1、关于建设工程项目管理的表述,不正确的是( )。
A.建设工程项目管理的内涵是自项目开始至项目完成,通过项目策划和项目控制,以使项目的费用目标、进度目标和质量目标得以实现
B.自项目开始至项目完成指的是项目的实施期
C.项目实施期管理的主要任务是通过管理使项目的目标得以实现
D.项目决策期管理工作的主要任务是确定项目的工期
本题答案:
D
2、关于施工总承包方的管理任务,下列说法错误的是( )。
A.负责整个工程的施工安全、施工总进度控制、施工质量控制和施工的组织与协调等
B.控制施工的成本
C.施工总承包方是工程施工的总指挥者和总组织者
D.负责施工资源的供应组织
本题答案:
C
3、设计方的项目管理工作主要在设计阶段进行,但也会涉及其它阶段,下列不属于其涉及阶段的是( )。
A.设计前准备阶段
B.施工阶段
C.动用前准备阶段
D.决策阶段
本题答案:
D
4、关于工作任务分工的说法,错误的是( )。
A.组织论中的组织分工就是工作任务分工
B.工作任务分工可以用相应的组织工具表示其组织关系
C.项目各参与方有各自的项目管理工作任务分工
D.工作任务分工应随着项目进展而不断深化和细化
本题答案:
A
5、通过树状图的方式对一个项目的结构进行逐层分解,以反映组成该项目的所有工作任务的组织工具是( )。
A.组织结构图
B.项目结构图
C.合同结构图
D.工作流程图
本题答案:
B
6、建设工程项目作为系统,具有的特性是( )。
A.一次性
B.重复性
C.相关性
D.不确定性
本题答案:
A
7、在( )之前,应结合项目的特点,对项目实施各阶段的费用控制、进度控制、质量控制、合同管理、信息管理和组织与协调等管理任务进行详细分解。
A.编制管理职能分工表
B.编制项目管理任务分工表
C.绘制组织结构图
D.绘制工作流程图
本题答案:
B
8、针对某新建工厂的特大构件的吊装,应当编制( )。
A.分部(分项)工程施工组织设计
B.单位工程施工组织设计
C.施工规划分部
D.施工组织总设计
本题答案:
A
9、单位工程施工组织设计的主要内容一般不包括()。
A.施工方法和施工机械的选择
B.工程概况及施工特点分析
C.各项资源需求量计划
D.技术组织措施、质量保证措施和安全施工措施
本题答案:
A
10、在项目目标动态控制中,采取的调整设计、改进施工方法和改变施工机具等措施,属于纠偏措施中的()。
A.技术措施
B.管理措施
C.组织措施
D.经济措施
本题答案:
A
11、在施工成本动态控制过程中,当对工程合同价与实际施工成本、工程款支付进行比较时,成本的计划值是( )。
A.工程款支付额
B.实际施工成本
C.工程合同价
D.施工图预算
本题答案:
C
12、在我国关于施工项目经理的地位、作用的说法,正确的是( )。
A.项目经理是一种专业人士的名称
B.项目经理的管理任务不包括项目的行政管理
C.项目经理是企业法定代表人在项目上的代表人
D.没有取得建造师执业资格的人员也可担任施工项目的项目经理
本题答案:
C
13、项目管理目标责任书应在( )之前,由法定代表人或其授权人与项目经理协商制定。
A.项目实施
B.项目完工
C.项目批准
D.项目验收
本题答案:
A
14、项目风险管理过程包括①项目风险应对;②项目风险评估;③项目风险识别;④项目风险监控。其正确的管理流程是( )。
A.③—②—④—①
B.③—②—①—④
C.②—③—④—①
D.①—③—②—④
本题答案:
B
15、下列选项中,不属于监理实施细则编制依据的是( )。
A.施工合同文件
B.工程设计文件
C.施工组织设计
D.监理规划
本题答案:
A
16、在《建设工程质量管理条例》(国务院令第279号,2000年)的有关规定中,监理人员不包括( )。
A.总监理工程师
B.监理工程师
C.监理监督员
D.监理员
本题答案:
C
17、某施工项目夜间施工增加费,按造价形成划分属于( )。
