条件同题23。其基础梁的最大剪力设计值,与下列何项数值最为接近?( )
A、673、95kN
B、591、18kN
C、561、63kN
D、493、03kN
A、673、95kN
B、591、18kN
C、561、63kN
D、493、03kN
答案如下:
A解析:A点支座左的剪力,

A点支座右的剪力,

最大剪力为673.92kN。
A解析:A点支座左的剪力,

A点支座右的剪力,

最大剪力为673.92kN。
关于钢筋混凝土受弯构件疲劳验算,下列哪种描述正确( )
A.正截面受压区混凝土的法向应力图可取为三角形,而不再取抛物状分布
B.荷载应取设计值
C.应计算正截面受压边缘处混凝土的剪应力和钢筋的应力幅
D.应计算纵向受压钢筋的应力幅
A.正截面受压区混凝土的法向应力图可取为三角形,而不再取抛物状分布
B.荷载应取设计值
C.应计算正截面受压边缘处混凝土的剪应力和钢筋的应力幅
D.应计算纵向受压钢筋的应力幅
答案如下:
A解析:《混凝土结构设计规范》(GB50010—2010)(2015年版)第6.7.1条规定,受弯构件的正截面疲劳应力验算时,可采用下列基本假定:①截面应变保持平面;②受压区混凝土的法向应力图形取为三角形;③钢筋混凝土构件,不考虑受拉区混凝土的抗拉强度,拉力全部由纵向钢筋承受;要求不出现裂缝的预应力混凝土构件,受拉区混凝土的法向应力图形取为三角形;④采用换算截面计算。故A项正确。第6.7.2条规定,在疲劳验算中,荷载应取用标准值。故B项错误。第6.7.3条规定,钢筋混凝土受弯构件疲劳验算时,应计算下列部位的混凝土应力和钢筋应力幅:①正截面受压区边缘纤维的混凝土应力和纵向受拉钢筋的应力幅;②截面中和轴处混凝土的剪应力和箍筋的应力幅。注:纵向受压普通钢筋可不进行疲劳验算。故CD两项不正确。
A解析:《混凝土结构设计规范》(GB50010—2010)(2015年版)第6.7.1条规定,受弯构件的正截面疲劳应力验算时,可采用下列基本假定:①截面应变保持平面;②受压区混凝土的法向应力图形取为三角形;③钢筋混凝土构件,不考虑受拉区混凝土的抗拉强度,拉力全部由纵向钢筋承受;要求不出现裂缝的预应力混凝土构件,受拉区混凝土的法向应力图形取为三角形;④采用换算截面计算。故A项正确。第6.7.2条规定,在疲劳验算中,荷载应取用标准值。故B项错误。第6.7.3条规定,钢筋混凝土受弯构件疲劳验算时,应计算下列部位的混凝土应力和钢筋应力幅:①正截面受压区边缘纤维的混凝土应力和纵向受拉钢筋的应力幅;②截面中和轴处混凝土的剪应力和箍筋的应力幅。注:纵向受压普通钢筋可不进行疲劳验算。故CD两项不正确。
某地区常遭水患,年平均受灾损失达240万元。为减少洪水灾害损失,该地区拟修建水坝,其投资预计为480万元,项目寿命期按无限年考虑,年维护费12万元,如利率为5%,则该项目的效益费用比为()。
A.6.67
B.7.44
C.7.86
D.8.26
A.6.67
B.7.44
C.7.86
D.8.26
答案如下:
A解析:该工程建成后,每年可减少损失240万元,即该工程的效益为240万元;工程寿命期为无限年,则不用考虑折旧,只考虑利息和年维护费共480×5%+12=36(万元),即费用为36万元。所以其效益费用比为:240/36=6.67。
A解析:该工程建成后,每年可减少损失240万元,即该工程的效益为240万元;工程寿命期为无限年,则不用考虑折旧,只考虑利息和年维护费共480×5%+12=36(万元),即费用为36万元。所以其效益费用比为:240/36=6.67。
下列各组元素电负性大小顺序中错误的是()。
AF>O>N
BCl>S>As
CLi>Na>K
DS>N>C
AF>O>N
BCl>S>As
CLi>Na>K
DS>N>C
答案如下:
D解析:电负性是指周期表中各元素的原子吸引电子能力的一种相对标度。元素的电负性愈大,吸引电子的倾向愈大,非金属性也愈强。硅1.90,氮3.04和碳2.55
D解析:电负性是指周期表中各元素的原子吸引电子能力的一种相对标度。元素的电负性愈大,吸引电子的倾向愈大,非金属性也愈强。硅1.90,氮3.04和碳2.55
在静电场中,有一个带电体在电场力的作用下移动,由此所做的功的能量来源是:
