马克思说:“人只有为同时代人的完美、为他们的幸福而工作,自己才能达到完美。如果一个人只为自己劳动,他也许能够成为著名的学者、伟大的哲人、卓越的诗人,然而他永远不能成为完美的、真正伟大的人物。”这表明( )。
A.实现自我价值是创造社会价值的原因
B.个人价值的实现取决于他人的认同
C.人生社会价值可以代替自我价值
D.人生价值是自我价值和社会价值的统一
法律权威指的是法的
A.真理性B.证据性C.客观性D.不可违抗性
A.真理性B.证据性C.客观性D.不可违抗性
若
则
(1)求f(x)
(2)
记账凭证账务处理程序的适用范围是()。
- A.规模较大、经济业务量较多的单位
- B.采用单式记账的单位
- C.规模较小、经济业务量较少的单位
- D.会计基础工作薄弱的单位
(I)求实数a的值;
小组组员对小组产生认同的阶段是()。
- A.工作准备阶段
- B.工作开始阶段
- C.中期转折阶段
- D.后期成熟阶段
下列哪些是应对各类突发公共事件的工作原则( )
A、以人为本,减少危害B、居安思危,预防为主C、依法规范,加强管理D、依靠科技,提高素质
A、以人为本,减少危害B、居安思危,预防为主C、依法规范,加强管理D、依靠科技,提高素质
根据我国宪法和法律,下列关于监察委员会的表述,不.正确的是()
- A.国家监察委员会是最高监察机关
- B.上级监察委员会监督下级监察委员会的工作
- C.各级监察委员会是行使国家监察职能的专责机关
- D.监察委员会依法独立行使监察权,不受行政机关、社会团体和个人的干涉
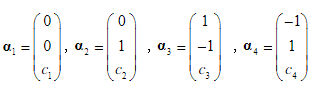
设
,其中
为任意常数,则下列向量组线性相关的为()
- A.

- B.

- C.

- D.

GeneralMotors,oneoftheworld'slargestautomanufacturers,isexpandingits________inthiscountry.
- A.existence
- B.presence
- C.location
- D.residence
Accordingtotheauthor,bilingualismcanhelp_____.
A.smalllanguagesbecomeacceptableinworkplaces
B.homogenizetheworld’slanguagesandcultures
C.globallanguagesreachhomeandcommunitysettings
D.speakersmaintaintheirlinguisticandculturalidentity
设x为3维单位向量,E为3阶单位矩阵,则矩阵的秩为_____。
(I)求。
1992年,党的十四大提出了我国经济体制改革的目标是建立社会主义市场经济体制。经过十四大到十八届三中全会20多年的实践,党对政府和市场的关系有了新的科学定位,提出使市场在资源配置中起()
- A.辅助性作用
- B.决定性作用
- C.基础性作用
- D.补充性作用
曲线渐近线的条数为( )。
A.0
B.1
C.2
D.3