1、施工方作为项目建设的一个参与方,其项目管理主要服务于施工方本身的利益和( )。
A.设计方的利益
B.总承包方的利益
C.社会的利益
D.项目的整体利益
本题答案:
D
2、编制可行性研究报告属于建设工程项目全寿命周期()。
A.决策阶段的工作
B.实施阶段的工作
C.设计准备阶段的工作
D.施工阶段的工作
本题答案:
A
3、线性组织结构模式的特点之一是()。
A.组织内每个工作部门可能有多个矛盾的指令源
B.组织内每个工作部门有横向和纵向两个指令源
C.能促进组织内管理专业化分工
D.组织内每个工作部门只接受一个上级的直接领导
本题答案:
D
4、项目组织分工反映了一个组织系统中()。
A.各子系统的工作任务分工和管理职能分工
B.各项工作之间的逻辑关系
C.各子系统的工作任务
D.各组成部门之间的指令关系
本题答案:
A
5、所谓管理是由提出问题、筹划、决策、执行和检查等多个环节组成的过程。下列选项中属于决策环节的是()。
A.执行补救方案
B.从多个方案中确定一个拟执行方案
C.进行多个补救方案比较
D.检查补救方案的执行情况
本题答案:
B
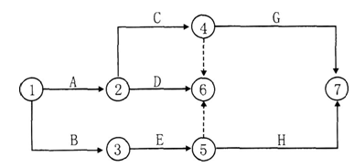
6、反映各工作部门和各工作岗位对各项工作任务的项目管理职能分工的是()。
A.工作任务分工表
B.管理职能分工表
C.项目结构图
D.合同结构图
本题答案:
B
7、设计变更工作流程组织属于()。
A.信息处理工作流程
B.施工作业工作流程组织
C.物质流程组织
D.管理工作流程组织
本题答案:
D
8、编制施工组织总设计时,有些编制工作的顺序是不可逆转的,一般拟定完施工方案后才可编制()。
A.施工总体部署
B.计算主要工种工程的工程量
C.施工总进度计划
D.施工条件的调查研究
本题答案:
C
9、合理安排施工顺序属于施工组织设计中( )的内容。
A.工程概况
B.施工部署及施工方案
C.施工进度计划
D.施工平面图
本题答案:
B
10、建设工程施工风险管理的工作程序中,风险应对的下一步工作是()。
A.风险监控
B.风险评估
C.风险识别
D.风险预测
本题答案:
A
11、下列选项中,属于风险识别工作的是()。
A.确定风险因素
B.分析各种风险的损失量
C.向保险公司投保
D.分析风险因素发生的概率
本题答案:
A
12、由于事故防范措施和计划制定的不完善,导致项目施工过程中一些安全隐患未能及时发现,未进行有效防范,造成很大的安全风险,这属于()风险。
A.组织
B.工程环境
C.经济与管理
D.技术
本题答案:
C
13、工程监理机构应以事实为依据,以法律和有关合同为准绳,在维护业主的合法权益时不损害承包商的合法权益,这体现了建设工程监理的()。
A.服务性
B.公平性
C.独立性
D.科学性
本题答案:
B
14、根据《建设工程监理规范》,对中型及以上或专业性较强的工程项目,项目监理机构应编制工程建设监理实施细则,并必须经()批准后执行。
A. 监理单位技术负责人
B. 总监理工程师
C. 专业监理工程师
D. 业主代表
本题答案:
B
15、根据《建设工程监理规范》,监理实施细则应在()前由专业监理工程师编制,并报总监理工程审批。
A.第一次工地会议
B.工程施工开始前
C.签订监理合同
D.施工招标
本题答案:
B
16、根据《建筑安装工程费用项目组成》(建标〔2013〕44号),大型机械设备进出场及安拆费属于()。
A.建筑安装工程措施费
B.建筑安装工程机械费
C.建筑安装工程企业管理费
D.建设单位生产准备费
本题答案:
A
17、对于设在市区的施工企业,其城市维护建设税的税率为()。
A.1%
B.3%
C.5%