A.电场能
B.带电体自身的能量
C.电场能和带电体自身的能量
D.电场外部的能量
A.电场能
B.带电体自身的能量
C.电场能和带电体自身的能量
D.电场外部的能量
答案如下:
C解析:带电体是在电场力的作用下做功,其能量来自电场和自身的重力能量。
C解析:带电体是在电场力的作用下做功,其能量来自电场和自身的重力能量。
考虑风吸力的荷载组合时,永久荷载的分项系数为( )。
A、1、0
B、1、2
C、1、3
D、1、4
A、1、0
B、1、2
C、1、3
D、1、4
答案如下:
A解析:荷载设计值等于荷载标准值乘以分项系数。当永久荷载产生的效应对结构不利时,对由可变荷载效应控制的组合,取1.2;对由永久荷载效应控制的组合,取1.35;永久荷载产生的效应对结构有利时,一般情况下荷载分项系数取1.0;当验算倾覆、滑移或漂浮时,取0.9;对其余某些特殊情况,应按有关规范采用。对于风吸力的荷载组合,永久荷载产生的效应对结构有利,故其分项系数应取1.0。
A解析:荷载设计值等于荷载标准值乘以分项系数。当永久荷载产生的效应对结构不利时,对由可变荷载效应控制的组合,取1.2;对由永久荷载效应控制的组合,取1.35;永久荷载产生的效应对结构有利时,一般情况下荷载分项系数取1.0;当验算倾覆、滑移或漂浮时,取0.9;对其余某些特殊情况,应按有关规范采用。对于风吸力的荷载组合,永久荷载产生的效应对结构有利,故其分项系数应取1.0。
与软黏土地基某时刻的主固结沉降计算无关的土工参数是( )。
A、土层厚度
B、土的渗透系数
C、土的压缩模量
D、土的变形模量
A、土层厚度
B、土的渗透系数
C、土的压缩模量
D、土的变形模量
答案如下:
D解析:软黏土地基某时刻的主固结沉降计算是随着时间变化而变化的,根据土层的渗透系数、压缩模量、初始孔隙比、土层厚度和给定的时间进行计算。
D解析:软黏土地基某时刻的主固结沉降计算是随着时间变化而变化的,根据土层的渗透系数、压缩模量、初始孔隙比、土层厚度和给定的时间进行计算。
下列关于荷载作用的描述哪项是正确的?( )
A.地下室顶板消防车道区域的普通混凝土梁在进行裂缝控制验算和挠度验算时可不考虑消防车荷载
B.屋面均布活荷载可不与雪荷载和风荷载同时组合
C.对标准值大于4kN/m2的楼面结构的活荷载,其基本组合的荷载分项系数应取1.3
D.计算结构的温度作用效应时,温度作用标准值应根据50年重现期的月平均最高气温Tmax和月平均最低气温Tmin的差值计算
A.地下室顶板消防车道区域的普通混凝土梁在进行裂缝控制验算和挠度验算时可不考虑消防车荷载
B.屋面均布活荷载可不与雪荷载和风荷载同时组合
C.对标准值大于4kN/m2的楼面结构的活荷载,其基本组合的荷载分项系数应取1.3
D.计算结构的温度作用效应时,温度作用标准值应根据50年重现期的月平均最高气温Tmax和月平均最低气温Tmin的差值计算
答案如下:
A解析:根据《建筑结构荷载规范》(GB50009—2012)表5.1.1可得,消防车的准永久值系数为0,A项正确;根据第5.3.3条规定,不上人的屋面均布活荷载可不与雪荷载和风荷载同时组合,B项错误;
根据第3.2.4条规定,对标准值大于4kN/m2的工业房屋楼面结构的活荷载,其基本组合的荷载分项系数应取1.3,其它情况应取1.4,C项错误;
根据第9.3.1条规定,对于结构最大温升和最大温降的工况,其计算公式是不同的,D项错误。
A解析:根据《建筑结构荷载规范》(GB50009—2012)表5.1.1可得,消防车的准永久值系数为0,A项正确;根据第5.3.3条规定,不上人的屋面均布活荷载可不与雪荷载和风荷载同时组合,B项错误;
根据第3.2.4条规定,对标准值大于4kN/m2的工业房屋楼面结构的活荷载,其基本组合的荷载分项系数应取1.3,其它情况应取1.4,C项错误;
根据第9.3.1条规定,对于结构最大温升和最大温降的工况,其计算公式是不同的,D项错误。
在下列CaO、MgO、NaF晶格能中,按从小到大顺序排列的是()。
A.NA.F、MgO、C.A.O
B.MgO、C.A.O、NA.F
C.NA.F、C.A.O、MgO
D.MgO、NA.F、C.A.O
A.NA.F、MgO、C.A.O
