工程.前期工程.运营准备等子系统,甲公司承接了其中的土建施工任务。项目实施中出现进度滞后,经技术人员论证.项目经理决策,选用了一种新型施工机械来替换原有施工机械。甲公司用新型施工机械替换原有施工机械的做法,属于项目目标动态控制纠偏措施中的( )。
A.组织措施
B.管理措施
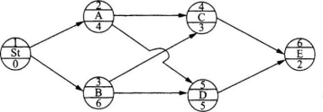
C.经济措施
D.技术措施
本题答案:
D
7、项目管理目标责任书应在项目实施之前,由( )与项目经理协商制定。
A.法人与授权人
B.法人与监理
C.法定代表人或其授权人
D.法定代表人与监理
本题答案:
C
8、根据《建设工程项目管理规范》GB/T50236--2017,下列不属于项目机构负责人应履行的职责包括( )。
A.组织或参与编制项目管理实施规划
B.对资源进行动态管理
C.进行授权范围内的利益分配
D.组织工程竣工验收
本题答案:
D
9、依据《建设工程项目管理规范》GB/T50326—2017,下列说法正确的是()。
A.施工项目经理可自行决定是否需要离开施工现场
B.无论任何情况施工项目经理均需事先获得发包人和监理人批准,方可采取管理行动
C.施工单位无需建设单位同意就可根据自身需要更换项目经理
D.施工项目经理因特殊情况可按程序授权其下属人员履行其某项工作职责
本题答案:
D
10、在建设工程项目施工前,承包人对难以控制的风险向保险公司投保,此行为属于( )。
A.风险规避
B.风险转移
C.风险减轻
D.风险保留
本题答案:
B
11、下列关于工程监理工作性质与权责的表述中,错误的是( )。
A.工程监理单位与业主的关系是委托代理关系
B.监理工作具有服务性、独立性和公正性的特点
C.工程监理单位不能与监理项目的施工单位有利害关系
D.建设工程未经监理工程师签字不得进行竣工验收
本题答案:
D
12、工程建设监理规划的编制应针对项目的实际情况,确定具体的监理工作制度、内容、程序、方法和措施,下列不属于编制工程建设监理规划依据的选项是()。
A.建设工程的相关法律、法规及项目审批文件
B.施工组织设计、专项施工方案
C.监理大纲、委托监理合同文件以及建设项目相关的合同文件
D.与建设工程项目有关的标准、设计文件和技术资料
本题答案:
B
13、根据《建筑安装工程费用项目组成》,社会保险费属于建筑安装工程费中的()。
A.企业管理费
B.措施费
C.规费
D.直接工程费
本题答案:
C
14、下列建筑安装工程费用,属于材料费的是( )。
A.采购及保管费
B.工程定位复测费
C.检验试验费
D.脚手架搭、拆、运输费用
本题答案:
A
15、根据《建筑安装工程费用项目组成》,工程施工中所使用的仪器仪表的维修费用应计入( )。
A.工具用具使用费
B.固定资产使用费
C.企业管理费
D.施工机械使用费
本题答案:
D
16、某施工机械预算价格为65万元,预计残值率为3%,折旧年限为5年(年限平均法折旧),每年工作250台班。折旧年限内预计每年大修理1次,每次费用为3万元,机械台班人工费为130元,台班燃料动力费为15元,台班车船税费为10元,不计台班安拆费及场外运费和经常修理费,则该机械台班单价为()元。
A.649.40
B.754.40
C.795.00
D.779.40
本题答案:
D
17、根据生产技术和施工组织条件,对施工过程中各工序采用一定的方法测出工时消耗资料,这种制定人工定额的方法为()。
A.技术测定法
B.统计分析法
C.比较类推法
D.经验估计法
本题答案:
A
18、施工定额的定额水平反映施工企业生产与组织的技术水平和管理水平,可以直接用于施工项目的管理。在进行施工项目管理时,施工定额不可以用于( )。
A.签发限额领料单
B.编制施工作业计划
C.结算计件工资
D.工程价款的结算
本题答案:
D
19、合同履行期间,由于招标工程量清单中缺项,新增分部分项工程清单项目的,应()。
A.按照变更价款确定方法确定单价,调整合同价款
B.不予调整
C.按照计价规范的规定自行调整合同价款
