经济效益计算的原则是:
(A)增量分析的原则
(B)考虑关联效果的原则
(C)以全国居民作为分析对象的原则
(D)支付愿意原则
(A)增量分析的原则
(B)考虑关联效果的原则
(C)以全国居民作为分析对象的原则
(D)支付愿意原则
答案如下:
D解析:解:选D.经济效益的计算应遵循支付愿意原则和接受补偿意愿原则,经济费用的计算应遵循机会成本原则。
D解析:解:选D.经济效益的计算应遵循支付愿意原则和接受补偿意愿原则,经济费用的计算应遵循机会成本原则。
在单代号网络图中,用下列中哪项表示工作之间的逻辑关系?
A.虚箭杆B.实箭杆C.节点D.B与C
A.虚箭杆B.实箭杆C.节点D.B与C
答案如下:
B解析:提示:在单代号网络图中,用节点表示工作,用实箭杆表示工作之间的逻辑关系。
B解析:提示:在单代号网络图中,用节点表示工作,用实箭杆表示工作之间的逻辑关系。
在200kPa力下浸水载荷试验的附加湿陷景与承压板宽度之比等于或大于0.023的土,应判定为()。
A.湿陷性土B.红黏土C.填土D.软土
A.湿陷性土B.红黏土C.填土D.软土
答案如下:
A解析:根据《岩土工程勘察规范》(GB50021-2001)(2009年版)第6.1.2条规定,当不能取试样做室内湿陷性试验时,应采用现场载荷试验确定湿陷性,在200kPa压力下浸水载荷试验的附加湿陷量与承压板宽度之比等于或大于0.023的土,应判定为湿陷性土。
A解析:根据《岩土工程勘察规范》(GB50021-2001)(2009年版)第6.1.2条规定,当不能取试样做室内湿陷性试验时,应采用现场载荷试验确定湿陷性,在200kPa压力下浸水载荷试验的附加湿陷量与承压板宽度之比等于或大于0.023的土,应判定为湿陷性土。
下列情况下可不考虑岩溶场地中溶洞对地基稳定性的影响的是()。
A.溶洞被密实的沉积物填满且无被水冲蚀的可能性
B.基础长度大于2.0m,且具有一定刚度
C.溶洞顶板为均质红黏土层,厚度大于基础宽度
D.溶洞顶板岩石坚固完整,其厚度接近或大于洞跨
A.溶洞被密实的沉积物填满且无被水冲蚀的可能性
B.基础长度大于2.0m,且具有一定刚度
C.溶洞顶板为均质红黏土层,厚度大于基础宽度
D.溶洞顶板岩石坚固完整,其厚度接近或大于洞跨
答案如下:
A,D解析:据《工程地质手册》第六篇第一章第三节判定。
A,D解析:据《工程地质手册》第六篇第一章第三节判定。
关于砌砖工程使用的材料,下列哪条是不正确的?
A.使用砖的品种、强度等级、外观符合设计要求,并有出厂合格证
B.对强度等级小于M5的水泥混合砂浆,含泥量在15%以内
C.石灰膏熟化时间已经超过了15d
D.水泥的品种与标号符合砌筑砂浆试配单的要求
A.使用砖的品种、强度等级、外观符合设计要求,并有出厂合格证
B.对强度等级小于M5的水泥混合砂浆,含泥量在15%以内
C.石灰膏熟化时间已经超过了15d
D.水泥的品种与标号符合砌筑砂浆试配单的要求
答案如下:
B解析:提示:按《砌体工程施工质量验收规范》(GB50203-2002)中第4.0.1条的规定,对强度等级小于M5的水泥混合砂浆的含泥量,不应超过10%。
B解析:提示:按《砌体工程施工质量验收规范》(GB50203-2002)中第4.0.1条的规定,对强度等级小于M5的水泥混合砂浆的含泥量,不应超过10%。
关于注册土木工程师(岩土)执业的说法中,下列哪些说法不符合《注册土木工程师(岩土)执业及管理工作暂行规定》?()
A.注册土木工程师(岩土)的注册年龄一律不得超过70岁
B.注册土木工程师(岩土)的注册证书和执业印章一般应由本人保管,必要时也可由聘用单位代为保管
C.过渡期间,未取得注册证书和执业印章的人员,不得从事岩土工程及相关业务活动
D.注册土木工程师(岩土)可在全国范围内从事岩土工程及相关业务活动
A.注册土木工程师(岩土)的注册年龄一律不得超过70岁
B.注册土木工程师(岩土)的注册证书和执业印章一般应由本人保管,必要时也可由聘用单位代为保管
C.过渡期间,未取得注册证书和执业印章的人员,不得从事岩土工程及相关业务活动
D.注册土木工程师(岩土)可在全国范围内从事岩土工程及相关业务活动
答案如下:
