1、下列建设工程项目管理的类型中,属于施工方项目管理的是()
A.投资方的项目管理
B.开发方的项目管理
C.分包方的项目管理
D.供货方的项目管理
本题答案:
C
2、影响建设工程项目目标实现的决定性因素是()。
A.组织
B.资源
C.方法
D.工具
本题答案:
A
3、项目结构图反映的是组成该项目的()。
A.各子系统之间的关系
B.各部门的职责分工
C.各参与方之间的关系
D.所有工作任务
本题答案:
D
4、能够反映一个组织系统中各工作部门之间指令关系的组织工具是()。
A.组织结构图
B.项目结构图
C.合同结构图
D.工作流程图
本题答案:
A
5、根据施工组织总设计的编制程序,编制施工总进度计划前应完成的工作是().
A.施工总平面图设计
B.编制资源需求量计划
C.编制施工准备工作计划
D.拟订施工方案
本题答案:
D
6、在项目管理中,定期进行项目目标的计划值和实际值的比较,属于项目目标控制中的()。
A.事前控制
B.动态控制
C.事后控制
D.专项控制
本题答案:
B
7、在对施工成本目标进行动态跟踪和控制过程中,如工程合同价为计划值,则相对的实际值可以是()。
A.工程概算
B.工程预算
C.投标报价
D.施工成本规划值
本题答案:
D
8、关于建造师与施工项目经理的说法,正确的是()
A.取得建造师注册证书的人员就是施工项目经理
B.建造师是管理岗位,施工项目经理是技术岗位
C.施工项目经理必须由取得建造师注册证书的人员担任
D.建造师执业资格制度可以替代施工项目经理岗位责任制
本题答案:
C
9、某施工企业在项目实施过程中,因部分管理人员缺乏施工经验而造成的风险属于()。
A.组织风险
B.经济与管理风险
C.工程环境风险
D.技术风险
本题答案:
A
10、某招标工程采用单价合同,当投标书中出现明显的总价和单价计算结果不一致时,正确的做法是()。
A.以单价为准调整总价
B.以总价为准调整单价
C.同时调整单价和总价
D.以市场价为依据调整单价
本题答案:
A
11、某双代号网络计划如下图所示(时间单位:天),存在的绘图错误是()。

A.工作标识不一致
B.有多个起点节点
C.节点编号不连续
D.时间参数有多余
本题答案:
B
12、某双代号网络计划如下图(时间单位:天)。计算工期是()天。

A.8
B.10
C.9
D.11
本题答案:
B
13、关于成本加酬金合同的说法,正确的是()。
A.采用该合同方式对业主的投资控制很不利
B.对业主来说,成本加酬金合同风险较小
C.需等待所有施工图完成后才开始招标和施工
D.对承包人来说,风险比固定总价合同的高,利润无保证
本题答案:
A
14、根据《关于做好房屋建筑和市政基础设施工程质量事故报告和调查处理工作的通知》、工程建设单位负责人接到施工质量事故发生报告后,向事故发生地县级以上人民政府住房和城乡建设主管部门及有关部门报告应在()小时内。
A.2
B.3
C.6
D.1
本题答案:
D
15、某项工作计划最早第天开始,持续时间为25天,总时差为2天,每天完成的工程量相同。第20天结束时,检查发现该工作仅完成20%。关于该项工作进度计划检查与调整的说法,正确的是()
A.实际进度超前,可以适当减缓工作进度
B.实际进度和计划保持致,各时间参数均未发生变化
C.实际进度滞后,但对总工期没有影响,加强关注即可
D.实际进度滞后,且影响总工期1天,须采取措施赶工
本题答案:
C
16、在合同环境中,施工质量保证体系的作用是()。
A.向项目监理机构证明所完成工程满足设计和验收标准要求
B.向业主证明施工单位资质满足完成工程项目的要求
C.向项目监理机构证明隐蔽工程质量符合要求
D.向业主证明施工单位具有足够的管理和技术上的能力
本题答案:
D
17、某施工总承包项目实施过程中,因国家消防设计规范变化导致出现费用偏差,从偏差产生原因来看属于()。
A.设计原因
B.客观原因
C.施工原因
D.业主原因
本题答案:
B
