1、反映一个组织系统中各工作部门或各管理人员之间的指令关系的是()。
A. 组织结构模式
B. 组织分工
C. 管理职能分工
D. 工作流程
本题答案:
A
2、某施工企业组织结构如下图所示,则该企业采用的组织结构模式是( )。

A.职能组织结构
B.线性组织结构
C.矩阵组织结构
D.直线组织结构
本题答案:
C
3、管理是由多个环节组成的过程,这些环节的正确顺序是( )
A.提出问题→决策→筹划→执行→检查
B.提出问题→检查→筹划→决策→执行
C.提出问题→检查→决策→筹划→执行
D.提出问题→筹划→决策→执行→检查
本题答案:
D
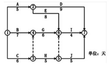
4、下列工作流程中,属于管理工作流程组织的是( )。
A.钢结构深化设计工作流程
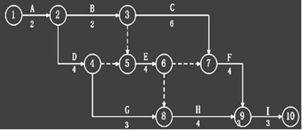
B.月进度报告数据处理流程
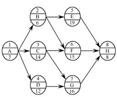
C.设计变更工作流程
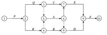
D.外立面施工工作流程
本题答案:
C
5、建设工程项目实施的组织策划的内容不包括()。
A.方案设计竞赛的组织
B.建立编码体系
C.项目管理工作流程
D.任务分工和管理职能分工
本题答案:
A
6、根据我国《建筑法》,合同约定由工程承包单位采购的建筑材料和建筑构配件,建设单位可以( )。
A.指定生产厂
B.指定供应商
C.提出质量要求
D.指定具体品牌
本题答案:
C
7、建设项目工程总承包的意义主要在于()。
A.通过项目“交钥匙”方式建设,实现项目专业化管理的目的
B.通过设计与施工过程的组织集成,促进设计和施工紧密结合,以达到为项目建设增值的目的
C.通过施工和设计的结合,以达到降低成本的目的
D.通过项目总价包干,实现业主效益最大化的目的
本题答案:
B
8、关于项目目标动态控制的工作程序说法,以下正确的是( )。
A.收集项目目标的实际值—实际值与计划值比较—找出偏差—采取纠偏措施
B.收集项目目标的实际值—实际值与计划值比较—找出偏差—进行目标调整
C.收集项目目标的实际值—实际值与计划值比较—采取控制措施—进行目标调整
D.实际值与计划值比较—找出偏差—采取控制措施—收集项目目标的实际值
本题答案:
A
9、项目投资的动态控制中,投资的计划值和实际值是相对的,相对于工程预算而言,()是投资的计划值。
A.工程概算
B.工程支付款
C.工程决算
D.工程合同价
本题答案:
A
10、关于施工企业劳动用工和工资支付管理,下列说法中正确的是( )
A.建筑施工企业应当至少每3个月向劳动者支付一次工资
B.建筑施工企业劳动者工资可以由包工头代领
C.建筑施工企业与劳动者终止劳动合同,应当在办理终止手续的同时一次性付清劳动者工资
D.劳动合同应一式两份,双方当事人各持一份
本题答案:
C
11、下列关于施工企业项目经理的说法中,正确的是( )
A.项目经理经双方确定后,不可更换
B.承包人需要更换项目经理的,只需提前14天通知发包人和监理人即可
C.项目经理确需离开施工现场,应事先通知监理人,并取得发包人书面同意
D.承包人任命项目经理后,只需向发包人提交为项目经理缴纳社会保险的有效证明,项目经理即可履行职责
本题答案:
C
12、下列施工成本管理的措施中,属于经济措施的是()。
A.选用合适的分包项目合同结构
B.确定合理的施工成本控制工作流程
C.确定合适的施工机械,设备使用方案
D.对施工成本管理目标进行风险分析,并制定防范性对策
本题答案:
D
13、施工成本管理的任务有五项,其中应贯穿施工项目从投标阶段开始直至保证金返还全过程的任务是( )。
A.成本预测
B.成本计划
C.成本控制
D.成本考核
本题答案:
C