D.按照计价规范的规定,在承包人提交的实施方案被发包人批准后调整合同价款
本题答案:
A
20、监理人未在收到承包人提交的工程量报表后的( )天内完成复核的,承包人提交的工程量报告中的工程量视为承包人实际完成的工程量。
A.7
B.14
C.21
D.28
本题答案:
A
21、下列施工成本管理的措施中,属于经济措施的是()。
A.进行技术经济分析,确定最佳的施工方案
B.通过生产要素的优化配置、合理使用、动态管理,控制实际成本
C.密切注视对方合同执行的情况,以寻求合同索赔的机会
D.对施工成本管理目标进行风险分析,并制定防范性对策
本题答案:
D
22、项目管理机构对竣工工程现场成本核算的目的是( )。
A.考核项目管理绩效
B.寻求进一步降低成本的途径
C.考核企业经营效益
D.分析成本偏差的原因
本题答案:
A
23、下列施工成本管理的措施中,属于技术措施的是()。
A.确定最佳的施工方案
B.确定合理详细的工作流程
C.确定和分解施工成本管理目标
D.选用合适的合同结构
本题答案:
A
24、在编制施工成本计划时,通常需要进行“两算”对比分析,“两算”指的是()。
A.施工图预算、成本核算
B.施工图预算、施工预算
C.施工预算、成本核算
D.施工预算、施工决算
本题答案:
B
25、下列施工成本控制程序中,属于成本过程控制重点的是()。
A.管理行为控制程序
B.指标控制程序
C.管理过程控制程序
D.目标控制程序
本题答案:
B
26、编制大中型建设工程项目施工成本支出计划时,要在项目总的方面考虑总的预备费,也要在()中考虑不可预见费。
A.前期工作
B.主要分项工程
C.企业管理费
D.所有的分项工程
27、实施性成本计划是在项目施工准备阶段,采用()编制的施工成本计划。
A.估算指标
B.概算定额
C.施工定额
D.预算定额
28、管理行为控制程序和指标控制程序在实施过程中的正确关系是()。
A.用管理行为来考核成本指标
B.用管理行为来保证成本指标
C.用成本指标来控制管理行为
D.用管理行为来控制成本指标
29、在运用比较法进行成本分析时,能够看出各项技术经济指标变动情况和反映施工管理水平提高程度的对比分析是通过()。
A.实际指标与目标指标的对比
B.本期实际指标与上期实际指标对比
C.与本行业平均水平对比
D.与本行业先进水平对比
30、通过技术经济指标的对比,检查目标的完成情况,分析产生差异的原因,进行挖掘内部潜力的方法是()。
A.比较法
B.因素分析法
C.差额计算法
D.比率法
31、关于建设工程项目进度计划系统构成的说法,正确的是( )。
A.进度计划系统包括对同一个项目按不同周期进度计划组成的计划系统
B.进度计划系统是对同一个计划采用不同方法表示的计划系统
C.同一个项目进度计划系统的组成不变
D.同一个项目进度计划系统中的各进度计划之间不能相互关联
32、建设工程项目总进度目标论证的工作包括:①进行项目结构分析;②调查研究和收集资料;③编制各层进度计划;④协调各层进度计划的关系和编制总进度计划;⑤确定项目的工作编码,其正确的工作步骤是( )。
A.①→③→④→②→⑤
B.①→④→②→⑤→③
C.②→①→⑤→③→④
D.②→③→①→④→⑤
33、在安排一个小型项目施工的进度时,只需编制( )。
A.施工总进度方案
B.施工总进度规划
C.施工总进度计划
D.施工总进度目标
34、在不影响其紧后工作最早开始的前提下,工作可以利用的机动时间是( )。
A.最早开始时间
B.最早完成时间
C.总时差
D.自由时差
35、已知某单代号网络计划如下图所示,如果施工过程中工作C延误4天,则会影响计划工期()天。

A.1
B.2
C.3
D.5
36、某工程施工网络计划经工程师批准后实施。已知工作A有5天的自由时差和8天的总时差,由于第三方原因,使工作A的实际完成时间比原计划延长了12天。在无其它干扰的情况下,其紧后工作的最早开始时间将推迟( )天。
A.3
B.4
C.7
D.12
37、下图是某分部工程双代号网络图,图中的错误是( )。

A.节点编号有误