A.不可预见费
B.措施项目费
C.营业外支出
D.管理费
本题答案:
B
18、在人工定额的制定方法中,属于统计分析法特点的是()。
A.简单易行
B.工作量小
C.工序重复量小
D.产品规格多
本题答案:
A
19、建设工程施工合同约定:基础分部工程为钢筋砼结构,工程量300m³,单价550元/m³。基础工程施工前,施工项目经理部完成了施工用水电接口、现场办公室搭建等施工准备工作,根据施工合同及其他有关依据,确定基础分部工程施工项目成本为400元/m³,并将其分解到了现场材料采购、保管、施工管理等部门和个人。合同中基础分部工程的工程量是由( )。
A.项目监理机构提供
B.项目招标人提供
C.投标人测算确定
D.招标人和中标人协商确定
本题答案:
B
20、在措施项目费的计算方法中,常用于混凝土模板、脚手架、垂直运输等的是( )。
A.综合单价法
B.参数法计价
C.分包法计价
D.因素分析法
本题答案:
A
21、在招投标过程中,若出现招标文件中分部分项工程量清单特征描述与设计图纸不符,投标人确定投标报价的综合单价应该以( )为准。
A.设计文件
B.招标工程量清单项目特征描述
C.双方重新约定
D.实际施工的项目特征
本题答案:
B
22、工料单价法中,工料单价的组成为( )。
A.人工费+材料费+规费
B.人工费+企业管理费+施工机具使用费
C.人工费+材料费+利润
D.人工费+材料费+施工机具使用费
本题答案:
D
23、根据《工程量清单计价规范》,关于工程量清单的说法错误的是( )。
A.投标人编制投标报价的基础
B.招标人编制招标控制价的基础
C.承发包人进行索赔与现场签证的依据
D.使用国有资金的建设工程发承包宜采用工程量清单
本题答案:
D
24、下列有关工程量清单缺项引起合同价款调整的表述正确的是( )。
A.合同履行期间,由于招标工程量清单中缺项,新增分部分项工程清单项目的,应按照变更价款确定方法确定单价,调整合同价款
B.新增分部分项工程清单项目后,引起措施项目发生变化的,应按照合同约定,在承包人提交的实施方案被发包人批准后,调整合同价款
C.由于招标工程量清单中措施项目缺项,应按实际实施的方案直接调整合同价款
D.由于招标工程量清单中措施项目缺项,承包人应将新增措施项目实施方案提交发包人批准后,按照招标文件的规定调整合同价款
本题答案:
A
25、招标工程以投标截止日前( )天,非招标工程以合同签订前( )天为基准日。
A.14,14
B.14,28
C.28,28
D.28,56
本题答案:
C
26、某按变动单价计价的建筑施工合同中,投标时约定的工程量为10000m³,其中人工费占比30%,工程量变化不调整单价,中标合同价为30万元;施工期间人工费平均上涨15%,竣工结算工程量为20000m³,其他条件均无变化,则竣工结算价为( )万元。
A.62.7
B.31.35
C.60
D.69
27、根据《建设工程工程量清单计价规范》GB50500-2013,当承包人投标报价中材料单价高于基准单价时,施工期间材料单价涨幅以()为基础,超过合同约定的风险幅度值的,其超过部分按实调整。
A.投标报价
B.招标控制价
C.基准单价
D.实际单价
28、发生索赔事件,因窝工引起的设备费索赔,当施工机械属于施工企业自有时,按照机械( )计算索赔费用。
A.台班费
B.折旧费
C.租赁费
D.计日工费
29、对于任一招标工程量清单项目,如果因规定的工程量偏差和工程变更等原因导致工程量偏差超过( ),应予以调整。
A.10%
B.15%
C.20%
D.25%
30、工程保修期从工程( )起算。
A.竣工验收合格之日
B.工程结算之日
C.退还保修金之日
D.工程施工完工之日
31、下列承包商增加的人工费中,不可以向业主索赔的是()。
A.特殊恶劣气候导致的人员窝工费
B.完成合同之外的工作增加的人工费
C.由于非承包商责任的工效降低而增加的人工费