18、根据《职业健康安全管理体系、要求及使用指南》的总体结构,属于运行要素内容是()。
A.应急准备和响应
B.持续改进
C.事件、不符合的纠正和预防
D.绩效测量和监视
本题答案:
A
19、施工变更是指()由双方当事人依法对合同内容所进行的修改。
A.合同成立以后和工程竣工以前
B.工程开工以后和履行完毕以前
C.合同成立以后和履行完毕以前
D.合同签字以后和变付完毕以前
本题答案:
C
20、关于工程合同价款约定及其内容的说法,正确的是()
A.可以根据发包人的补充要求调整工程造价
B.对安全文明施工费应约定支付计划、使用要求
C.应约定质量保证金的总额为工程价款结算总额的5%
D.不实行招标的工程应按承包人最低成本价签订合同
本题答案:
B
21、建设工程项目总进度目标论证的主要工作有:①进行项目结构分析:②确定项目工作编码:③编制总进度计划:④进行进度计划系统的结构分析:⑤编制各层进度计划。正确的工作顺序是()。
A.②-①-③-④-⑤
B.①-④-②-⑤-③
C.②-①-③-⑤-④
D.①-④-②-③-⑤
本题答案:
B
22、下列工程质量事故中,属于技术原因引发的质量事故是()
A.检测仪器设备管理不善而失准引起的质量事故
B.采用了不适宜的施工工艺引发的质量事故
C.质量管理措施落实不力引起的质量事故
D.设备事故导致连带发生的质量事故
本题答案:
B
23、关于双代号网络计划关键线路的说法,正确的是()。
A.在网络计划执行中,关键线路始终不会改变
B.关键线路是总的工作持续时间最短的线路
C.一个网络计划可能有几条关键线路
D.关键线路上的工作总时差为零
本题答案:
C
24、工程质量监督机构对违反有关规定,造成工程质量事故和严重质量问题的单位和个人依法严肃查处,对查实的问题可签发()
A.质量问题整改通知单
B.吊销企业资质证书通知单
C.吊销建造师执业资格证书通知单
D.质量问题罚款通知单
本题答案:
A
25、下列施工项目相关的信息中,属于施工记录信息的是()。
A.施工合同信息
B.自然条件信息
C.施工日志
D.材料管理信息
本题答案:
C
26、关于施工机械设备质量保证体系控制的说法,正确的是()。
A.机械设备选型应首先考虑经济性,其次是适应性和可靠性
B.要明确机械操作人员的岗位职责,在使用中严格遵守操作规程
C.机械设备选择主要是选型,性能参数不作为选择依据
D.机械操作人员应持证上岗,可根据工作需要操作同类机械
27、某单代号网络计划中,相邻两项工作的部分时间参数如下图(时间单位:天),此两项工作的间隔时间(LAGi-j)是()天。

A.0
B.1
C.2
D.3
28、下列施工成本管理措施中,属于组织措施的是()。
A.编制成本控制计划,确定合理的工作流程
B.确定合理的施工机械、设备使用方案
C.对成本管理目标进行风险分析,并制定防范对策
D.选择适合于工程规模、性质和特点的合同结构模式
29、施工现场使用的水泥、白灰、珍珠岩等易飞扬的细颗粒散体材料,最适宜的存放方式是()。
A.入库密闭
B.表面临时固化
C.搭设草帘屏障
D.用密目式安全网遮盖
30、对建筑材料密度的测定属于现场质量检查方法中的()。
A.目测法
B.实测法
C.无损检测法
D.试验法
31、采用定额组价方法计算分部分项工程的综合单价时,第一步的工作是()。
A.测算人、料、机消耗量
B.计算定额子目工程量
C.确定人、料、机单价
D.确定组合定额子目
32、下列风险产生的原因中,可能导致合同信用风险的是()
A.不利的地质条件变化
B.物价上涨
C.不可抗力
D.承包人层层转包
33、关于施工现场文明施工措施的说法,正确的是()。
A.市区主要路段设置高度不低于2m的封闭围挡
B.项目经理任命专职安全员作为现场文明施工第一责任人
C.建筑垃圾和生活垃圾集中一起堆放,并及时清运
D.现场施工人员均佩戴胸卡,按工种统一编号管理
34、下列施工成本计划的指标中,属于效益指标的是()
A.责任目标成本计划降低率