B,C解析:B项,注册证书和执业印章是注册土木工程师(岩土)的执业凭证,由注册土木工程师(岩土)本人保管和使用,其聘用单位不得以统一管理等名义代为保管;C项,《注册土木工程师(岩土)执业及管理工作暂行规定》规定,凡本办法规定的技术文件须经合作单位指派的注册土木工程师(岩土)签署后方可生效和交付。合作项目在提交技术成果文件时,应同时提交合作协议书复印件。
B,C解析:B项,注册证书和执业印章是注册土木工程师(岩土)的执业凭证,由注册土木工程师(岩土)本人保管和使用,其聘用单位不得以统一管理等名义代为保管;C项,《注册土木工程师(岩土)执业及管理工作暂行规定》规定,凡本办法规定的技术文件须经合作单位指派的注册土木工程师(岩土)签署后方可生效和交付。合作项目在提交技术成果文件时,应同时提交合作协议书复印件。
计算单支点排桩地下连续墙的嵌固深度时应采用的计算方法是()。
A.连续梁法B.静力平衡法C.等值梁法D.弹性支点法
A.连续梁法B.静力平衡法C.等值梁法D.弹性支点法
答案如下:
C解析:根据《建筑基坑支护技术规程》(JGJ120—1999)条文说明第4.1.1条,对于单支点支护结构,由于结构的平衡是依靠支点及嵌固深度两者共同支持,必须具有足够的嵌固深度以形成一定的反力,保证结构稳定,因此,采用传统的等值梁法来确定嵌固深度。
C解析:根据《建筑基坑支护技术规程》(JGJ120—1999)条文说明第4.1.1条,对于单支点支护结构,由于结构的平衡是依靠支点及嵌固深度两者共同支持,必须具有足够的嵌固深度以形成一定的反力,保证结构稳定,因此,采用传统的等值梁法来确定嵌固深度。
下列关于堆载预压法处理软弱黏土地基的叙述中,哪些选项是正确的?( )
A、控制加载速率的主要目的是防止地基发生剪切破坏
B、工程上一般根据每天最大竖向变形量和边桩水平位移量控制加载速率
C、采用超载预压法处理后地基将不会发生固结变形
D、采用超载预压法处理后将有效减小地基的次固结变形
隐藏答案收藏
A、控制加载速率的主要目的是防止地基发生剪切破坏
B、工程上一般根据每天最大竖向变形量和边桩水平位移量控制加载速率
C、采用超载预压法处理后地基将不会发生固结变形
D、采用超载预压法处理后将有效减小地基的次固结变形
隐藏答案收藏
答案如下:
A,B,D解析:由于软粘土地基坑剪强度低,无论直接建造建筑还是进行堆载预压往往都不可能快速加载,而必须分级逐渐加荷,待前期荷载下地基强度增加到足已加下一级荷载时,方可加下一级荷载。
根据《建筑地基处理技术规范》(JGJ79—2012)第10.2.2条规定,对堆载预压工程,在加载过程中应进行竖向变形量、水平位移及孔隙水压力等项目的监测。真空预压应进行膜下真空度、地下水位、地面变形、深层竖向变形、孔隙水压力等监测。真空预压加固区周边有建筑物时,还应进行深层侧向位移和地表边桩位移监测。
根据《地基处理手册》(第三版)105页的相关内容规定,如果建筑物对沉降要求很严格,使用期间不允许再产生主固结沉降甚至需减小一部分次固结沉降,则预压荷载应大于建筑物使用荷载即所谓超载预压。增大预压荷载实质上是增加总的固结沉降量。当地基达到固结度一定,则预压荷载越大,完成的主固结沉降量也越大,因此,超载预压可加速固结沉降的过程,此外超载预压尚可减小次固结沉降量并使次固结沉降发生的时间推迟。
A,B,D解析:由于软粘土地基坑剪强度低,无论直接建造建筑还是进行堆载预压往往都不可能快速加载,而必须分级逐渐加荷,待前期荷载下地基强度增加到足已加下一级荷载时,方可加下一级荷载。
根据《建筑地基处理技术规范》(JGJ79—2012)第10.2.2条规定,对堆载预压工程,在加载过程中应进行竖向变形量、水平位移及孔隙水压力等项目的监测。真空预压应进行膜下真空度、地下水位、地面变形、深层竖向变形、孔隙水压力等监测。真空预压加固区周边有建筑物时,还应进行深层侧向位移和地表边桩位移监测。
根据《地基处理手册》(第三版)105页的相关内容规定,如果建筑物对沉降要求很严格,使用期间不允许再产生主固结沉降甚至需减小一部分次固结沉降,则预压荷载应大于建筑物使用荷载即所谓超载预压。增大预压荷载实质上是增加总的固结沉降量。当地基达到固结度一定,则预压荷载越大,完成的主固结沉降量也越大,因此,超载预压可加速固结沉降的过程,此外超载预压尚可减小次固结沉降量并使次固结沉降发生的时间推迟。