14、指导性成本计划的编制依据为()。
A.合同条件
B.设计图纸
C.合同价
D.实施方案
本题答案:
C
15、某施工承包企业将其承接的高速公路项目的总施工成本分解为桥梁、隧道、道路工程成本等子项,并编制相应的成本计划,这是按( )分解的。
A.成本组成
B.项目组成
C.工程类别
D.工程性质
本题答案:
B
16、编制施工项目成本计划,由( )负责组织编制。
A.施工单位技术负责人
B.项目经理
C.项目管理机构
D.施工单位成本管理负责人
本题答案:
C
17、关于成本控制的说法,不正确的是()。
A.成本管理体系没有社会组织来评审和认证
B.要做好成本的过程控制,必须制定规范化的过程控制程序
C.管理行为控制程序是进行成本过程控制的重点
D.管理行为控制程序和指标程序既相对独立又相互联系,既相互补充又相互制约
本题答案:
C
18、对总量1000万元的工程项目进行期中检查,截止检查时已完成工作预算费用410万元,计划工作预算费用为400万元,已完工作实际费用为430万元,则其进度绩效指数为( )。
A.0.430
B.0.930
C.0.953
D.1.025
本题答案:
D
19、通过()对比,可以反映本项目的技术和经济管理水平与行业的平均及先进水平的差距,进而采取措施提高本项目管理水平。
A.实际指标与计划指标
B.与本行业平均水平、先进水平
C.本期实际指标与上期实际指标对比
D.本期实际指标与上期目标指标对比
本题答案:
B
20、项目进度控制的主要工作环节中,首先应进行的工作是( )。
A.编制进度计划
B.分析和论证进度目标
C.定期跟踪进度计划的执行情况
D.采取纠偏措施
本题答案:
B
21、某分部工程双代号时标网络计划如下图所示,其中工作B的总时差和自由时差()。

A.分别为2天和3天
B.均为2天
C.分别为2天和4天
D.均为0天
本题答案:
B
22、进度计划的调整内容不包括( )。
A.调整关键线路的长度
B.逻辑关系的调整
C.工作方式的调整
D.资源投入的调整
本题答案:
C
23、某工程双代号网络计划如下图所示,该网络计划中有( )条关键线路。

A.1
B.2
C.3
D.4
本题答案:
C
24、某工程单代号网络计划如下图所示(时间单位:天),下列说法错误的是( )。

A.工作E是非关键工作
B.工作B的自由时差为0
C.工作D的总时差为2天
D.工作F的最迟开始时间为21天
本题答案:
D
25、某分部工程双代号网络计划如下图所示,则工作C的自由时差为( )天。

A.1
B.2
C.0
D.3
本题答案:
C
26、下列各项中属于横道图进度计划的优点是( )。
A.便于确定关键工作
B.工作时差易于分析
C.表达方式直观
D.工作之间的逻辑关系表达清楚
27、为了实现进度目标,比较分析工程物资的采购模式,属于进度控制的是()。
A.组织措施
B.管理措施
C.经济措施
D.技术措施
28、利用工程网络计划编制进度计划,必须()。
A.明确整个项目的承包形式
B.确定项目经济部门的组成人员
C.通过网络分析确定关键路线,以控制进度
D.了解各工序的资金使用情况
29、根据《质量管理体系基础和术语》(GB/T19000一2008/ISO9000:2005),质量控制是质量管理的一部分,是致力于满足质量要求的一系列相关活动。这些活动不包括()。
A.质量策划
B.设定目标
C.评价分析
D.纠正偏差
30、保证施工质量的重要措施是( )。
A.加强施工人员的管理
B.采用技术先进、经济合理、安全可靠的施工技术工艺方案
C.采用节能低碳的新型建筑材料和设备
D.合理选择和正确使用施工机械设备
31、关于企业质量管理体系认证与监督的说法,以下正确的是( )。
A.企业质量管理体系获准认证的有效期为5年
B.认证机构的定期检查通常是每年两次
C.认证机构做出撤销认证的决定,企业不服可以提出申诉