B.存在循环回路
C.存在多个起点节点
D.存在多个终点节点
38、某工程单代号网络图如下图所示,其关键线路为()。

A.1—2—4—6
B.1—3—4—6
C.1—3—5—6
D.1—2—5—6
39、某网络计划中,工作A的紧后工作是B和C,工作B的最迟开始时间为14天,最早开始时间为10天;工作C的最迟完成时间为16天,最早完成时间为14天;工作A与工作B、C的时间间隔分别为5天和4天,则工作A的总时差和自由时差分别为()。
A.3和4
B.7和5
C.6和4
D.10和5
40、根据( ),为实现项目的进度目标,应健全项目管理的组织体系。
A.项目管理的组织模式
B.项目目标控制的动态控制原理
C.组织与目标的关系
D.网络计划技术的要求
41、( )是实施和保持质量体系过程中长期遵循的纲领性文件。
A.质量手册
B.程序文件
C.质量计划
D.质量记录
42、施工质量保证体系运行的PDCA循环原理是()。
A.计划、检查、实施、处理
B.计划、实施、检查、处理
C.检查、计划、实施、处理
D.检查、计划、处理、实施
43、施工单位向建设单位提交工程竣工报告,申请工程竣工验收。实行监理的工程,工程竣工报告须经( )签署意见。
A.设计单位项目负责人
B.建设单位项目负责人
C.施工单位技术负责人
D.总监理工程师
44、在施工过程中,由于浇筑混凝土时随意加水而造成的质量事故属于()。
A.指导责任事故
B.操作责任事故
C.自然灾害事故
D.技术原因引发的质量事故
45、某混凝土结构工程施工完成两个月后,发现表面有宽度0.25mm的裂缝,经鉴定其不影响结构安全和使用,对此质量问题,恰当的处理方式是( )。
A.返修处理
B.加固处理
C.返工处理
D.不作处理
46、下列施工质量事故预防的具体措施中,属于加强施工过程管理的是( )。
A.严格控制建筑材料的质量
B.严格按照制度进行质量检查
C.对施工人员进行必要的技术培训
D.严格依法进行施工组织管理
47、对工程实体质量和工程质量责任主体等单位工程质量行为进行抽查、抽检时,下列说法错误的是()。
A.应采取日常检查和抽查抽测相结合的方式
B.应随机抽取检查对象
C.应指定选派监督检查人员
D.应公开检查情况和查处结果
48、分包单位不服从管理导致生产安全事故的,分包单位应承担( )。
A.连带责任
B.次要责任
C.全部责任
D.主要责任
49、下列关于《职业健康安全管理体系要求及使用指南》GB/T45001—2020的总体结构及内容中确定职业健康安全管理体系的范围的说法,正确的是()。
A.组织应界定职业健康安全管理体系的边界和适用性
B.组织应建立、实施并保持职业健康安全方针
C.最高管理者应按标准的要求建立、实施、保持和持续改进职业健康安全管理体系
D.最高管理者应建立、实施和保持过程,用于在职业健康安全管理体系应用中工作人员的协商和参与
50、职业健康安全管理体系标准的结构系统采用PDCA循环管理模式,构成标准的要素是()。
A.组织作用—策划—实施—评审—纠正
B.组织作用—计划—运行—跟踪纠偏
C.领导作用—策划—支持与运行—绩效评价—改进
D.领导作用—计划—实施与跟踪—纠偏和控制措施—后评价
51、安全隐患的处理程序正确的是( )。
A.登记→整改→复查→销案
B.整改→登记→复查→销案
C.登记→整改→销案→复查
D.整改→登记→销案→复查
52、安全生产许可证有效期满需要延期的,企业应当于向原安全生产许可证颁发管理机关办理延期手续。办理延期手续的时间为()。
A.期满前1个月
B.期满前2个月
C.期满前3个月
D.期满前6个月
53、某工程施工中发生安全事故,无人死亡,但造成50人重伤,直接经济损失1000万元,按照生产安全事故选成的人员伤亡或直接经济损失分类,该工程事故属于()。
A.较大事故
B.重大事故
C.特别重大事故
D.一般事故
54、根据《建筑施工场界环境噪声排放标准》GB12523—2011的要求,工程施工中昼间施工作业噪声限值为( )dB(A)。
A.70
B.75
C.80
D.85