D.监理工程师原因导致工程暂停的人员窝工费
32、根据《标准施工招标文件》,下列选项中承包人只能提工期和费用索赔的是()。
A.发包人要求承包人提前竣工
B.承包人遇到不利物质条件
C.异常恶劣的气候条件
D.发包人提供的材料和工程设备不符合合同要求
33、施工成本核算的基本环节中,不包括( )。
A.项目完成后,对项目成本形成中的各责任者进行考核
B.计算出施工成本的实际发生额
C.计算出该施工项目的总成本和单位成本
D.按照规定的成本开支范围对施工成本进行归集和分配
34、某地下工程施工合同约定,计划3月份完成混凝土工程500m³,合同单价600元/m³。该工程3月份实际完成的混凝土工程量为400m³,实际单700元/m³。至3月底,该工程的费用绩效指数(CPI)为( )。
A.0.800
B.0.857
C.1.167
D.1.250
35、关于编制施工项目成本计划时考虑预备费的说法,正确的是( )。
A.只针对整个项目考虑总的预备费,以便灵活调用
B.在分析各分项工程风险基础上,只针对部分分项工程考虑预备费
C.既要针对项目考虑总的预备费,也要在主要的分项工程中安排适当的不可预见费
D.不考虑整个项目预备费,由施工企业统一考虑
36、绘制时间一成本累积曲线的环节有:①计算单位时间成本;②确定工程项目进度计划;③计算计划累计支出的成本额;④绘制S形曲线。正确的绘制步骤是()。
A.①—②—③—④
B.②—①—③—④
C.①—③—②—④
D.②—③—④—①
37、责任目标成本计划降低额=责任目标总成本-计划总成本,属于( )。
A.成本计划的数量指标
B.成本计划的质量指标
C.成本计划的安全指标
D.成本计划的效益指标
38、形象进度、产值统计、实际成本归集三同步,应保持一致的是三者的取值( )。
A.标准
B.范围
C.精度
D.单位
39、施工单位年度成本分析的重点是()。
A.通过实际成本与目标成本的对比,分析目标成本落实情况
B.通过对技术组织措施执行效果的分析,寻求更加有效的节约途径
C.针对下一年度施工进展情况,规划切实可行的成本管理措施
D.通过实际成本与计划成本的对比,分析成本降低水平
40、工程总承包方在进行项目总进度目标控制前,首先应( )。
A.确定项目的总进度目标
B.分析和论证目标实现的可能性
C.明确进度控制的目的和任务
D.编制项目总进度计划
41、设计进度计划最主要的工作是确定各设计阶段的设计图纸的(),并在它的内容中标明出图日期。
A.名称
B.规格
C.出图计划
D.设计人员姓名
42、在建设工程项目进度控制工作中,分析和论证进度目标的目的是分析和论证( )。
A.进度目标的合理性及实现的可能性
B.进度目标实现措施的经济性和可操作性
C.进度目标与成本目标、质量目标的匹配性
D.进度目标与成本目标、质量目标的一致性
43、编制实施性施工进度计划的主要作用,不包括( )。
A.确定施工作业的具体安排
B.确定一个月度的人工需求
C.确定一周内的资金需求
D.确定一个旬度的施工机械需求
44、工程项目的月度施工计划和旬施工作业计划属于( )施工进度计划。
A.控制性
B.指导性
C.实施性
D.竞争性
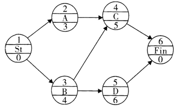
45、单代号网络计划如下图所示(时间单位:天)工作C的最迟开始时间是()。

A.0
B.1
C.4
D.5
46、当双代号网络计划的计划工期等于计算工期时,关于关键工作的说法,错误的是()。
A.关键工作的自由时差为零
B.关键工作的最早完成时间与最迟完成时间相等
C.关键工作的最早开始时间与最迟开始时间相等
D.关键工作的持续时间最长
47、下列有关虚工作的说法错误的是( )。
A.虚工作可以起联系作用
B.虚工作仅表示工作之间的逻辑关系
C.混凝土养护可以用虚工作来表示
D.只有双代号网络图中才有虚箭线