D.7%
本题答案:
D
18、某新建工程,采购一批Φ12的螺纹钢筋200t,钢筋的供应价格为4280元/t,运费为60元/t,运输损耗为0.25%,采购保管费率为1%,则该钢筋的采购单价为()元。
A.3999.9
B.4030
C.4350.85
D.4394.36
本题答案:
D
19、机械时间定额与机械产量定额之间的关系为()。
A.互为倒数
B.互成正比
C.需分别独立核算
D.不存在直接关系
本题答案:
A
20、以规定计量单位的分项工程为编制对象的定额是()。
A.施工定额
B.预算定额
C.概算定额
D.概算指标
本题答案:
B
21、工程量清单计价模式下,关于分部分项工程量和定额子目的说法,错误的是()。
A.清单工程量是按施工图图示尺寸和工程量凊单计算规则计算得到的工程净量
B.定额子目工程量应严格按照与所釆用的定额相对应的工程量计算规则计算
C.一个清单项目对应一个定额子目时,清单工程量和定额工程量很可能不同
D.清单工程量是承包人履行合同义务中应予完成的实际施工工程量
本题答案:
D
22、某工程因为发包人原因造成承包人自有施工机械窝工10天,该机械市场租赁费为1200元/天,进出场费2000元,台班费500元/台班,其中台班折旧费160元/台班,计划每天工作1台班,共使用40天,则承包人索赔成立的费用是()元。
A.4000
B.1600
C.12000
D.12500
本题答案:
B
23、发包人应在收到承包人的签证报告()内给予确认或提出修改意见,否则视为该签证报告已经认可。
A.12小时
B.24小时
C.28小时
D.48小时
本题答案:
D
24、在施工过程中,对影响施工成本的各种因素加强管理,并采取各种有效措施,将施工中实际发生的各种消耗和支出严格控制在成本计划范围内,指的是()。
A.成本预测
B.成本分析
C.成本控制
D.成本核算
本题答案:
C
25、关于竞争性成本计划、指导性成本计划和实施性成本计划三者区别的说法,正确的是()。
A.竞争性成本计划是项目投标和签订合同阶段的估算成本计划,比较粗略
B.指导性成本计划是项目施工准备阶段的施工预算成本计划,比较详细
C.实施性成本计划是选派项目经理阶段的预算成本计划
D.指导性成本计划是以项目实施方案为依据编制的
本题答案:
A
26、施工成本控制要以工程承包合同为依据,围绕降低工程成本这个目标,从(),努力挖掘增收节支潜力。
A.预算收入和实际成本
B.预算支出和实际成本
C.预算收入和成本支出
D.实际成本和成本支出
27、 某工程按月编制的成本计划如下图所示,若6月、7月实际完成的成本为700万元和1000万元,其余月份的实际成本与计划相同,则关于成本偏差的说法,错误的是()。

A. 第6个月末的实际成本累计值为2550万元
B. 第6个月末的计划成本累计值为2650万元
C. 第7个月末的实际成本累计值为3550万元
D.第7个月末的计划成本累计值为3500万元
28、费用绩效指数(CPI)等于()。
A.已完工作预算费用/已完工作实际费用
B.已完工作预算费用/计划工作预算费用
C.已完工作实际费用/已完工作预算费用
D.已完工作实际费用/计划工作预算费用
29、用来衡量成本降低的实际成果,对成本指标完成情况的总结和评价。上述描述的是施工成本管理的任务中的()。
A.施工成本分析
B.施工成本考核
C.施工成本核算
D.施工成本控制
30、分部分项工程成本分析的对象是()。
A.已完成分部分项工程
B.未完成分部分项工程
C.计划完成分部分项工程
D.实际完成分部分项工程
31、施工项目年度成本分析的重点是()。
A.通过实际成本与目标成本的对比,分析目标成本落实情况