55、某小区建设,业主将9幢居民楼的土建工程分别发包给9个土建施工单位,机电安装工程分别发包给9个机电安装单位。业主采用的承发包模式是()。
A.施工总承包模式
B.施工平行承发包模式
C.施工总承包管理模式
D.EPC承包模式
56、施工总承包管理模式下,一般均由发包人直接招标并与分包人签订合同,以下施工总承包管理单位对此分包合同几种情况,说法不正确的是( )。
A.经审查后表态认可此合同
B.经认真审查后,如认为某个分包人无力完成分包任务,可要求发包人更换分包人
C.经认真审查后,如认为某个分包人无力完成分包任务,可要求发包人更换分包人,如发包人不同意换分包人,施工总承包管理单位则应接受此分包人
D.经认真审查后,如认为某个分包人无力完成分包任务,可要求发包人更换分包人,如发包人不同意换分包人,施工总承包管理单位可拒绝认可该分包合同,并且不承担对该分包人所负责的工程管理责任
57、下列关于施工总承包的表述正确的是()。
A.项目质量的好坏很大程度上取决于业主的管理水平
B.施工总承包合同一般实行单价合同
C.业主需进行多次招标,合同管理量较大
D.业主只负责对施工总承包单位的管理及组织协调,对业主比较有利
58、工程招标中,拟发布的招标公告和公示信息文本应当()。
A.由招标人或其招标代理机构盖章,并由主要负责人或其授权的项目负责人签名
B.由招标人或其招标代理机构主要负责人或其授权的项目负责人签名
C.由招标人或其招标代理机构盖章,或由主要负责人或其授权的项目负责人签名
D.采用数据电文形式的,可不签名
59、根据《标准施工招标文件》中通用合同条款的规定,关于试验和检验,正确的是()。
A.按合同约定应由监理人与承包人共同进行试验和检验的,由承包人负责提供必要的试验资料
B.监理人未按合同约定派员参加试验和检验的,承包人可自行试验和检验
C.监理人要求承包人重新试验和检验的,由此增加的费用和(或)工期延误,由承包人承担
D.监理人要求承包人重新试验和检验的,由此增加的费用和(或)工期延误,由发包人承担
60、根据《标准施工招标文件》规定,建设工程经验收合格,则实际竣工日期为()。
A.组织工程竣工验收的日期
B.承包人实际完成工程的日期
C.承包人提交竣工验收申请报告的日期
D.工程竣工验收后,发包人给予认可意见的日期
61、( )应在缺陷责任期内对已交付使用的工程承担缺陷责任。
A.发包人
B.承包人
C.分包人
D.劳务分包人
62、某建设工程项目以成本加奖金合同形式发包,工程完成后,工程的实际成本超过合同报价中成本估算指标制定的顶点,则承包商()。
A.获得最低水平的奖金
B.获得实际成本的费用
C.按约定支付罚款
D.最多获得工程成本估算的135%的费用
63、某土石方工程实行混合计价,其中土方工程实行总价包干,包干价18万元;石方工程实行单价合同。该工程有关工程量和价格资料见下表。则该工程结算价款为()万元。

A.156
B.78
C.83
D.90.8
64、根据《标准施工招标文件》,关于施工合同变更及管理的说法,不正确的有( )
A.在合同履行过程中,承包人对发包人提供的图纸可提出书面变更建议
B.没有监理人的变更指示,承包人不得擅自变更
C.在合同履行过程中,监理人可随时向承包人作出变更指令
D.承包人应该在收到变更指示的14天向监理人提交变更报价书
65、提出索赔的期限自( )时终止。
A.竣工合格
B.实际竣工日
C.接受最终结清证书
D.接受结清证书
66、为了充分利用和发挥信息资源的价值,规范信息管理工作,项目参建各方都应编制各自的()。
A.项目管理规划
B.工程进度计划
C.信息管理手册
D.信息资源列表
67、工程档案案卷封面标注的保管期限分为永久、长期、短期三种期限。短期是指工程档案保存年限不超过()年。
A.5
B.10
C.15
D.20
68、建设单位在与勘察、设计单位、监理单位、施工单位签订勘察、设计、监理、施工合同时,应对监理文件、施工文件和工程档案做出明确规定的内容不包括()。
A.编制人员
B.编制责任
C.编制套数
D.移交期限