48、影响项目目标实现的决定性因素是( )。
A.人
B.工具
C.方法
D.组织
49、建设工程进度控制措施中,采用信息技术辅助进度控制属于进度控制的( )。
A.经济
B.技术
C.组织
D.管理
50、施工质量的影响因素主要包括4M1E,下列属于施工质量管理环境因素的是( )。
A.工程地质条件
B.施工场地给排水
C.施工技术措施
D.施工单位质量保证体系
51、《建设工程质量管理条例》规定,( )应对建设工程施工质量负责。
A.建设单位
B.施工单位
C.监理单位
D.设计单位
52、各级领导建立统一的宗旨和方向,并创造全员积极参与实现组织的质量目标的条件。这是质量管理原则中( )的要求。
A.以顾客为关注焦点
B.循证决策
C.领导作用
D.改进
53、( )是质量手册的支持性文件,是企业落实质量管理工作而建立的各项管理标准、规章制度,是企业各职能部门为贯彻落实质量手册要求而规定的实施细则。
A.程序文件
B.质量手册
C.质量计划
D.质量记录
54、下列属于企业获准认证后监督管理工作主要内容的是( )。
A.内部审核
B.认证结束
C.认证确认
D.重新换证
55、施工过程中,工程质量验收的最小单位是( )。
A.分项工程
B.单位工程
C.分部工程
D.检验批
56、在施工过程的工程质量验收中发现质量不符合要求时,如经检测鉴定达不到设计要求,但经原设计单位核算,仍能满足结构安全和使用功能的情况,该检验批()。
A.应返工重做后重新验收
B.需与建设单位协商一致方可验收
C.可予以验收
D.由监督机构决定是否予以验收
57、现场质量检查可采用多种方法,其中运用敲击工具进行音感检查的方法属于( )
A.目测法
B.实测法
C.试验法
D.无损检测
58、分部工程可以按照( )进行划分。
A.施工工艺、设备类别
B.工种、材料
C.楼层、施工段、变形缝
D.专业性质、工程部位
59、发现施工质量方面的缺陷,并通过分析提出施工质量改进的措施,保证质量处于受控状态。这是( )环节控制的重点。
A.事前质量控制
B.事中质量控制
C.事后质量控制
D.全程质量控制
60、建设工程施工质量事故的处理程序中,事故处理报告的内容不包括( )。
A.事故处理的依据
B.事故原因分析、论证
C.事故处理的措施建议
D.检查验收记录
61、施工职业健康安全管理体系中,一般从( )层次进行合规性评价。
A.施工人员级
B.作业班组级
C.公司级和项目组级
D.部门级和项目级
62、( )是最基本的安全管理制度,是所有安全生产管理制度的核心。
A.安全措施计划制度
B.安全检查制度
C.安全生产教育培训制度
D.安全生产责任制
63、根据《生产安全事故报告和调查处理条例》,以下安全事故中,属于重大事故的是( )。
A.2人死亡,11人重伤,直接经济损失1.2亿元
B.12人死亡,直接经济损失900万元
C.3人死亡,10人重伤,直接经济损失2000万元
D.35人死亡,直接经济损失4500万元
64、在人口密集区进行较强噪声施工作业时,须严格控制作业时间,一般避开( )的作业。
A.晚10时到次日早6时
B.晚11时到次日早6时
C.晚10时到次日早5时
D.晚11时到次日早5时
65、关于施工现场超噪声值的声源控制措施中,下列属于转移声源措施的是( )。
A.选用低噪声设备和工艺来代替高噪声设备和工艺
B.在内燃机进出风管处设置阻性消声器
C.在工厂车间生产预制混凝土构件
D.装卸材料轻拿轻放
66、根据《标准施工招标文件》中“通用合同条款”的规定,下列有关缺陷责任的说法,正确的是()。
A.缺陷责任期内,承包人对已接收使用的工程负责日常维护工作
B.缺陷责任期内,承包人对已交付使用的工程承担缺陷责任
C.属发包人原因造成的缺陷,发包人应承担修复费用,但不包括承包人利润
D.发包人有权要求承包人相应延长缺陷责任期,但缺陷责任期延长最长不超过3年