B.设计预算成本计划降低率
C.按子项汇总的计划总成本指标
D.责任目标总成本计划降低额
35、根据《建设工程安全生产管理条例》,工程监理单位发现安全事故隐患未及时要求施工单位整改,则建设行政主管部门采取的处罚是()。
A.降低资质等级
B.停业整顿
C.处以10万元以上30万元以下的罚款
D.限期改正
36、按造价形成划分,脚手架工程费属于建筑安装工程费用构成中的()。
A.措施项目费
B.规费
C.其他项目费
D.分部分项工程费
37、关于施工文件归档的说法,正确的是()。
A.根据建设程序和工程特点,归档可分阶段分期进行
B.可以采用纯蓝墨水书写的文件
C.归档图纸可以使用计算机出图的复印件
D.利用施工图改绘竣工图,可以不标明变更修改依据,但图面必须清晰整洁
38、应由建设单位组织的施工质量验收项目是()
A.分部工程
B.分项工程
C.工序
D.单位工程
39、根据《质量管理体系基础和术语》,循证决策原则要求施工企业质量管理时应基于()做出相关决策。
A.与相关方的关系
B.满足顾客的要求
C.功能连贯的过程组成的体系
D.数据和信息的分析和评价
40、根据《建设工程施工合同(示范文本)》发包人应在开工后28天内预付安全文明施工费总额的()。
A.30%
B.40%
C.50%
D.60%
41、将各方签字的分部工程质量验收证明报送工程质量监督机构备案的责任主体是()。
A.施工单位
B.监理单位
C.建设单位
D.质量检测单位
42、根据《中华人民共和国招标投标法实施条例》,投标保证金的数额不得超过招标项目估算价的()。
A.2%
B.1%
C.3%
D.5%
43、施工项目成本分析时,可用于分析某项成本指标发展方向和发展速度的方法是()。
A.构成比率法
B.环比指数法
C.因素分析法
D.差额计算法
44、由采购方负责提货的建筑材料,其交货期限应以()为准。
A.采购方收货戳记的日期
B.采购方向承运单位提出申请的日期
C.供货方发运产品时承运单位签发的日期
D.供货方按照合同规定通知的提货日期
45、下列建设工程定额中,分项最细、子目最多的定额是()。
A.施工定额
B.费用定额
C.概算定额
D.预算定额
46、某建设工程施工由甲施工单位总承包,甲依法将其中的空调安装工程分包给乙施工单位,空调由建设单位采购,因空调安装质量不合格返工导致工程不能按时完工给建设单位造成损失,该质量责任及损失应由()承担。
A.建设单位
B.甲和乙施工单位
C.空调供应商
D.乙施工单位
47、工程施工职业健康安全管理工作包括:①确定职业健康安全目标;②识别并评价危险源及风险;③持续改进相关措施和绩效;④编制并实施项目职业健康安全技术措施计划;⑤职业健康安全技术措施计划实施结果验证。正确的程序是()。
A.①-②-④-⑤-③
B.①-②-⑤-④-③
C.②-①-④-③-⑤
D.②-①-④-⑤-③
48、施工企业最基本的安全管理制度是()。
A.安全生产责任制度
B.安全生产检查制度
C.安全生产许可证制度
D.安全生产教育培训制度
49、下列建筑安装工程费用项目中,在投标报价时不得作为竞争性费用的是()。
A.企业管理费
B.机械使用费
C.社会保险费
D.其他项目费
50、关于施工进度计划类型的说法,正确的是()。
A.项目施工总进度方案是企业计划,单位工程施工进度计划是项目计划
B.施工企业的施工生产计划和工程项目进度计划属于不同项目参与方
C.施工企业的施工生产计划和工程项目进度计划是相同系统的计划
D.施工企业的施工生产计划和工程项目进度计划都与施工进度有关
51、关于横道图进度计划的说法,正确的是()。
A.每行只能容纳一项工作
B.可以表示工作的时差
C.可以直接表达出关键线路
D.可以表达工作间的逻辑关系
52、关于施工图预算与施工预算区别的说法,正确的是()。
A.施工图预算的编制以施工定额为依据,施工预算的编制以预算定额为依据
B.施工图预算适用于发包人和承包人,施工预算适用于施工企业的内部管理
