1、下列有关项目可行性研究的表述中,正确的是()。
A.使项目的建设充分反映业主的意愿
B.直接影响项目的决策质量和设计质量
C.决定工程质量的关键环节
D.决定了设计意图能否体现
本题答案:
B
2、在建设工程质量的适用性中,下列属于使用性能的是()。
A.建设工程的规格尺寸
B.地基基础的牢固程度
C.工业厂房可以满足生产活动需要
D.建筑物的造型
本题答案:
C
3、环境条件是指对工程质量特性起重要作用的环境因素,()属于工程技术环境。
A.通风照明条件
B.工程地质
C.施工环境作业面大小
D.临近的地下管线
本题答案:
B
4、根据《建筑法》,在建的建筑工程因故中止施工的,建设单位应当自中止施工之日起()内,向发证机关报告,并按照规定做好建筑工程的维护管理工作。
A.15天
B.1个月
C.2个月
D.3个月
本题答案:
B
5、我国工程建设实行“政府监督、社会监理与检测、()”的质量管理与保证体系。
A.企业自控
B.企业监控
C.人民监督
D.依法治理
本题答案:
A
6、质量管理体系的认证后的整改工作中,整改期限一般是行业惯例是发现严重不符合项的()。
A.1个月之内
B.2个月之内
C.3个月之内
D.6个月之内
本题答案:
C
7、对监理单位来说,( )是维持质量管理体系生命力的保证。
A.过程方法
B.全员参与
C.以顾客为关注焦点
D.持续改进
本题答案:
D
8、下列各项中不属于监理单位组织编制质量管理体系文件时应遵循原则的是()。
A.可操作性
B.相容性
C.确定性
D.集团性
本题答案:
D
9、卓越绩效模式中,组织质量管理的首要原则是()。
A.强调大质量观
B.以顾客和市场为中心
C.强调系统思考和系统整合
D.强调可持续发展和社会责任
本题答案:
B
10、直方图中出现了绝壁型直方图,说明()。
A.由于分组不当或组距确定不当而造成
B.由于操作中对上限(下限)控制太严而造成
C.由于用两种不同方法或两台设备进行生产而造成
D.由于数据收集不正常,有意识地去掉了下限以下的数据而造成
本题答案:
D
11、当高强度螺栓连接副保管时间超过()个月后使用时,应按相关要求重新进行扭矩系数或紧固轴力试验,并应在合格后再使用。
A.3
B.6
C.8
D.9
本题答案:
B
12、在(),要提供满足设计、施工所需的岩土技术参数,确定地基承载力,预测地基沉降及其均匀性,并且提出地基和基础设计方案建议。
A.可行性研究阶段
B.初步勘察阶段
C.详细勘察阶段
D.方案设计阶段
本题答案:
C
13、监理工程师审查勘察单位提交的勘察成果报告后,应向建设单位提交勘察成果评估报告,不包括()。
A.勘察工作概况
B.勘察报告编制深度
C.与勘察方案的符合情况
D.勘察任务书的完成情况
本题答案:
C
14、对于进口材料、构配件和设备,联合检查由施工单位提出申请,( )组织,( )主持。
A.监理机构,建设单位
B.施工单位,总监理工程师
C.施工单位,建设单位
D.监理机构,施工单位
本题答案:
A
15、暂停施工事件发生时,项目监理机构应如实记录所发生的情况。对于因施工单位原因暂停施工的,应记录()。
A.施工单位人工的数量
B.施工单位设备的数量
C.直接导致停工发生的原因
D.施工单位设备的状态
本题答案:
C
16、安全生产的监理行为要求不包括()。
A.按规定编制监理规划
B.按规定审查专项施工方案
C.按规定对现场实施安全管理
D.监理单位应当依法取得资质证书
本题答案:
D
17、下列()不属于超过一定规模的危险性较大的分部分项工程范围。
A.开挖深度3m的基坑土方开挖
B.混凝土模板支撑工程搭设高度8m
C.起重量300KN 的起重吊装工程
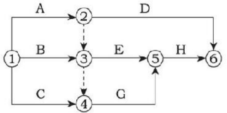
D.搭设高度50m的脚手架工程
本题答案:
A
18、施工前,应由()制定分项工程和检验批的划分方案,并由()审核。
A.监理工程师,建设单位
B.施工单位,监理机构