69、建设工程档案管理中,施工单位应实行( )负责制,逐级建立.健全施工文件管理岗位责任制。
A.项目法人
B.企业法人代表
C.技术负责人
D.项目经理
70、某工程在总包单位和一个不属于总包管理范围之内的专业分包单位之间进行工程交接时,《交接检查记录》中的见证单位应该为()。
A.总包单位
B.该专业分包单位
C.建设单位
D.其他专业分包单位
71、关于管理职能分工的说法,正确的有()。
A.编制管理职能分工表时,施工质检员只有“执行”职能
B.业主方和项目各参与方都应该编制各自的项目管理职能分工表
C.项目管理职能分工表只需针对质量控制进行编制
D.管理职能实际上就是管理过程的多个工作环节
E.在一个项目施工全过程中,项目管理班子的职能分工应该保持不变
72、有关建设工程的工作任务及管理职能分工表,下列说法正确的有( )。
A.管理职能分工表不足以明确管理职能时,可辅以管理职能分工描述书
B.业主方和项目参建各方均应编制各自的管理任务分工表
C.在任务分工表中,每个任务最多应有一个主办部门
D.运营部和物业开发部是在工程竣工前才介入工作
E.管理职能分工表只适用于项目管理,不适用企业管理
73、下列关于施工方项目经理责任的表述中,正确的有( )。
A.应承担施工质量责任,对发生重大工程质量安全事故的项目经理必须依法严肃处理
B.应承担施工成本责任,对成本严重超支的项目经理必须依法严肃处理
C.应承担施工安全责任,对发生市场违法违规行为的项目经理必须依法严肃处理
D.应承担施工工期责任,对不按期竣工的项目经理必须依法严肃处理
E.对施工承担全面管理的责任,实行项目经理负责制
74、风险量的含义为( )。
A.损失发生的概率
B.实际损失的大小
C.风险因素的多少
D.不确定的损失程度
E.风险控制的力度
75、根据《建筑安装工程费用项目组成》,下列费用中,按造价形成划分,应计入措施项目费的有( )。
A.检验试验费
B.工会经费
C.已完工程及设备保护费
D.特殊地区施工增加费
E.大型机械设备进出场及安拆费
76、根据《标准施工招标文件》中合同条款的相关规定,下列事件发生时,承包人只能向发包人索赔费用,而不能索赔工期、利润的有()。
A.承包人遇到不利物质条件
B.发包人要求承包人提前竣工
C.法律变化引起的价格调整
D.发包人原因导致试运行失败的
E.异常恶劣的气候条件
77、下列施工成本管理的措施中,属于经济措施的有()。
A.加强调度,避免因计划不周和盲目调度造成窝工损失使施工成本增加
B.管理人员应编制资金使用计划,确定、分解施工成本管理目标
C.对各种变更,及时做好增减账,及时落实业主签证
D.认真做好资金的使用计划,并在施工中严格控制各项开支
E.结合施工组织设计及自然地理条件,降低材料的库存成本和运输成本
78、按工程实施阶段编制施工成本计划时,若所有工作均按照最早开始时间安排,则对项目目标控制的影响有()。
A.工程按期竣工的保证率
B.工程质量会更好
C.建设资金贷款利息高
D.有利于降低投资
E.不能保证工程质量
79、关于施工成本计划编制的说法,正确的有()。
A.在编制施工成本支出计划时,无需考虑不可预见费
B.施工成本可分解为人工费、材料费、机械费、间接费和税金
C.编制施工成本计划可利用控制项目进度的网络进度计划
D.编制施工成本计划的关键是确立目标成本
E.按进度编制的施工成本计划可以用“时间一成本累积曲线”来表示
80、施工成本计划一般情况下包括( )三类指标。
A.数量指标
B.价值指标
C.效益指标
D.利润指标
E.质量指标
81、在工程网络计划中,关键线路是指()的线路。
A.双代号网络计划中无虚箭线
B.双代号时标网络计划中无波形线
C.单代号网络计划中工作时间间隔均为零
D.双代号网络计划中工作持续时间最长
E.单代号网络计划中自由时差为零的工作组成
82、双代号网络图中除了关键工作外均为非关键工作。下列双代号网络图中()为非关键工作。

A.工作C
B.工作D
C.工作E
D.工作F
E.工作H
83、施工进度计划的调整包括的内容有( )。