C.施工图预算只能由造价咨询机构编制,施工预算只能由施工企业编制
D.施工图预算和施工预算都可作为投标报价的主要依据,但施工预算更为详细
53、编制材料消耗定额时,材料消耗量包括直接使用在工程上的材料净用量和()。
A.在施工现场内运输及保管过程中不可避免的损耗
B.从供应地运输到施工现场及操作过程中不可避免的废料和损耗
C.在施工现场内运输及操作过程中不可避免的废料和损耗
D.从供应地运输到施工现场过程中不可避免的损耗
54、根据《建设工程施工合同(示范文本)》,承包人应在发出索赔意向通知书后()天内向监理人正式递交索赔报告。
A.28
B.7
C.14
D.21
55、关于投标人正式投标时投标文件和程序要求的说法,正确的是()。
A.提交投标保证金的最后期限为招标人规定的投标截止日
B.标书的提交可按投标人的内部控制标准
C.投标的担保截止日为提交标书最后的期限
D.投标文件应对招标文件提出的实质性要求和条件作出响应
56、施工成本管理中最根本和最重要的基础工作是()。
A.科学设计成本核算账册体系
B.建立成本管理责任体系
C.建立企业内部施工定额并保持其适应性
D.建立生产资料市场价格信息的收集网络
57、关于双代号网络图中节点编号的说法,正确的是()。
A.起点节点的编号为0
B.箭头节点编号要小于箭尾节点编号
C.每一个节点都必须编号
D.各节点应连续编号
58、为保证施工质量,在项目开工前,应由()向分包人进行书面技术交底。
A.施工企业技术负责人
B.施工项目经理
C.项目技术负责人
D.总监理工程师
59、特殊施工过程的质量控制中,专业技术人员编制的作业指导书应经()审批后方可执行。
A.企业技术负责人
B.项目经理
C.监理工程师
D.项目技术负责人
60、某施工项目部对工人进行安全用电操作教育,同时对现场的配电箱、用电电路进行防护改造,严禁非专业电工乱接乱拉电线。这体现了施工安全隐患处理原则中的()。
A.直接隐患与间接隐患并治原则
B.单项隐患综合处理原则
C.重点处理原则
D.动态处理原则
61、关于建筑安装工程费用中暂列金额的说法,正确的是()。
A.已签约合同价中的暂列金额由承包人掌握使用
B.暂列金额不得用于招标人给出暂估价的材料采购
C.发包人按照合同约定做出支付后,如有剩余归发包人所有
D.暂列金额不得用于施工可能发生的现场签证费用
62、发包方将建设工程项目合理划分标段后,将各标段分别发包给不同的施工单位,并与之签订施工承包合同,此发承包模式属于()。
A.平行发承包
B.施工总承包
C.施工总承包管理
D.设计施工总承包
63、招标工程的招标控制价为1.6亿,某投标人报价为1.55亿,经修正计算性错误后,以1.45亿的报价中标,则该承包人的报价浮动率为()。
A.3.125%
B.9.375%
C.9.355%
D.9.677%
64、关于工程索赔的说法,正确的是()。
A.承包人可以向发包人提出索赔,发包人也可以向承包人提出索赔
B.承包人可以向发包人提出索赔,发包人不可以向承但人提出索赔
C.非分包人的原因导致工期拖延时,分包人可以向发包人提出索赔
D.承包人根据工程师指示指令分包人加速施工,分包人可以向发包人提出索赔
65、根据《建设工程施工合同(示范文本)》以发包人明确表示或者以其行为表明不履行合同主要义务的,承包人有权解除合同,发包人应承担()。
A.由此增加的费用并支付承包人合理的利润
B.由此加的费用,但不包括利润
C.承包人已订购但未支付的材料费用
D.由此支出的直接成本,不包括管理费
66、下列项目施工质量成本中,属于外部质量保证成本的是()。
A.编写施工项目质量工作计划发生的费用
B.根据业主要求进行的特殊质量检测试验的费用
C.例行的重要工序试验、检验的费用
D.为运行质量体系达到规定的质量水平所支付的费用
67、根据《安全生产事故应急预案管理办法》,施工单位应当制定本企业的应急演练计划,每年至少组织综合应急预案演练()次。