C.施工单位,建设单位
D.监理工程师,监理机构
本题答案:
B
19、在工程施工质量验收活动中,下列不属于电梯工程质量控制资料核查内容的是()。
A.工程定位测量、放线记录
B.隐蔽工程验收记录
C.施工记录
D.接地、绝缘电阻试验记录
本题答案:
A
20、单位工程验收时,对主要功能还须进行抽查,抽查项目是在检查资料文件的基础上由( )商定。
A.监理和建设单位
B.施工和设计单位
C.设计和建设单位
D.参加验收的各方人员
本题答案:
D
21、造成工程质量缺陷和质量事故的最基本因素不包括()。
A.设计差错
B.盲目抢工
C.使用不当
D.施工图纸缺失
本题答案:
D
22、对于设备采购,一般不采取()方式。
A.市场采购
B.向生产厂家订货
C.招标采购
D.代理采购
本题答案:
D
23、监理工程师在对设备制造的质量控制中,()不是设备制造过程中的质量控制。
A.对加工作业条件的控制
B.对工序产品的检查与控制
C.对生产人员上岗资格的审查
D.对不合格零件的处置
本题答案:
C
24、生产性建设工程项目总投资和非生产性建设工程项目总投资的区别在于()。
A.基本预备费
B.涨价预备费
C.流动资金
D.建设期利息
本题答案:
C
25、做好工程施工记录、保存各种信息档案,参与处理索赔事宜,属于施工阶段投资控制的()措施。
A.组织
B.经济
C.技术
D.合同
本题答案:
D
26、根据《建设工程工程量清单计价规范》(GB50500--2013)规定,建筑安装工程费用由()、规费和税金构成。
A.直接费、间接费、其他项目费
B.分部分项工程费、措施项目费
C.分部分项工程费、措施项目费、其他项目费
D.直接费、间接费、利润
27、若进口设备采用装运港船上交货价,则卖方的责任有()。
A.负责租船订舱,支付运费
B.负责办理保险及支付保险费
C.办理在目的港的进口手续
D.负责货物装船前的一切风险和费用
28、某工程采购的国产标准设备,设备制造厂交货地点出厂价为60万元,设备包装费用为2万元,运输及装卸费用为4万元,采购与保管费用为2万元。则该设备的购置费用为()万元。
A.60
B.62
C.66
D.68
29、某工程,设备与工(器)具购置费为600万元,建筑安装工程费为1000万元,工程建设其他费为100万元,基本预备费率为10%,该工程项目的基本预备费应为()万元。
A.100
B.160
C.170
D.200
30、企业增资扩股属于()筹措方式。
A.新设项目法人资本金
B.信贷融资
C.既有项目法人资本金
D.债券融资
31、下列关于项目融资的有限追索描述错误的是()。
A.贷款人可以在贷款的某个特定阶段对项目借款人实行追索
B.贷款人可以在贷款的一个规定的范围内对项目借款人实行追索
C.无论项目出现任何问题,贷款人均不能追索到项目借款人
D.有限追索的极端是"无追索",即融资百分之百地依赖于项目的经济强度
32、项目融资方式中,通过已建成项目为其他新项目进行融资的是( )。
A.TOT
B.BT
C.BOT
D.PFI
33、某人以8%单利借出15000元,借款期为3年;收回后以7%复利将上述借出资金的本利和再借出,借款期为10年。此人在第13年年末可以获得的复本利和是()万元。
A.3.3568
B.3.4209
C.3.5687
D.3.6589
34、某公司对外投资200万元,期限2年,到期一次性收回本金和利息,年利率为6%,按复利每半年计息一次,则公司到期能收回的复本利和为()万元。
A.224.00
B.224.36
C.224.72
D.225.10
35、下列有关投资回收期的说法正确的是()。
A.投资回收期包括动态投资回收期和静态投资回收期
B.通常,静态投资回收期要长于动态投资回收期
C.考虑静态投资回收期可行时,该方案绝对可行
D.考虑动态投资回收期不可行时,该方案考虑静态投资回收期肯定也是不可行
36、某项目财务净现值FNPV与收益率i之间的关系,如图所示。