D.撤销认证的企业立刻可重新提出认证申请
32、关于质量管理的PDCA循环,以下说法错误的是( )。
A.在质量管理的PDCA循环中,确定质量目标并制定实现质量目标的行动方案,属于计划职能
B.在质量管理的PDCA循环中,行动方案的部署和交底,属于实施职能
C.在质量管理的PDCA循环中,项目参与各方制定检验试验要求,属于检查职能
D.在质量管理的PDCA循环中,及时进行原因分析,采取必要的措施予以纠正,属于处置职能
33、施工质量控制点应选择技术要求高、对工程质量影响大或是发生质量问题时危害大或()的对象进行设置。
A.劳动强度大
B.施工难度大
C.施工技术先进
D.施工管理要求高
34、现场质量检查的方法包括目测法、实测法和试验法。下列可通过目测法中“摸”的手段检查质量的是()。
A.油漆的光滑度
B.管道管井内管线、设备安装质量
C.内墙抹灰的大面及口角是否平直
D.清水墙面是否洁净
35、根据《建筑工程施工质量验收统一标准》,建筑工程质量验收划分为()。
A.分部工程、分项工程和检验批
B.分部工程、分项工程、隐蔽工程和检验批
C.单位工程、分部工程、分项工程和检验批
D.单位工程、分部工程、分项工程、隐蔽工程和检验批
36、严重质量缺陷或超过检验批范围内的缺陷,经法定检测单位检测鉴定以后,认为不能满足最低限度的安全储备和使用功能,则必须进行加固处理,经返修或加固处理的分项分部工程,满足安全及使用功能要求时,其正确的处理方法是( )。
A.按技术处理方案和协商文件进行验收
B.没有质量缺陷应予以验收
C.仍按验收不合格处理
D.先返工处理重新进行验收
37、关于工程项目质量验收的要求,不属于分部工程质量验收合格的条件是( )。
A.主控项目质量检验合格
B.所含分项工程验收合格
C.质量控制资料完整
D.观感质量验收符合要求
38、浇筑混凝土时随意加水,或振捣疏漏造成混凝土质量事故的,属于()。
A.指导责任事故
B.控制责任事故
C.一般责任事故
D.操作责任事故
39、某工程第三层混凝土现浇楼面的平整度偏差达到10mm,其后续作业为找平层和面层的施工,这时应该( )。
A.加固处理
B.修补处理
C.限制使用
D.不作处理
40、在质量控制的统计分析方法中,最能形象、直观、定量反映影响质量的主次因素的是( )。
A.因果分析图法
B.分层法
C.排列图法
D.直方图法
41、对工程项目实施质量监督的过程中,制订工作计划并组织实施的后续步骤是( )。
A.受理建设单位办理质量监督手续
B.对工程实体质量和工程质量行为进行抽查、抽测
C.形成工程质量监督报告
D.监督工程竣工验收
42、影响作业场所内的员工、临时工作人员、合同方人员、访问者和其他人员健康安全的条件和因素被称为()。
A.职业健康安全
B.劳动安全
C.环境管理
D.环境保护
43、在建设工程设计阶段,工程安全环保设施费用、安全施工和环境保护措施费用应在( )中明确。
A.工程总概算
B.投资规划
C.施工图预算
D.项目管理规划大纲
44、要对防风防沙、防涝抗旱、防雷电、防暑防害等工作进行( ),并根据发生规律,及时采取相应的防护措施。
A.节假日检查
B.要害部门重点安全检查
C.季节性安全检查
D.经常性安全检查
45、建设工程施工安全控制的目标是( )
A.找出所有危险源
B.评估危险源可能造成的危害
C.减少和消除生产过程中的事故
D.事故应急处理
46、根据《安全生产许可证条例》规定,下列关于安全生产许可证的叙述有误的是( )。
A.安全生产许可证有效期为3年
B.安全生产许可证有效期满需要延期的,应于期满前3个月向原颁发管理机关办理延期手续
C.企业在安全生产许可证有效期内,严格遵守有关安全生产的法律法规,未发生伤亡事故的,安全生产许可证有效期届满时,经原颁发机关同意,可不再审查
D.安全生产许可证有效期延期为3年
47、施工现场处置方案的主要内容为()。