A.2
B.1
C.3
D.4
68、根据生产安全事故应急预案的体系构成,深基坑开挖施工的应急预案属于()。
A.专项施工方案
B.专项应急预案
C.现场处置方案
D.危大工程预案
69、根据《标准施工招标文件》,关于合同进度计划的说法,正确的是()。
A.监理人应编制施工进度计划和施工方案说明并报发包人
B.监理人不能直接向承包人作出修订合同进度计划的指示
C.实际进度与合同进度不符时,承包人应提交修订合同进度计划申请报告等资料,报监理人审批
D.监理人无需获得发包人的同意,可以直接在合同约定期限内批复修订的合同进度计划
70、根据《标准施工招标文件》,关于发包人提供资料的说法,正确的是()。
A.发包人只提供基础资料,不对其真实性和完整性负责,承包人自行解读内容
B.发包人应通过监理人向承包人提供测量基准点、基准线和水准点及书面资料
C.发包人提供资料有误使承包人受损时,只承担增加的费用和工期延误
D.发包人提供的资料使承包人推断失误,承担相关费用和利润
71、施工职业健康安全管理体系文件包括()。
A.管理方案
B.管理手册
C.程序文件
D.初始状态评审文件
E.作业文件
72、在工程网络计划中,工作的自由时差等于其()。
A.完成节点最早时间减去开始节点最早时间减去本工作持续时间
B.与所有紧后工作之间间隔时间的最小值
C.最迟开始时间与最早开始时间的差值
D.所有紧后工作最早开始时间的最小值减去本工作的最早完成时间
E.在不影响其紧后工作最早开始时间的前提下可以利用的机动时间
73、施工企业投标报价时,企业管理费的计算基础可以为()
A.分部分项工程费
B.材料费
C.人工费和机械费合计
D.人工费
E.规费
74、根据材料使用性质、用途和用量大小划分,材料消耗定额指标的组成有()。
A.主要材料
B.辅助材料
C.周转性材料
D.零星材料
E.废弃材料
75、编制控制性施工进度计划的主要目的有()
A.分析项目实施工作的逻辑关系
B.对施工进度目标进行分解
C.确定施工的总体部署
D.确定施工作业的资源投入
E.确定里程碑事件的进度目标
76、根据《标准施工招标文件》,承包人向监理人报送竣工验收申请报告时,工程应具备的条件有()。
A.已按合同约定的内容和份数备齐符合要求的竣工资料
B.已经完成合同内的全部单位工程及有关工作,并符合合同要求
C.已按监理人要求编制了缺陷责任期内完成的甩项工程及缺陷修补工作
D.工程项目的试运行完成并形成完整的资料清单
E.已按监理人要求编制了缺陷责任期内的修补工作清单及施工计划
77、下列施工方进度控制的措施中,属于管理措施的有()。
A.推广采用工程网络计划技术
B.健全进度控制管理的组织体系
C.制定并落实加快进度的经济激励政策
D.选择合理的工程合同结构
E.重视信息计划在进度控制中的应用
78、施工总承包管理模式下,项目各参与方可能存在的合同关系包括()。
A.业主与分包单位直接签订合同
B.监理单位与施工总承包管理单位签订合同
C.施工总承包管理单位与分包单位签订合同
D.施工总承包管理单位与施工总承包单位签订合同
E.监理单位与分包单位签订合同
79、根括《建设工程项目管理规范》,施工项目经理应履行的职责有()
A.组织或参与编制项目管理规划大纲
B.对各类资源进行质量管控和动态管理
C.主持编制项目管理目标责任书
D.组织或参与评价项目管理绩效
E.进行授权范围内的利益分配
80、下列施工质量事故发生的原因中,属于施工失误的有()。
A.违反相关规范施工
B.边勘察、边设计、边施工
C.使用不合格的工程材料、半成品、构配件
D.忽视安全生产施工,发生安全事故
E.非法承包,偷工减料
81、下列建设工程项目进度控制的任务中,属于施工方进度控制任务的有()。
A.论证项目进度总目标
B.估算施工资源投入
C.调整施工进度计划
D.编制总进度纲要
E.协调作业班组的进度
82、关于单价合同工程计量的说法,正确的有()