若基准收益率为6.6%,该项目的财务内部收益率和财务净现值分别是()。
A.3.0%,21万元
B.3.0%,69万元
C.7.7%,21万元
D.7.7%,69万元
37、关于投资收益率指标的以下说法中,正确的是()。
A.计算投资收益率需要选择正常年份
B.投资收益率指标受到投资规模的限制
C.计算总投资收益率、确定总投资时,需要考虑铺底流动资金
D.投资收益率就是总投资收益率
38、某工业项目固定资产投资3000万元,流动资产为1500万元,其中资本金占项目总投资的50%。投产后,销售税金及附加为150万元,平均年净利润为600万元,则该项目的平均资本金净利润率为()%。
A.13.73
B.26.67
C.38.66
D.27.54
39、将纳入评价的各种因素,根据要求的不同进行加权计算,权数大小应根据它在方案中所处的地位而定,算出综合分数的方法是()。
A.环比评分法
B.德尔菲法
C.直接评分法
D.矩阵评分法
40、用于方案综合评价的方法有很多,下列属于常用的定性评价法的是()。
A.优缺点列举法
B.比较价值评分法
C.加权评分法
D.强制评分法
41、根据功能重要程度选择价值工程对象的方法称为()。
A.因素分析法
B.ABC分析法
C.强制确定法
D.价值指数法
42、对价值工程对象进行价值分析时,成本指数是指评价对象的()。
A.目标成本在总目标成本中所占的比率
B.目标成本与现实成本的比值
C.现实成本在全部成本中所占的比率
D.现实成本与目标成本的比值
43、定额单价法编制施工图预算的过程包括:①计算工程量;②套单价(计算定额基价);③按费用定额取费,并汇总造价;④工料分析;⑤准备资料,熟悉施工图纸。正确的排列顺序是()。
A.④⑤②①③
B.④⑤①②③
C.⑤②①③④
D.⑤①②④③
44、根据《建设工程量清单计价规范》(GB50500-2013),下列关于工程量清单项目编码的说法中,正确的是()。
A.第三级编码为分部工程顺序码,由三位数字表示
B.第五级编码应根据拟建工程的工程量清单项目名称设置,不得重码
C.同一标段含有多个单位工程,不同单位工程中项目特征相同的工程应采用相同编码
D.补充项目编码以“B”加上计算规范代码后跟三位数字表示,并应从001起顺序编制
45、在工程量清单计价表格中,总说明表的适用范围是()。
A.工程计价的各阶段
B.招投标阶段
C.施工阶段
D.设计阶段
46、施工企业进行投标报价时,暂列金额()确定。
A.由施工企业自主确定
B.由政府监督机构
C.根据相关法律法规
D.按招标文件提供的金额计列
47、某工程按月编制的资金使用计划如下图所示,若6月、8月实际投资额为1000万元和700万元,其余月份的实际投资额与计划投资额均相同,关于该工程投资额的说法,正确的是()。

A.第6月末计划累计完成投资额为3100万元
B.第8月末计划累计完成投资额为4500万元
C.第6月末实际累计完成投资额为3000万元
D.第8月末实际累计完成投资额为4600万元
48、在某项目资金使用计划的编制中,项目监理工程师按照建筑安装工程投资.设备及工器具购置投资及工程建设其他投资的方式进行投资分解,此分解类型是()。
A.按投资构成分解类型
B.按子项目分解类型
C.按时间分解类型
D.按融资方式分解类型
49、()就是按合同文件的规定,根据监理人估算的已完成的工程价值支付。
A.估价法
B.凭据法
C.均摊法
D.断面法
50、某工程设备采购合同签订时,设备有关材料的物价指数为125,人工成本指数为80,设备合同价为8.2万美元,双方合同明确,合同价中固定费用占20%,材料费用占56%,人工成本占24%,三个月后交货,采用动态结算。结算时,材料物价指数为1,人工成本指数为88,则设备的结算款是()万美元。
A.8.3152
B.8.5232
C.9.3152
D.9.5232
51、根据《计价规范》的有关规定,下列合同价款调整的事项中,属于索赔类的是()。
A.法律法规变化
B.提前竣工
C.暂估价