B.通过对技术组织措施执行效果的分析,寻求更加有效的节约途径
C.通过实际成本与计划成本的对比,分析成本降低水平
D.针对下一年度进展情况,制定切实可行的成本管理措施
32、进行建设工程项目总进度目标论证的工作,第一步是()。
A.调查研究和收集资料
B.确定项目的工作编码
C.进行项目结构分析
D.编制各层(各级)进度计划
33、在项目的实施阶段,项目总进度不仅只是施工进度,下列内容中,不属于实施阶段工作进度的是()。
A.设计准备工作阶段的工作进度
B.招标工作进度
C.工程物资采购工作进度
D.质量保修工作进度
34、子项目施工进度计划属于()的组成部分。
A.企业年度生产计划
B.项目施工月度计划
C.工程项目施工进度计划
D.单体工程施工进度计划
35、某分部工程双代号网络计划如下图所示,根据双代号网络计划的绘图规则,其作图错误问题是()。

A.节点编号不对
B.逻辑关系不对
C.有多个起点节点
D.有多个终点节点
36、工程网络计划中,某工作的()最小,则该工作是关键工作。
A.与紧后工作的时间间隔
B.总时差
C.自由时差
D.持续时间
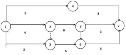
37、某工程双代号网络计划如图所示,其中关键线路有()条。

A.1
B.2
C.3
D.4
38、施工进度计划的编制方法有多种,其中()是一种最简单并运用最广泛的传统的计划方法。
A.横道图
B.双代号网络计划
C.单代号网络计划
D.双代号时标网络计划
39、进度控制工作包含了大量的组织和协调工作,关于会议在组织和协调工作中的作用的说法,正确的是()。
A.进度协调会议的组织者是业主
B.进度协调会议的组织者是总监理工程师
C.进度协调会议每周召开
D.会议是组织和协调的重要手段,应进行有关进度控制会议的组织设计
40、下列施工进度控制措施中,属于技术措施的是()。
A.编制进度控制工作流程
B.优选施工方案
C.重视信息技术的应用
D.进行进度控制的会议组织设计
41、保证施工质量的重要措施是正确应用以下机械设备中的()。
A.电梯
B.泵机
C.消防设备
D.操作工具
42、工程项目质量管理中,应当在数据和信息分析的基础上作出决策,这是质量管理原则中的()的要求。
A.持续改进
B.过程方法
C.循证决策
D.关系管理
43、在检验批质量验收时,对检验批的基本质量起决定性影响的检验项目是()。
A.主控项目
B.资料检查
C.一般项目
D.观感质量
44、不能作为施工质量验收的重要依据的是()。
A.双方签订的施工合同
B.批准的设计文件、施工图纸
C.设备技术说明书
D.发包方与承包方的口头协议
45、根据我国《质量管理体系基础和术语》GB/T19000—2016的术语解释,凡工程产品未满足质量要求,就称之为()。
A.质量不合格
B.质量问题
C.质量缺陷
D.质量事故
46、政府对工程质量监督的行为从性质上属于()。
A.技术服务
B.委托代理
C.行政执法
D.司法审查
47、分部工程验收时,各方分别签字的质量证明文件在验收后3天内,应由()报送工程质量监督机构备案。
A.建设单位
B.监理单位
C.施工单位
D.设计单位
48、某施工工地发生一起起重机钢绳断裂导致起吊的钢梁坠落,发生现场施工人员伤亡事故,则该安全事故中,第一类危险源和第二类危险源分别是()。
A.起重机、钢绳断裂
B.钢梁、钢梁坠落
C.起重机、钢梁坠落
D.钢梁、钢绳断裂
49、采用安全事故发生的可能性与事故后果的严重程度之乘积衡量安全风险大小时,如果安全事故发生的可能性极小,而事故的后果为严重伤害,则该风险应视为()。
A.重大风险
B.中度风险