B.MgO、C.A.O、NA.F
C.NA.F、C.A.O、MgO
D.MgO、NA.F、C.A.O
答案如下:
C解析:影响晶格能的因素主要是离子电荷与离子半径
C解析:影响晶格能的因素主要是离子电荷与离子半径
《建筑法》中所指的建筑活动是( )。
①各类房屋建筑;②高速公路;③铁路;④水库大坝等。
A、①
B、①②
C、①②③
D、①②③④
①各类房屋建筑;②高速公路;③铁路;④水库大坝等。
A、①
B、①②
C、①②③
D、①②③④
答案如下:
A解析:根据《中华人民共和国建筑法》第二条规定,在中华人民共和国境内从事建筑活动,实施对建筑活动的监督管理,应当遵守本法。本法所称建筑活动,是指各类房屋建筑及其附属设施的建造和与其配套的线路、管道、设备的安装活动。
A解析:根据《中华人民共和国建筑法》第二条规定,在中华人民共和国境内从事建筑活动,实施对建筑活动的监督管理,应当遵守本法。本法所称建筑活动,是指各类房屋建筑及其附属设施的建造和与其配套的线路、管道、设备的安装活动。
在常用的传输介质中,带宽最宽、信号衰减最小、抗干扰能力最强的一类传输介质是()。
A.光纤
B.双绞线
C.同轴电缆
D.无线通信
A.光纤
B.双绞线
C.同轴电缆
D.无线通信
答案如下:
A解析:双绞线:抗干扰性能好,传输距离中等,但是对安装(接地)的要求比较高。同轴电缆:价格便宜,容易安装,但是传输距离短,抗干扰性能差;无线传输介质:传输距离远,传输速度快,但易受干扰。
A解析:双绞线:抗干扰性能好,传输距离中等,但是对安装(接地)的要求比较高。同轴电缆:价格便宜,容易安装,但是传输距离短,抗干扰性能差;无线传输介质:传输距离远,传输速度快,但易受干扰。
对框架一核心筒结构进行结构布置时,下列概念不正确的是()。
A.核心筒是框架一核心筒结构抵抗侧向力的最主要构件,核心筒需占有一定的面积,以获得受力所需的侧向刚度
B.为了尽可能地减少扭矩,宜布置核心筒位于整个结构的中央,筒外形对称,甚至筒内墙肢也宜均匀、对称设置,以适应框架一核心筒结构对扭矩较敏感的特点
C.为保证框架一核心筒结构的侧向刚度沿竖向不发生突变,宜将核心筒贯通建筑物的全高
D.为降低层高和方便铺设管线,同时也避免楼盖主梁搁置在核心筒的连梁上,可采用无梁楼盖将核心筒与周边柱、内柱连成整体,因此,周边柱之间的框架梁也可一并省去
A.核心筒是框架一核心筒结构抵抗侧向力的最主要构件,核心筒需占有一定的面积,以获得受力所需的侧向刚度
B.为了尽可能地减少扭矩,宜布置核心筒位于整个结构的中央,筒外形对称,甚至筒内墙肢也宜均匀、对称设置,以适应框架一核心筒结构对扭矩较敏感的特点
C.为保证框架一核心筒结构的侧向刚度沿竖向不发生突变,宜将核心筒贯通建筑物的全高
D.为降低层高和方便铺设管线,同时也避免楼盖主梁搁置在核心筒的连梁上,可采用无梁楼盖将核心筒与周边柱、内柱连成整体,因此,周边柱之间的框架梁也可一并省去
答案如下:
D解析:D项若仅以无边梁的无梁楼盖将周边柱、内柱与核心筒相连而周边柱之间不再有梁,则此时已不能在房屋的周边形成空间框架,也不能形成框架一核心筒结构,其侧向刚度及抗震性能等将均差于通常的框架一核心筒结构。为此,即使采用了无梁楼盖,也必须设置沿房屋周边并连接周边柱的框架梁。
D解析:D项若仅以无边梁的无梁楼盖将周边柱、内柱与核心筒相连而周边柱之间不再有梁,则此时已不能在房屋的周边形成空间框架,也不能形成框架一核心筒结构,其侧向刚度及抗震性能等将均差于通常的框架一核心筒结构。为此,即使采用了无梁楼盖,也必须设置沿房屋周边并连接周边柱的框架梁。
两相干平面简谐波振幅都是4cm,两波源相距30cm,相位差为π,在两波源连线的中垂线上任意一点P,两列波叠加后合振幅为( )cm。
A.0
B.8
C.16
D.30
A.0
B.8
C.16
D.30
答案如下:
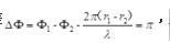
A解析:在两波源连线的中垂线上任意一点的波程差:δ=r2-r1=0。当两波在该点的位相差

为π的奇数倍时,合振幅最小,
A解析:在两波源连线的中垂线上任意一点的波程差:δ=r2-r1=0。当两波在该点的位相差

为π的奇数倍时,合振幅最小,