D.现场签证
52、任一计日工项目持续进行时,承包人应在该项工作实施结束后的()内向发包人提交有计日工记录汇总的现场签证报告一式三份。
A.12 小时
B.24小时
C.2 天
D.7 天
53、采用造价信息进行价格调整时,需要进行价格调整的材料,其单价和采购数量应由()审批。
A.承包人
B.发包人
C.监理机构
D.价格监管机构
54、某建设工程施工过程中,由发包人供应的材料没有及时到货,导致承包人的工人窝工5个工作日,每个工日单价200元,承包人租赁的一台挖土机窝工5个台班,台班租赁费500元,承包人自卸汽车窝工2个台班,该自卸汽车折旧费每台300元,工作时燃油动力费每台班80元。则承包人可以索赔的费用是()元。
A.2500
B.3500
C.4260
D.4100
55、进度款的支付比例按照合同约定,按期中结算价款总额计,不低于(),不高于()。
A.30%;60%
B.60%;90%
C.30%;90%
D.50%;60%
56、下列选项中不属于总进度纲要主要内容的是()。
A.项目实施的总体部署
B.各子系统进度规划
C.确定里程碑事件的计划进度目标
D.工程施工和设备安装进度
57、进度控制的措施中,对工期提前给予奖励属于()。
A.经济措施
B.组织措施
C.合同措施
D.技术措施
58、审查承包商提交的进度计划,使承包商能在合理的状态下施工属于监理工程师实施进度控制的()。
A.经济措施
B.组织措施
C.合同措施
D.技术措施
59、在工程建设过程中,影响实际进度的自然环境因素是()。
A.材料供应时间不能满足需求
B.不能及时提供施工场地条件
C.复杂的工程地质条件
D.计划安排不周密,组织协调不力
60、()阐明各单位工程的建筑总规模及本年计划完成情况。
A.年度计划项目表
B.投资计划年度分配表
C.工程项目总进度计划
D.年度竣工投产交付使用计划表
61、下列不属于施工单位进度计划内容的是()。
A.施工准备工作计划
B.施工总进度计划
C.单位工程施工进度计划
D.月度进度计划
62、在下列参数中,用来表示流水施工在时间安排上所处状态的参数是()。
A.流水步距
B.流水间隔
C.流水强度
D.流水时距
63、某工程由5个施工过程组成,分为4个施工段组织固定节拍流水施工。在不考虑提前插入时间的情况下,要求流水施工工期不超过44天,则流水节拍的最大值为()天。
A.4
B.5
C.6
D.7
64、关于工程网络计划中关键路线的说法,正确的是()。
A.关键线路上不存在虚工作
B.关键线路是总持续时间最短的线路
C.工程网络计划中只有一条关键路线
D.关键线路在网络计划执行过程中会发生转移
65、某工程双代号网络计划如下图所示,其关键线路有()条。

A.2
B.3
C.4
D.5
66、某建设工程施工进度计划如下图所示(时间单位:天),则该计划的计算工期是()天。

A.20
B.21
C.23
D.25
67、关于工程网络计划中工作总时差的说法,正确的是()。
A.工作总时差在任何情况下均不会小于其自由时差
B.利用工作总时差必然会减小其后续工作的总时差
C.工作总时差是其紧后工作自由时差的构成部分
D.以终点节点为完成节点的工作总时差必然为零
68、在下图的双代号时标网络计划中,如果A、E、G三项工作共用一台施工机械而必须顺序施工,则该施工机械在现场的最小闲置时间为()周。

A.1
B.2
C.3
D.4
69、工程网络计划的费用优化是指寻求()的过程。
A.工程总成本固定条件下最短工期安排
B.资源均衡使用条件下工程总成本最低
C.工程总成本最低时资源均衡使用
D.工程总成本最低时工期安排
70、网络计划的费用优化压缩被压缩对象到()为止。
A.直接费用率或组合大于工程间接费用率
B.直接费用率或组合小于工程间接费用率
C.直接费用率或组合等于工程间接费用率
D.直接费用率或组合最小
71、某工程单代号搭接网络计划如下图所示,其中关键工作是()。

A.工作A和工作F
B.工作C和工作D