C.可容许风险
D.不容许风险
50、从事特种作业人员须经培训并取得特种作业操作证。特种作业操作证每()年复审一次;连续从事本工种10年以上的,严格遵守有关安全生产法律法规的,经原考核发证机关或者从业所在地考核发证机关同意,复审时间可延长至每()年一次。
A.2,4
B.3,4
C.2,6
D.3,6
51、按照《特种作业人员安全技术培训考核管理规定》的规定,下列关于特种作业人员持证上岗制度的说法中,正确的是()。
A.特种作业操作证在各省、自治区、直辖市范围内有效
B.特种作业操作证每两年复审一次
C.对于未经培训考核,即从事特种作业的,依照刑法的有关规定追究刑事责任
D.离开特种作业岗位达6个月以上的特种作业人员,应当重新进行实际操作考核,经确认合格后方可上岗作业
52、建筑施工企业安全生产管理工作中,()是清除隐患、防止事故、改善劳动条件的重要手段。
A.安全监察制度
B.伤亡事故报告处理制度
C.“三同时”制度
D.安全检查制度
53、某工厂安装工程发生整体倾覆事故,正在施工的工人39人死亡,50人重伤,直接经济损失500万元。按照事故造成损失的严重程度,该事故可判定为()。
A.一般事故
B.较大事故
C.重大事故
D.特别重大事故
54、施工现场的临时食堂,用餐人数在()以上,污水排放时可设置简易有效的隔油池,定期掏油、清理杂物,防止污染水体。
A.50人
B.70人
C.90人
D.100人
55、施工发承包模式的选择权在()。
A.施工总承包管理单位
B.业主
C.施工总承包单位
D.政府有关主管部门
56、()是广泛采用的正式的验收方法,由仓库管理人员负责数量和外观检验。
A.驻厂验收
B.入库验收
C.接运验收
D.提运验收
57、建筑施工企业与物资供应企业就某建筑材料的供应签订合同,如该建筑材料不属于国家定价的产品,则其价格应()。
A.报请物价主管部门确定
B.由供需双方协商确定
C.参考国家定价确定
D.按当地工程造价管理部门公布的指导价确定
58、根据《建设工程施工专业分包合同(示范文本)》GF—2003—0213的规定,承包人应当向分包人提供()。
A.全套总包合同供分包人查阅
B.合同专用条款中约定的设备和设施,费用由分包人承担
C.与监理公司签订的合同
D.与分包工程相关的各种证件、批件和各种相关资料
59、根据《标准施工招标文件》,现场地质勘探资料、水文气象资料的准确性应由()负责。
A.地质勘察单位
B.发包人
C.承包人
D.监理人
60、如承包人未通知监理人到现场检查,私自将工程隐蔽部位覆盖的,对于监理人提出的重新检验要求,重新检验的费用()。
A.应由承包人承担
B.应由发包人承担
C.应视重新检验结果,确定由哪方承担
D.由承包人和发包人各承担50%
61、关于固定总价合同适用性,下列说法正确的是()。
A.工程量大、工期长,施工过程中环境因素变化大
B.工程设计详细,图纸完整、清楚,工程任务和范围明确
C.工程结构和技术复杂,风险较大
D.时间特别紧迫,如抢险、救灾工程,来不及进行详细的计划和商谈
62、采用成本加酬金合同时,奖金是根据报价书中的成本估算指标制定的,在合同中对这个估算指标规定一个底点和顶点,分别为工程成本估算的()。
A.30%~65%,105%~120%
B.60%~75%,110%~135%
C.60%~75%,115%~135%
D.70%~85%,120%~145%
63、下列工程项目中,宜采用成本加酬金合同的是()。
A.工程量暂不确定的工程项目
B.时间特别紧迫,如抢险、救灾工程时间特别紧迫
C.工程设计详细,图纸完整、清楚,工程任务和范围明确的工程项目
D.工程结构和技术简单的工程项目