经纬仪观测水平角时,若照准同一竖直面内不同高度的两个目标点,分别读取水平盘读数,此时两个目标点的水平度盘读数理论上应该是( )。
A.相同的
B.不相同的
C.不一定相同
D.在特殊情况下相同
A.相同的
B.不相同的
C.不一定相同
D.在特殊情况下相同
答案如下:
A解析:工程测量中,水平角是指测站点至两观测目标点分别连线在水平面上投影后的夹角。
A解析:工程测量中,水平角是指测站点至两观测目标点分别连线在水平面上投影后的夹角。
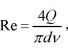
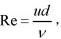
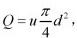
变直径圆管流,细断面直径d1,粗断面直径d2=2d1,粗细断面雷诺数的关系是:
(A)Re1=0.5Re2
(B)Re1=Re2
(C)Re1=1.5Re2
(D)Re1=2Re2
(A)Re1=0.5Re2
(B)Re1=Re2
(C)Re1=1.5Re2
(D)Re1=2Re2
答案如下:
D解析:雷诺数
又流量
得
流量相同,则雷诺数Re与管径d成反比。
D解析:雷诺数
又流量
得
流量相同,则雷诺数Re与管径d成反比。 条形基础宽度为3.0m,由上部结构传至基础底面的最大边缘压力为80kPa,最小边缘压力为0,基础埋置深度为2.0m,基础及台阶上土自重的平均重度为20kN/m3,指出下列论述中错误的是( )。
A.计算基础结构内力时,基础底面压力的分布符合小偏心(e≤b/6)的规定
B.按地基承载力验算基础底面尺寸时基础底面压力分布的偏心已经超过了现行《建筑地基基础设计规范》(GB50007—2011)中根据土的抗剪强度指标确定地基承载力特征值的规定
C.作用于基础底面上的合力为240kN/m
D.考虑偏心荷载时,地基承载力特征值应不小于120kPa才能满足设计要求
A.计算基础结构内力时,基础底面压力的分布符合小偏心(e≤b/6)的规定
B.按地基承载力验算基础底面尺寸时基础底面压力分布的偏心已经超过了现行《建筑地基基础设计规范》(GB50007—2011)中根据土的抗剪强度指标确定地基承载力特征值的规定
C.作用于基础底面上的合力为240kN/m
D.考虑偏心荷载时,地基承载力特征值应不小于120kPa才能满足设计要求
答案如下:
D解析:根据《建筑地基基础设计规范》(GB50007—2011)第5.2.1条~第5.2.5条计算如下:
①由题可知,GK=bldγd=3×1×2×20=120kN/m,则有:
D解析:根据《建筑地基基础设计规范》(GB50007—2011)第5.2.1条~第5.2.5条计算如下:
①由题可知,GK=bldγd=3×1×2×20=120kN/m,则有:
下列关于建筑场地污染土勘察的叙述中,哪些选项是正确的?( )
A、勘探点布置时近污染源处宜密,远污染源处宜疏
B、确定污染土和非污染土界限时,取土间距不宜大于1m
C、同一钻孔内采取不同深度的地下水样时,应采取严格的隔离措施
D、根据污染土的颜色、状态、气味可确定污染对土的工程特性的影响程度
A、勘探点布置时近污染源处宜密,远污染源处宜疏
B、确定污染土和非污染土界限时,取土间距不宜大于1m
C、同一钻孔内采取不同深度的地下水样时,应采取严格的隔离措施
D、根据污染土的颜色、状态、气味可确定污染对土的工程特性的影响程度
答案如下:
A,B,C解析:AB两项,根据《岩土工程勘察规范》(GB50021—2001)(2009年版)第6.10.7条规定,勘探测试工作量的布置应结合污染源和污染途径的分布进行,近污染源处勘探点间距宜密,远污染源处勘探点间距宜疏,为查明污染土分布的勘探孔深度应穿透污染土。详细勘察时,采取污染土试样的间距应根据其厚度及可能采取的处理措施等综合确定。确定污染土和非污染土界限时,取土间距不宜大于1m。C项,根据第6.10.8条规定,有地下水的勘探孔应采取不同深度的地下水试样,查明污染物在地下水中的空间分布。同一钻孔内采取不同深度的地下水样时,应采取严格的隔离措施,防止因采用混合水样而影响判别结论。D项,根据第6.10.4条第2款和第4款规定,采用钻探或坑探采取土试样,现场观察污染土颜色、状态、气味和外观结构等,并与正常土比较,查明污染土分布范围和深度。对需要确定地基土工程性能的污染士,宜采用以原位测试为主的多种手段;当需要确定污染土地基承载力时,宜进行载荷试验。