C.工作A和工作E
D.工作C和工作E
72、已知某网络计划中工作M的自由时差为1天,总时差为4天。通过检查分析,发现该工作的实际进度拖后,且影响总工期2天。在其它工作均正常的前提下,工作M的实际进度拖后()天。
A.1
B.4
C.5
D.6
73、某工程双代号时标网络计划如下图所示,根据第6周末实际进度检查结果绘制的前锋线如点划线所示。通过比较可以看出()。

A.C工作实际进度拖后2周,影响工期2周
B.D工作实际进度超前2周,不影响工期
C.D工作实际进度拖后3周,影响工期2周
D.E工作实际进度拖后1周,不影响工期
74、某钢筋工程计划用7周完成,每周计划和实际累计完成情况如图所示。关于该工程进度比较结果的说法,正确的是()。

A.实际开始时间晚于计划开始时间1周
B.第2周末实际进度比计划进度拖后5%
C.第4周内计划完成的任务量为28%
D.第5周内实际任务量比计划任务量拖后6%
75、当某项工作实际进度拖延的时间超过其总时差而需要对进度计划进行调整时,除需考虑总工期的限制条件外,还应考虑网络计划中()的限制条件。
A.紧后工作
B.紧前工作
C.后续工作
D.关键工作
76、()要审核设计单位的进度计划和各专业的出图计划。
A.建设单位
B.施工单位
C.监理工程师
D.设计单位
77、在工程建设设计进度控制计划体系中,需要考虑设计分析和评审的工作时间安排的进度计划是()。
A.各专业详细的出图计划
B.施工图设计工作进度计划
C.初步设计工作进度计划
D.设计作业进度计划
78、在建设工程施工阶段,承包单位需要将施工进度计划提交给监理工程师审查,其目的是为了()。
A.表明其履行施工合同的能力
B.听取监理工程师的建设性意见
C.请求监理工程师优化施工进度计划
D.解除其对施工进度计划的责任和义务
79、建设工程实施过程中,施工进度检查的主要方法是()。
A.对比法
B.纠错法
C.调整法
D.图解法
80、下列各项活动中,属于监理工程师控制物资供应进度活动的是()。
A.审查物资供应情况分析报告
B.确定物资供应分包方式
C.办理物资运输手续
D.确定物资供应分包合同清单
81、工程质量控制贯穿于工程项目实施的全过程,下列属于建设单位工程施工阶段质量控制内容的有()。
A.通过施工图设计文件审查进行监控
B.通过项目的可行性研究选择最佳建设方案
C.选择好勘察设计单位,保证工程设计符合决策阶段确定的质量要求
D.择优选择保证工程质量的施工单位
E.择优选择服务质量好的监理单位
82、组织应以战略统领管理活动,获得持续发展和成功。战略要通过()进行部署,以保证战略目标的实现。
A.长期规划
B.定期完善
C.定期检查
D.短期规划
E.短期计划
83、排列图是一种常见的质量控制统计分析方法,它可用于()。
A.分析造成质量问题的薄弱环节
B.评价生产过程的能力
C.掌握质量数据的分布规律
D.分析质量控制措施的有效性
E.找出生产不合格品最多的关键过程
84、控制图按用途分为分析用控制图和管理用控制图,管理用控制图( )。
A.可以用来控制生产过程
B.可以用来控制质量成本
C.可以找出质量问题的原因
D.是静态的
E.是动态的
85、钢材进厂时,应按国家现行标准的规定抽取试件作( )检验,检验结果应符合相应钢材试验标准的规定。
A.安定性
B.强度
C.力学性能
D.重量偏差
E.坍落度
86、在工程施工质量控制中,监理工程师进行质量检验与控制所依据的有关质量管理方面的行政法规包括()。
A.《中华人民共和国建筑法》
B.《民用建筑节能条例》
C.《建设工程质量管理条例》
D.《建筑工程施工许可管理办法》
E.《房屋建筑和市政基础设施工程质量监督管理规定》
87、图纸会审的内容包括()。
A.图纸是否已经审查机构签字、盖章
B.设计地震烈度是否符合当地要求
C.地质勘探资料是否齐全,设计图纸与说明是否齐全
D.地基处理方法是否合理、建筑与结构构造是否存在不能施工、不便于施工的技术问题,或容易导致质量、安全、工程费用增加等方面问题