64、若承包人收到监理人的变更意向书后认为难以实施此项变更,应立即通知( )。
A.发包人
B.设计单位
C.监理人
D.技术负责人
65、根据《标准施工招标文件》,可以发出变更指示的是()。
A.发包人
B.监理人
C.设计单位
D.总承包商
66、对合同实施偏差分析的内容不包括()。
A.产生偏差的原因分析
B.合同实施偏差的责任分析
C.调整措施实施效果的分析
D.合同实施趋势分析
67、保险合同包含除外责任条款,除外责任属于免赔责任,保险的除外责任包括()。
A.投保人行为所造成的损失
B.被保险人犯罪行为所造成的损失
C.因被保险人不忠实履行约定义务所造成的损失
D.破坏性检测行为所造成的损失
68、下列工程管理信息资源中,属于工程组织类信息资源的是()。
A.质量控制信息
B.物资有关的技术信息
C.项目融资的信息
D.专家信息
69、某高层办公楼工程项目,由甲公司进行施工总承包,主体结构工程施工由甲公司自行承担;桩基工程.暖通工程.装饰装修工程等经业主同意由甲公司分包给其他施工单位施工,本项目的暖通工程和装饰装修工程之间进行工程交接,《交接检查记录》中的“见证单位”应为()。
A.政府质监部门
B.建设单位
C.监理单位
D.总承包单位
70、档案保管期限分为永久、长期、短期三种期限,其中长期是指()。
A.需永久保存
B.保存期限等于该工程的使用寿命
C.保存20年以上
D.保存10年以上
71、关于项目结构分解的说法,正确的有()。
A.项目结构图通过树状图的方式对一个项目的结构进行逐层分解
B.项目结构图能够反映组成该项目的所有工作任务
C.同一个建设工程项目只能够有一个项目结构分解方法
D.项目结构的分解应和整个工程实施的部署相结合,并结合将采用的合同结构
E.项目结构分解考虑到项目进展的总体部署,采用统一的分解方案
72、依据《建设工程项目管理规范》GB/T50326—2017,下列说法正确的是()。
A.项目经理应主持制定并落实质量、安全技术措施和专项方案
B.在项目实施之前,由法定代表人与企业职能部门商定项目目标责任书
C.对各类资源进行质量管控和动态管理是项目经理的职责
D.项目经理有权在授权范围内与项目相关方进行直接沟通
E.项目经理无权参与项目招标、投标和合同签订
73、下列建设工程施工风险的因素中,属于经济与管理风险因素的有()。
A.合同风险
B.现场与公用防火设施的可用性及其数量
C.事故防范措施计划
D.自然灾害
E.承包商管理人员的能力
74、根据《建设工程质量管理条例》(国务院令第279号,2000年)的有关规定,监理工程师应当按照工程监理规范的要求,采取()等形式,对建设工程实施监理。
A.旁站
B.巡视
C.抽样调查
D.听取汇报
E.平行检验
75、企业管理费费率计算以()为计算基础。
A.分部分项工程费
B.材料费
C.人工费
D.人工费和材料费
E.人工费和机械费
76、人工定额是根据国家的经济政策、劳动制度和有关技术文件及资料制定的。制定人工定额,常用的方法有()。
A.技术测定法
B.统计分析法
C.因素分析法
D.比较类推法
E.经验估计法
77、承包人在缺陷责任期终止证书颁发后,向发包人提交了最终结清申请单,其中最终结清申请单中应列明()。
A.合同价款
B.质量保证金
C.应扣除的质量保证金
D.累计已支付的工程款
E.缺陷期内发生的增减费用
78、对于不可抗力事件中造成以下事件,由发包人承担费用的是()。
A.承包人的工人窝工
B.发包人提供的设备损坏
C.承包人的机械损坏
D.修复工程本身损害的费用
E.施工现场的清理费用
79、根据《标准施工招标文件》中合同条款的规定,下列事件发生时,承包人可以向发包人索赔利润的有()。