A.应急工作原则
B.应急组织与职责
C.信息发布
D.应急预案体系
48、某事故6人死亡,50人重伤,直接经济损失6000万元,根据《生产安全事故报告和调查处理条列》,关于该事故调查的说法,正确的是( )。
A.应由事故发生地省级人民政府直接组织事故调查组进行调查
B.只能由事故发生地县级人民政府直接组织事故调查组进行调查
C.应由事故发生地设区的市级人民政府委托有关部门组织事故调查组进行调查
D.可由事故发生地县级人民政府委托事故发生单位组织事故调查组进行调查
49、在人口稠密地区进行强噪声作业时,一般停止作业的时间为( )
A.晚8:00至日早8:00
B.晚9:00至次日早7:00
C.晚10:00至次日早7:00
D.晚10:00至次日早6:00
50、根据水污染主要来源的分类,合成洗涤剂、杀虫剂、病原微生物属于( )
A.工业污染源
B.生活污染源
C.农业污染源
D.综合污染源
51、建设工程招标投标活动中,自投标截止时间到投标有效期终止时间之后,关于投标文件处理的说法,以下正确的是( )。
A.投标人可以替换已提交的投标文件
B.投标人可以补充或修改已提交的投标文件
C.投标人撤销投标文件的,招标人可以不退还投标保证金
D.投标文件在该期间送达的,也应视为有效
52、关于建设工程施工承包合同以下说法正确的是( )。
A.在建设工程施工承包合同谈判中,承包人应力争以维修保函代替业主扣留的保留金
B.合同风险评估是在施工承包合同履行阶段进行的
C.建设工程施工承包合同由合同双方达成协议并签字后,就受到法律保障
D.双方在合同谈判结束后,即可形成正式文件
53、根据《建设工程施工专业分包合同(示范文本)》(GF—2003—0213),承包人应提供总包合同供分包人查阅,但有关( )内容除外。
A.承包工程的价格内容
B.承包工程的进度要求
C.承包工程的质量要求
D.违约责任的条款
54、全部工作完成,经承包人认可后( )d内,劳务分包人向承包人递交完整的结算资料,双方按照合同约定的计价方式,进行劳务报酬的最终支付。
A.14
B.28
C.42
D.56
55、监理人更换总监理工程师时,应提前( )天向委托人书面报告,经其同意后方可更换。
A.3
B.7
C.9
D.14
56、根据《建设工程施工合同(示范文本)》(GF—2017—0201),保修期自( )起计算。
A.合同签订日期
B.竣工验收合格之日
C.通过竣工验收之日
D.颁发工程接收证书之日
57、根据《建设工程施工合同(示范文本)》(GF-2017-0201),除专用条款另有约定外,下列合同文件中拥有最优先解释权的是( )。
A.通用合同条款
B.投标函及其附录(如果有)
C.技术标准和要求
D.图纸
58、关于建筑材料采购合同条款的说法,正确的是( )。
A.不属于国家定价的材料(产品),由供方确定价格
B.需方提货的,交货日期以需方收货戳记的日期为准
C.建筑材料的包装物由供方负责,并且一般不另向需方收费
D.建筑材料采购合同通常采用固定总价合同
59、在招标时,在工程总成本一开始估计不准,可能变化不大的情况下时可采用的成本加酬金合同的形式是( )。
A.成本加固定费用合同
B.成本加固定比例费用合同
C.成本加奖金合同
D.最大成本加费用合同
60、按照我国保险制度,关于工程一切险的说法,以下正确的是( )。
A.通常由承包人办理保险
B.不包含承包人设备保险
C.必须包含人身意外伤害险
D.投保人应以双方名义共同投保
61、下列文件中,不属于施工合同跟踪依据的是( )
A.合同实施中出现偏差的报告
B.管理人员对现场情况的直观了解
C.原始记录、报表、验收报告等各种实际工程文件
D.合同以及依据合同而编制的各种计划文件
62、不良行为记录是经( )以上建设行政主管部门或其委托的执法监督机构查实和行政处罚形成的记录。
A.县级
B.市级
C.省级
D.地级