E.装饰质量是否符合要求;施工进度是否合理
88、工程开工前,项目监理机构现场施工准备质量控制的工作包括()。
A.施工现场质量管理检查
B.分包单位资质的审核确认
C.施工试验室的检查
D.巡视与旁站
E.查验施工控制测量成果
89、在工程施工过程质量控制中,巡视检查的要点包括()。
A.检查屋面工程
B.检查装饰装修工程
C.检查模板工程
D.检查施工环境
E.检查监理规划
90、在分部工程质量验收中,()应参加主体结构、节能分部工程的验收。
A.设计单位项目负责人
B.施工单位技术负责人
C.勘察单位项目负责人
D.施工单位质量负责人
E.总监理工程师
91、施工过程中,检验批的验收应由专业监理工程师组织施工单位项目()等进行验收。
A.项目技术负责人
B.专业质量检验员
C.专业工长
D.项目负责人
E.试验室检验人员
92、下列工程质量事故情形中,属于规定的特别重大事故的有()。
A.死亡30人
B.死亡20人
C.直接经济损失1亿元
D.重伤80人
E.直接经济损失8000万元
93、工程质量事故处理的基本方法包括()。
A.工程质量事故处理方案的确定
B.工程质量事故处理后的鉴定验收
C.专家论证
D.方案比较
E.定期观测
94、向生产厂家订购设备前,对合格供货商的评审内容有()。
A.企业性质和生产规模
B.经营范围和生产许可证
C.生产能力和技术水平
D.过去几年的资金平衡表和资产负债表
E.检验检测手段及试验室资质
95、在建设工程投资中,需分别计算(),最后才能汇总形成建设工程投资。
A.检验批投资
B.分部分项工程投资
C.单元工程投资
D.单位工程投资
E.单项工程投资
96、为了有效地控制建设工程投资,从技术上采取措施包括()。
A.重视设计多方案选择
B.严格审查监督初步设计
C.明确投资控制者及其任务
D.深入技术领域研究节约投资的可能性
E.明确管理职能分工
97、世界银行、国际咨询工程师联合会对项目的总建设成本的规定中,其项目间接建设成本包括()。
A.项目管理费
B.管理系统费用
C.开工试车费
D.业主的行政性费用
E.电气安装费
98、按费用构成要素划分的建筑安装工程费中,施工机械使用费包含的税费主要指施工机械按照国家规定应缴纳的()。
A.车船使用税
B.保险费
C.维修费
D.办公费
E.城市建设维护税
99、建设项目费用构成中,引进技术和进口设备其他费包括()。
A.分期或延期付款利息
B.进口设备维修保养费
C.进口设备检验鉴定费用
D.担保费
E.国外工程技术人员来华费用
100、工程保险费是指建设工程在建设期间根据需要,实施工程保险部分所需费用,包括()。
A.建筑工程一切险
B.财物保险
C.工伤保险
D.安装工程一切险
E.机器损坏保险
101、下列费用中,属于工程建设其他费用的有( )。
A.建设单位管理费
B.建筑安装企业临时设施费
C.生产准备费
D.建设工程监理费
E.铺底流动资金
102、以下属于企业资产,且可以进行变现的通常包括()。
A.短期投资
B.长期投资
C.预收款项
D.融资租赁资产
E.无形资产
103、下列评价指标中,反映项目偿债能力的有()。
A.资产负债率
B.累计盈余资金
C.偿债备付率
D.投资回收期
E.资本金净利润率
104、在价值工程活动过程中,分析出V>1则表明()。
A.实际成本偏低
B.功能可能过剩
C.实际成本偏高
D.功能可能不足
E.不能确定
105、定型或成套设备购置费由()组成。
A.设备出厂价格
B.运输费
C.折旧费
D.采购保管费
E.安拆费及场外运费
106、根据《建设工程工程量清单计价规范》GB50500-2013的规定,下列关于其他项目清单的说法正确的有()。
A.暂列金额是招标人暂定并包括在合同中的一笔款项
B.暂估价包括材料暂估价、工程设备暂估价和专业工程暂估价
C.计日工是为了解决现场发生的零星工作的计价而设立的
D.对专业暂估价一般应是综合暂估价,应当包括规费、税金、管理费