A.工程量的调整
B.工作关系的调整
C.施工管理组织
D.必要目标的调整
E.施工技术方案
84、下列有关施工质量事故发生的原因,属于施工的失误的有( )。
A.非法承包、偷工减料
B.边勘察、边设计、边施工
C.使用不合格的工程材料、半成品、构配件
D.违章作业、违章指挥、违反劳动纪律
E.结构方案计算失误、导致地基不均匀沉降
85、监督机构对工程项目全过程施工的情况进行检查,其检查的内容主要是()。
A.参与工程建设各方的质量行为
B.质量控制资料的完成情况
C.工程实体质量情况
D.对工程建设中的质量事故进行查处
E.质量责任制的履行情况
86、政府质量监督机构按照监督方案应对工程项目全过程施工的情况进行不定期检查,其中在()阶段应每月安排监督检查。
A.施工准备
B.基础施工
C.设备安装
D.主体结构施工
E.竣工验收
87、下列有关施工职业健康安全管理基本要求的说法,正确的有( )。
A.实行总承包的由总承包单位对施工现场的安全生产负总责
B.实行总承包的,分包工程生产安全由分包单位承担主要责任,总包单位承担次要责任
C.分包单位应当接受总包单位安全生产管理
D.分包单位不服从管理导致生产安全事故的,由分包单位承担主要责任
E.实行总承包的,分包工程生产安全由总包单位承担主要责任
88、关于施工现场大气污染的处理方法,说法正确的是()。
A.施工现场外围围挡不得低于1.5m
B.施工现场垃圾杂物要及时清理
C.施工现场易飞扬材料应入库密闭存放或覆盖存放
D.施工现场易扬尘处应使用半密目式安全网封闭
E.在施工现场不宜焚烧有毒、有害烟尘和恶臭气体的物资
89、关于施工总承包模式费用控制特点的说法,正确的有( )。
A.投标人的投标报价依据较充分
B.不利于业主对总造价的早期控制
C.在施工过程中发生设计变更,可能发生索赔
D.业主的合同管理工作量大大增加
E.开工前有明确的合同价
90、根据《建设工程施工专业分包合同(示范文本)》(GF-2003-0213),关于分包人责任和义务的说法,正确的有( )
A.分包人应履行并承担总包合同中与分包工程有关的承包人所有义务与责任
B.未经承包人许可,分包人与发包人直接发生工作联系,须承担违约责任
C.分包人可拒绝承包人根据分包合同发生的指令
D.完成合同约定的设计任务,承包人承担由此发生的费用
E.工程未交付承包人前,负责已完成分包工程的成品保护工作
91、根据《标准施工招标文件》中通用合同条款的规定,关于费用控制,正确的有()。
A.预付款保函的担保金额应为预付款金额的10%
B.发包人应在收到监理人签发的进度付款证书后的28天内,将进度应付款支付给承包人
C.监理人出具进度付款证书,不应视为监理人已同意、批准或接受了承包人完成的该部分工作
D.质量保证金的计算额度应包括价格调整的金额
E.在合同约定的缺陷责任期满时,承包人没有完成缺陷责任的,发包人有权扣留与未履行责任剩余工作所需金额相应的质量保证金余额
92、下列关于总价合同、单价合同、成本加酬金合同的表述中,正确的有( )。
A.单价合同适用于工程量暂不确定的工程
B.采用总价合同,承包商的风险较小
C.采用总价合同,要求达到施工图设计深度
D.采用成本加酬金合同,业主的投资控制容易
E.相对于其他两种合同模式,采用总价合同时,业主的风险最小
93、下列损失中,属于建设工程人身意外伤害险中除外责任范围的有( )。
A.被保险人不忠实履行约定义务造成的损失
B.项目建设人员由于施工原因而受到人身伤害的损失
C.战争或军事行为所造成的损失
D.投保人故意行为所造成的损失
E.项目法人和承包人以外的第三人由于施工原因受到的财产损失
94、CIP保险的优点是()。
A.以最优的价格提供最佳的保障范围
B.能实施有效的风险管理
C.业主和承包商平均分担主要风险
D.避免诉讼,便于索赔
E.降低赔付率,进而降低保险费率
95、下列施工文档资料中,应归档为工程施工技术管理资料的有( )。
A.图纸会审记录
B.竣工验收证明书
C.交接检查记录
D.竣工图
E.工程质量事故报告