A.承包人遇到不利物质条件
B.发包人的原因造成工期延误
C.发包人要求承包人提前竣工
D.发包人原因引起的暂停施工
E.法律变化引起的价格调整
80、关于施工成本核算的方法,正确的有()。
A.成本核算时应做到预测、计划、实际成本三同步
B.项目管理机构应按规定的会计周期进行项目成本核算
C.竣工工程完全成本用于考核项目管理绩效
D.竣工工程完全成本是由企业财务部门核算
E.施工成本一般以单位工程为成本核算对象
81、为规范项目成本管理行为,管理行为控制程序所制定的约束和激励体系的主要内容有()。
A.建立成本管理体系的评审组织和评审程序
B.建立成本管理体系运行的评审组织和评审程序
C.目标制定,过程落实
D.目标考核,定期检查
E.制定对策,纠正偏差
82、横道图是进行费用偏差分析的常用方法,其特点包括()。
A.灵活,使用性强
B.可借助于计算机处理
C.一般在项目较高管理层应用
D.信息量少
E.形象直观,一目了然
83、进行分部分项施工成本分析,其资料来源包括()。
A.工程合同总价
B.实耗人工和材料
C.施工预算
D.实际工程量
E.工程概算
84、成本分析的步骤包括()。
A.选择成本分析方法
B.工作任务分解单元成本分析
C.分析成本形成原因
D.收集成本信息
E.确定成本结果
85、关于建设工程项目进度控制的说法,不正确的有()。
A.各参与方都有进度控制的任务
B.各参与方进度控制的目标和时间范畴相同
C.进度控制是一个动态的管理过程
D.进度目标的分析论证是进度控制的一个环节
E.项目实施过程中不允许调整进度计划
86、下图所示的双代号网络图中,存在绘图错误的有()。

A.循环回路
B.多个起点节点
C.多个终点节点
D.一对节点编号代表多项工作
E.节点编号顺序错误
87、施工进度计划的调整应包括( )。
A.工程量的调整
B.工期的调整
C.工作(工序)起止时间的调整
D.工作关系的调整
E.资源提供条件的调整
88、项目经理必须组织做好隐蔽工程的验收工作,必须参加()验收。
A.检验批验收
B.地基基础
C.主体结构
D.单位工程
E.工程竣工验收
89、在质量管理体系中,获准认证后监督管理工作的主要内容有()等。
A.内部审核
B.企业通报
C.认证注销
D.复评
E.认证暂停
90、根据《建筑工程施工质量验收统一标准》,单位(子单位)工程质量验收合格的规定有()。
A.单位(子单位)工程所含分部(子分部)工程的质量均应验收合格
B.质量控制资料应完整
C.单位(子单位)工程所含分部工程有关安全和功能的检测资料应完整
D.主要功能项目的抽查结果应符合相关专业质量验收规范的规定
E.单位工程的工程监理质量评估记录应符合各项要求
91、下列现场质量检查方法中,运用实测法检查的有()。
A.断面尺寸的偏差
B.油漆的光滑度
C.浆活是否牢固
D.踢脚线的垂直度
E.墙面、地面的平整度
92、施工质量事故发生的原因大致包括()。
A.非法承包,偷工减料
B.自然条件的影响
C.设计标准过高
D.勘察设计的失误
E.施工的失误
93、根据《建设工程安全生产管理条例》,下列建设工程活动中,属于特种作业的有()。
A.登高架设作业
B.起重信号作业
C.建筑外墙抹灰作业
D.卫生洁具安装作业
E.起重机械操作作业
94、地方各级人民政府应急管理部门的应急预案,应当报()备案。
A.同级其他负有安全生产监督管理的部门
B.同级人民政府
C.上一级人民政府应急管理部门
D.上一级人民政府
E.同级建设行政主管部门
95、下列事故逐级上报至国务院建设主管部门的有()。
A.重伤事故
B.一般事故
C.较大事故
D.重大事故
E.特别重大事故