E.暂估价中的材料、工程设备暂估单价应根据工程造价信息或参照市场价格估算,列出明细表
107、下列有关工程预付款的描述,正确的有()。
A.预付款主要解决承包人施工准备阶段资金周转问题
B.预付款应以具体数据约定,即绝对数
C.预付款的支付时间可以是合同签订后一个月
D.预付款的支付时间可以是开工日前7 天
E.工程预付款应是合同金额的10%
108、采用计日工计价的任何一项变更工作,在该项变更的实施过程中,承包人按合同约定应该提交()。
A.耗用工时
B.投入该工作所有人员的工种
C.投入该工作管理人员的工资证明
D.投入该工作的施工设备型号
E.投入该工作的材料报价
109、根据《标准施工招标文件》,出现()情况且对承包商造成影响时,承包商也不能索赔利润。
A.不可抗力
B.法律变化引起的价格调整
C.业主未能提供现场
D.文件有技术错误
E.发包人原因引起的暂停施工
110、在承包人索赔中,总部管理费可以按照()计算。
A.银行同期贷款利率
B.投标书中总部管理费比例(3%~8%)
C.公司总部统一规定的管理费比率
D.工程延期总天数和每日管理费
E.误期损害赔偿费的费率
111、监理单位受业主委托对建设工程设计和施工实施全过程监理时,监理工程师在设计准备阶段进度控制的任务包括()。
A.协助业主确定工期总目标
B.办理工程立项审批或备案手续
C.办理建筑材料及设备订货手续
D.调查和分析环境及施工现场条件
E.编制施工图出图计划
112、影响建设工程进度的不利因素有很多,其中属于组织管理因素的有()。
A.地下埋藏文物的保护及处理
B.合同签订时遗漏条款、表达失当
C.有关方拖欠资金
D.计划安排原因导致相关作业脱节
E.向有关部门提出各种申请审批手续的延误
113、关于组织流水施工中时间参数的问题,下列叙述正确的有()。
A.流水节拍是某个专业队在一个施工段上的施工时间
B.时间参数是指在组织流水施工时,用以表达流水施工在时间安排上所处状态的参数
C.流水步距是相邻两个施工过程(或专业工作队)相继开始施工的最小间隔时间
D.流水施工工期是指第一个专业队投入流水施工开始到最后一个专业队完成流水施工为止的持续时间
E.流水节拍的数目取决于参加流水的施工过程数
114、考虑工程项目的()要求,施工可以采用依次施工.平行施工和流水施工等方式。
A.施工特点
B.工艺流程
C.资源利用
D.平面或空间布置
E.生产效率
115、下述有关虚工作的说法正确的是()。
A.有工作内容
B.不消耗资源
C.不消耗时间
D.用来表示相邻两项工作之间的逻辑关系
E.在绘制双代号网络图时可能引用
116、某双代号网络图如下图所示,互为平行工作的有()。

A.工作A和工作C
B.工作D和工作E
C.工作A和工作G
D.工作B和工作G
E.工作E和工作G
117、某工程双代号网络计划中各个节点的最早时间和最迟时间如下图所示。该计划表明()。

A.工作1-2和工作1-3同为关键工作
B.工作2-5的总时差与自由时差相等
C.工作3-5与工作4-7的自由时差相等
D.工作3-6的总时差与自由时差相等
E.工作5-7和工作6-7同为非关键工作
118、某工作计划进度与实际进度如下图所示,从图中可获得的正确信息有()。

A.前3天实际进度和计划进度均为匀速进展
B.第3天计划工作量大于实际完成工作量
C.实际施工时间与计划施工时间相同
D.第4天实际停工1天
E.第5天至第6天实际进度为匀速进展
119、横道图中的横道线,无论是计划的还是实际的,只能表示工作的()。
A.开始时间
B.计划完成的任务量
C.实际完成的任务量
D.完成时间
E.持续时间
120、监理工程师审核施工进度计划的内容有()。
A.进度安排是否符合施工合同中开工、竣工日期的约定
B.劳动力、工程材料进场安排是否与工程量清单相一致
C.分期施工是否满足分批动用或配套动用的要求
D.施工管理及现场作业人员的职责分工是否明确
E.在生产要素的需求高峰期是否有足够能力实现计划供应