A.承包人已完成的质量合格的全部工程都应予以计量
B.招标工程量清单缺项的,应按承包人履行合同义务中完成的工程量计量
C.监理工程师计量的工程量应等于承包人实际施工量
D.监理人对已完工程有异议的,有权要求承包人进行共同复核或抽样复测
E.单价合同应按照招标工程量清单中的工程量计量
83、根据《建设工程质量管理条例》,建设行政主管部门在实施工程质量监督检查时,有权采取的措施包括()。
A.要求被检查单位提供有关工程质量的资料
B.依法对违法违规行为进行经济处罚
C.进入被检查单位的施工现场进行检查
D.要求被检查单位随时停工配合检查
E.发现有影响工程质量的问题时,责令整改
84、影响建设工程施工质量的环境因素包括()
A.施工现场自然环境
B.施工质量管理环境
C.施工所在地政策环境
D.施工所在地市场环境
E.施工作业环境
85、一般情况下,固定总价合同适用的情形有()。
A.工程结构简单,风险小
B.工程量小、工期短,工程条件稳定
C.工程设计详细、图纸完整、清楚,工程任务和范围明确
D.抢险、救灾工程
E.工程内容和工程量一时不能明确
86、根据《生产安全事故报告和调查处理条例》,发生下列违法行为时,可以对事故发生单位主要负责人处上一年年收入40%~80%罚款的情形有()。
A.不立即组织事故抢救
B.谎报或者瞒报事故
C.迟报或者漏报事故
D.伪造或者故意破坏事故现场
E.在事故调查处理期间擅离职守
87、下列施工现场的危险源中,属于第二类危险源的有()
A.现场存放的燃料
B.焊工焊接操作不规范
C.洞口临边缺少防护设施
D.机械设备缺乏维护保养
E.现场管理措施缺失
88、根据《标准施工招标文件》,发包人应负责赔偿第三者人身伤亡和财产损失的情况有()
A.发包人现场管理人员的工伤事故
B.工程施工过程中承包人发生安全事故
C.工地附近小孩进入工地场区引起的意外伤害
D.施工围挡倒塌导致路过行人的伤害
E.政府相关人员进入施工现场检查时的意外伤害
89、根据《建设工程监理规范》,关于监理实施细则编制的说法,正确的有()
A.危险性较大的分部分项工程应编制监理实施细则
B.编制依据包括施工组织设计和专项施工方案等
C.编制时间应在相应工程施工开始前
D.由专业监理工程师编制,并报总监理工程师审批
E.所有的分部分项工程均应编制监理实施细则
90、下列施工成本管理措施中,属于组织措施的有()
A.利用施工组织设计降低材料的库存成本
B.确定合理详细的成本管理工作流程
C.加强施工任务单管理
D.确定施工设备使用方案
E.编制成本控制工作计划
91、下列施工合同实施偏差的处理措施中,属于组织措施的有()
A.调整人员安排
B.调整施工方案
C.调整工作流程
D.调整工作计划
E.进行合同变更
92、施工企业质量管理体系运行阶段的工作内容包括()
A.持续改进质量管理体系
B.编制详细作业文件
C.编制质量手册
D.生产和服务按质量管理体系的规定操作
E.监测管理体系运行的有效性
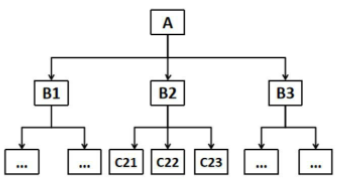
93、施工项目部采用线性组织结构模式如下图,图中A、B、C表示不同级别的工作部门,关于下达工作指令的说法,正确的有()。

A.部门B2可以对部门C21下达指令
B.部门A可以对部门C21下达指令
C.部门A可以对部门B3下达指令
D.部门B3可以对部门C23下达指令
E.部门B2可以对部门C23下达指令
94、根据《建设工程施工专业分包合同(示范文本)》,下列工作中,分包人的工作有()
A.对分包工程进行深化设计、施工,竣工和保修
B.负责已完分包工程的成品保护工作
C.向监理人提供进度计划及进度统计报表
D.向承包人提交详细的施工组织设计
E.直接履行监理工程师的工作指令
95、根据编制广度、深度和作用的不同,施工组织设计可分为()。
A.单项施工组织设计
B.施工组织总设计
C.危大工程施工组织设计
D.单位工程施工组织设计
E.分部(分项)工程施工组织设计