在运送颈椎损伤伤员时,用纱袋或卷迭的衣物放在颈部两侧加以固定。()
石油的毒害性常用TLV来表示,其值系指_____。
A.有害气体浓度临界值
B.有害气体最大容许浓度
C.半数致死数量
D.半数致死浓度
急性阑尾炎的主要症状是转移性右下腹疼痛。()
在船舶灭火中,现场指挥在任何时候都应派得力人手保证救生艇筏的安全。
此题为判断题(对,错)。
手提式1211灭火器应每年检查一次灭火剂重量,如发现重量减少1/10应补充药剂。
此题为判断题(对,错)。
鲨鱼袭击落水者,在北半球常会发生在_____。
A.1月
B.7月
C.10月
关于空调的以下说法中对的是______。
A.送风温差越大越好,因为送风量可因此减小
B.加湿器后设有挡水板,故加湿量一般不会过大
C.冬季室外气温下降时空气吸湿能力降低,加湿阀应关小
D.空气滤器清洗后,使用间隔时间会缩短
船上急救箱所配备的器械和药物可根据船员与乘客的______进行调整。
A.人数
B.要求
C.健康状况
船舶上最常见的传染病是肝炎、痢疾和性病。
此题为判断题(对,错)。
对过冷现象患者进行急救,若患者神智尚清醒,只要脱去全部的湿衣服换上干衣服或裹上毛毯,并在不低于_____的环境中休息,即可恢复体温。
A.15℃
B.22℃
C.30℃
海面上有油火,落水者需换气时,应先将手探出水面旋转拨开油火,头出水后立即转身面向_____作深呼吸。
A.上风
B.横风
C.下风
According to the passage, we can infer that the pole piece diameter must be tooth height.
A.as same as
B.much less than
C.much more than
D.not confirmed
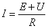
一段含源支路如下图,其电流I的表达式为______。

A.
B.
C.
D.
神经系统的活动极为复杂,其最基本的活动方式是______。
A.感觉
B.运动
C.反射
船舶机械发生故障,被认为是海上险情的一种。
此题为判断题(对,错)。