67、根据《建设工程施工专业分包合同(示范文本)》(GF-2003-0213),以下关于建设工程专业分包人的说法,错误的是( )。
A.未经承包人允许,分包人不得直接致函发包人或工程师(监理人),也不得直接接受发包人或工程师(监理人)的指令。
B.分包人须服从承包人转发的发包人或工程师(监理人)与分包工程有关的指令
C.分包合同价款与总承包合同相应部分价款存在连带关系
D.如分包人与发包人或工程师(监理人)发生直接工作联系,将被视为违约,并承担违约责任
68、按程序覆盖后的隐蔽工程监理工程师重新检验的费用( )。
A.应由承包人承担
B.应由发包人承担
C.因监理人未对隐蔽工程进行验收,应由监理人承担
D.应视重新检验结果,确定由哪方承担
69、建设工程中采用的投标担保、履约担保等方式,属于我国《担保法》中的( )。
A.抵押担保
B.保证担保
C.留置担保
D.定金担保
70、施工文件档案的保管期限不包括( )。
A.中期
B.短期
C.长期
D.永久
71、德国DVP(建筑和房地产项目控制协会)和AHO(德国工程师和建筑师酬金协会的专业委员会)进一步拓展了与建设项目控制工作任务相关的工作阶段和工作范围,相比较传统业主方35分块的项目管理任务,工作任务增加了()等。
A.信息管理
B.工程数量计量
C.工程融资
D.生产能力和后勤分析
E.保险
72、关于线性组织结构的说法,正确的是( )。
A.线性组织结构中可以跨部门下达指令
B.国际上,线性组织结构模式是建设项目管理组织系统的一种常用模式
C.大型线性组织系统中的指令路径太长
D.线性组织结构只有唯一一个指令源
E.线性组织结构有两个指令源
73、在施工组织设计的工程概况中应包含( )。
A.项目的性质、规模
B.地区地形、水文和气象情况
C.劳动力、机具等资源供应情况
D.施工环境及条件
E.施工进度计划的安排
74、单位工程施工组织设计的主要内容有( )。
A.工程概况及施工特点分析
B.施工方案的选择
C.施工总进度计划
D.各项资源需求量计划
E.单位工程施工总平面图设计
75、在施工过程中定期对施工成本的计划值和实际值进行比较,是运用动态控制原理控制施工成本的步骤之一。施工成本的计划值和实际值的比较包括( )。
A.工程合同价与投标价中的相应成本项的比较
B.工程合同价与工程款支付中的相应成本项的比较
C.施工成本规划与合同价规划中的相应成本项的比较
D.投标价与实际施工成本中的相应成本项的比较
E.实际施工成本与工程款支付中的相应成本项的比较
76、项目经理在项目管理中的任务包括( )。
A.施工队伍选择
B.组织审查施工图纸
C.工程合同管理
D.施工质量控制
E.施工进度控制
77、《大型工程技术风险控制要点》中的风险管理范围涉及大型工程建设的风险管理范围,包括()。
A.建筑高度为120m的写字楼工程
B.建筑高度为410m的大厦工程
C.总建筑面积为25万㎡的科研中心
D.地铁三号线工程
E.单体建筑面积为12万㎡的商场
78、工程项目经济与管理风险主要包括( )等。
A.安全管理人员的知识、经验和能力
B.工程资金供应条件
C.工程设计文件
D.工程施工方案
E.事故防范措施和计划
79、根据《建筑法》,在实施建筑工程监理前,建设单位应书面通知被监理的建筑施工企业的内容包括( )。
A.工程监理单位
B.监理单位项目负责人姓名
C.监理的内容
D.监理的期限
E.监理的权限
80、根据《建设工程工程量清单计价规范》(GB50500-2013),关于暂列金额的说法,正确的是( )。
A.已签约合同中的暂列金额应由发包人掌握使用
B.已签约合同中的暂列金额应由承包人掌握使用
C.发包人按照合同规定将暂列金额作出支付后,剩余金额归承包人所有
D.发包人按照合同规定将暂列金额作出支付后,剩余金额由发包人和承包人共同所有
E.暂列金额是指招标人在工程量清单中暂定并包括在合同价款中的一笔款项
81、建筑工程定额按编制单位和适用范围分类,有( )。