A,B,C解析:AB两项,根据《岩土工程勘察规范》(GB50021—2001)(2009年版)第6.10.7条规定,勘探测试工作量的布置应结合污染源和污染途径的分布进行,近污染源处勘探点间距宜密,远污染源处勘探点间距宜疏,为查明污染土分布的勘探孔深度应穿透污染土。详细勘察时,采取污染土试样的间距应根据其厚度及可能采取的处理措施等综合确定。确定污染土和非污染土界限时,取土间距不宜大于1m。C项,根据第6.10.8条规定,有地下水的勘探孔应采取不同深度的地下水试样,查明污染物在地下水中的空间分布。同一钻孔内采取不同深度的地下水样时,应采取严格的隔离措施,防止因采用混合水样而影响判别结论。D项,根据第6.10.4条第2款和第4款规定,采用钻探或坑探采取土试样,现场观察污染土颜色、状态、气味和外观结构等,并与正常土比较,查明污染土分布范围和深度。对需要确定地基土工程性能的污染士,宜采用以原位测试为主的多种手段;当需要确定污染土地基承载力时,宜进行载荷试验。
关于建筑抗震地震影响系数的阐述,下列哪个说法是正确的?()
A.地震影响系数的大小,与抗震设防烈度和场地类别无关
B.在同一个场地上,相邻两个自振周期相差较大的高层建筑住宅,其抗震设计采用的地震影响系数不相同
C.地震影响系数的计算单位是m2/s
D.水平地震影响系数最大值只与抗震设防烈度有关
A.地震影响系数的大小,与抗震设防烈度和场地类别无关
B.在同一个场地上,相邻两个自振周期相差较大的高层建筑住宅,其抗震设计采用的地震影响系数不相同
C.地震影响系数的计算单位是m2/s
D.水平地震影响系数最大值只与抗震设防烈度有关
答案如下:
D解析:A项,根据《建筑抗震设计规范》(GB50011—2010)第5.1.4条,建筑结构的地震影响系数应根据烈度、场地类别、设计地震分组和结构自振周期以及阻尼比确定。B项,根据第5.1.5条,由地震影响系数曲线图可知,在同一个场地上;相邻两个自振周期相差较大的高层建筑住宅,其抗震设计采用的地震影响系数可能相同。C项,地震影响系数的计算单位是1。
D解析:A项,根据《建筑抗震设计规范》(GB50011—2010)第5.1.4条,建筑结构的地震影响系数应根据烈度、场地类别、设计地震分组和结构自振周期以及阻尼比确定。B项,根据第5.1.5条,由地震影响系数曲线图可知,在同一个场地上;相邻两个自振周期相差较大的高层建筑住宅,其抗震设计采用的地震影响系数可能相同。C项,地震影响系数的计算单位是1。
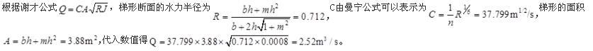
某梯形断面明渠均匀流,渠底宽度b=2.0m,水深h=1.2m,边坡系数m=1.0,渠道底坡i=0.0008,粗糙系数n=0.025,则渠中的通过流量Q应为( )。
A.5.25m3/s
B.3.43m3/s
C.2.52m3/s
D.1.95m3/s
A.5.25m3/s
B.3.43m3/s
C.2.52m3/s
D.1.95m3/s
答案如下:
C解析:
C解析:
根据《建设工程质量管理条例》的规定,以下哪些选项是勘察、设计单位应承担的责任和义务?
(A)从事建设工程勘察、设计的单位应当依法取得相应等级的资质证书
(B)勘察单位提供的地质、测量等成果必须真实准确
(C)设计单位在设计文件中选用的建筑材料、建筑物配件和设备,应当注明规格、型号、性能、生产厂商以及供应商等,其质量要求必须符合国家规定的标准
(D)设计单位应当参与工程质量事故分析,并有责任对因施工造成的质量事故,提出相应的技术处理方案
(A)从事建设工程勘察、设计的单位应当依法取得相应等级的资质证书
(B)勘察单位提供的地质、测量等成果必须真实准确
(C)设计单位在设计文件中选用的建筑材料、建筑物配件和设备,应当注明规格、型号、性能、生产厂商以及供应商等,其质量要求必须符合国家规定的标准
(D)设计单位应当参与工程质量事故分析,并有责任对因施工造成的质量事故,提出相应的技术处理方案
答案如下:
A,B
A,B