A.全国统一定额
B.预算定额
C.行业定额
D.建筑工程定额
E.企业定额
82、下列情形属于因发包人违约的是( )。
A.承包人违反合同约定进行转包或违法分包的
B.因发包人原因未能在计划开工日期前7天内下达开工通知的
C.因承包人原因导致工程质量不符合合同要求的
D.因发包人原因未能按合同约定支付合同价款的
E.发包人提供的材料不符合合同约定
83、建设工程项目施工成本包括直接成本和间接成本等,属于施工直接成本的有( )。
A.人工费
B.管理人员工资
C.办公费
D.材料费
E.施工机具使用费
84、施工成本计划的编制依据包括()。
A.合同文件
B.相关定额
C.项目管理实施规划
D.价格信息
E.核实的分部工程量
85、关于建设工程项目进度计划系统的说法,正确的有( )。
A.项目进度计划系统的建立和完善是逐步进行的
B.在项目进展过程中进度计划需要不断的调整
C.供货方根据需要和用途可编制不同深度的进度计划
D.业主方只需要编制总进度规划和控制性进度规划
E.业主方与施工方进度控制目标和时间范畴相同
86、某双代号网络计划如下图,绘图的错误有( )。

A.有多个起点节点
B.有多个终点节点
C.存在循环回路
D.有多余虚工作
E.节点编号有误
87、关于施工质量控制特点的说法,正确的是( )。
A.需要控制的因素少,只有4M1E五大方面
B.生产受业主监督,因此过程控制要求低
C.施工生产的流动性导致控制的难度大
D.工程竣工验收书是对施工质量的全面检查
E.工程终检只能从表面进行检查,存在较大局限性
88、施工企业质量管理体系文件应该包括( )。
A.质量手册
B.程序文件
C.质量计划
D.体系认证
E.质量记录
89、施工质量保证体系中,属于工作保证体系内容的有( )。
A.明确工作任务
B.编制质量计划
C.成立质量管理小组
D.分解质量目标
E.建立工作制度
90、施工过程的工程质量验收中,分项工程质量验收合格的条件有( )。
A.所含检验批均已验收合格
B.观感质量验收符合要求
C.有关安全和功能的检测资料完整
D.所含检验批质量验收记录完整
E.主要功能性项目的抽查结果符合相关专业验收规范的规定
91、下列引发工程质量事故的原因,属于技术原因的有( )。
A.结构设计计算错误
B.检验制度不严密
C.检测设备配备不齐
D.地质情况估计错误
E.施工方法不适宜
92、施工项目一旦发生安全事故,必须实施“四不放过”的原则,包括( )。
A.事故原因没有查清不放过
B.事故损失未挽回不放过
C.责任人员没有受到处理不放过
D.有关人员没有受到教育不放过
E.整改措施没有落实不放过
93、对施工现场大气污染的处理正确的有( )。
A.施工现场主要道路应硬化
B.施工现场外围围挡不得低于1.5m
C.施工现场垃圾杂物要及时清理
D.易飞扬材料入库密闭存放
E.禁止施工现场焚烧有毒、有害烟尘和恶臭气体的物资
94、下列有关施工总包和施工分包的说法错误的有( )。
A.业主指定分包商是施工分包
B.再分包商不能再分包
C.分包单位一般与施工单位签订合同
D.业主不可以直接指定一些分包单位
E.施工分包包括专业分包和劳务分包
95、根据《标准施工招标文件》中“通用合同条款”的规定,在质量控制方面下列说法正确的有()。
A.监理人的检查和检验,不免除承包人按合同约定应负的责任
B.监理人未按约定的时间进行检查的,承包人可自行完成覆盖工作,监理人应签字确认,并不得约定重新检查
C.由于发包人原因造成的工程不合格,需要承包人采取措施补救的,发包人应承担由此增加的费用和工期延误,并支付承包人合理利润
D.承包人未通知监理人到场检查,私自将工程隐蔽部位覆盖的,监理人有权指示承包人钻孔或揭开检查,由此增加的费用和工期延误视检查结果而定
E.按合同约定应由监理人与承包人共同进行试验和检验的,由承包人负责提供必需的试验资料和原始记录