63、在合同分析中,应明确工程变更的补偿范围,工程变更补偿范围通常以合同金额一定的百分比表示,这个百分比越大,则( )。
A.合同金额越高
B.承包商利润越高
C.承包商的风险越大
D.对承包商的补偿越多
64、建设工程施工合同交底是指( )进行交底。
A.发包人向承包人合同管理人员
B.监理人向承包人合同管理人员
C.承包人合同管理人员向其内部各层次管理者
D.承包人项目经理向现场操作人员
65、工程施工过程中发生索赔事件以后,承包人首先要做的工作是( )。
A.向监理工程师提交索赔证据
B.提出索赔意向通知
C.提交索赔报告
D.与业主就索赔事项进行谈判
66、非承包商原因导致非关键线路上的某项工作延误,如延误时间小于该项工作的总时差,则对此项延误的补偿是( )。
A.业主既应给予工期顺延,也应给予费用补偿
B.业主一般不会给予工期顺延,但给予费用补偿
C.业主既不会给予工期顺延,也不给予费用补偿
D.业主一般不会给予工期顺延,但可能给予费用补偿
67、当协商和调解不成时,( )是解决国际工程承包合同争议的常用方式。
A.诉讼
B.和解
C.第三方担保
D.仲裁
68、建设工程项目信息管理的最终目的是( )。
A.通过项目信息收集的有效组织和控制为项目参与各方的沟通搭建平台
B.通过项目信息传输的有效组织和控制为项目建设的增值服务
C.通过项目信息存储的有效组织和控制为项目运行期的维护保养提供依据
D.通过项目信息处理的有效组织和控制为项目业主方协调各方关系提供依据
69、编码是信息处理的一项重要基础工作,进行建设工程项目的进度计划的工作项目统一编码时应综合考虑()。
A.不同层次、不同深度和不同用途的进度计划的工作项的需要
B.不同时间、不同工序和不同阶段的进度计划的工作项的需要
C.不同关键点的工作项的需要
D.不同工种的工作项的需要
70、()是基于互联网技术为建设工程增值的重要管理工具,是当前在建设工程管理领域中信息化的重要标志
A.P3项目管理软件
B.项目信息门户
C.MSProject
D.MSVisio
71、根据国际设施管理协会的设施管理定义,下列管理事项中,属于物业资产管理的有( )
A.财务管理
B.空间管理
C.用户管理
D.现代化管理
E.维修管理‘
72、关于施工方项目管理目标和任务的说法,正确的有( )。
A.施工方项目管理仅服务于施工方本身的利益
B.施工方项目管理不涉及动用前准备阶段
C.施工方成本目标合同中约定
D.施工方需对业主方指定分包承担的目标和任务负责
E.施工方必须按工程合同规定的工期目标和质量目标完成建设任务
73、项目的投资目标能否得以实现与设计密切相关,设计方项目管理的目标包括( )。
A.设计的成本目标
B.设计的进度目标
C.设计的质量目标
D.设计的节能目标
E.项目的投资目标
74、下列关于施工总承包模式的说法,正确的有( )
A.一般以施工图设计为投标报价的基础,投标人投标报价较有依据
B.一般要等到施工图全部出齐后,才能进行施工总承包的招标
C.建设工程项目质量的好坏很大程度上取决于业主的管理水平
D.业主的组织协调工作量与平行发包模式相比大大减小
E.业主的招标及合同管理工作量较大
75、建设工程项目管理规划的内容一般包括()。
A.项目可行性研究报告
B.项目的评估论证
C.项目管理的组织
D.项目采购和合同结构分析
E.技术路线和关键技术的分析
76、下列具体情况中,施工组织设计应及时进行修改或补充的有( )。
A.由于施工规范发生变更导致需要调整预应力钢筋施工工艺
B.由于国际钢材市场价格大涨导致进口钢材无法及时供料,严重影响工程施工
C.由于自然灾害导致工期严重滞后
D.设计单位应业主要求对工程设计图纸进行了细微修改
E.施工单位发现设计图纸存在严重错误,无法继续施工
77、关于风险和风险量的说法,以下正确的是( )。
A.风险量反映的是不确定的损失程度和风险因素的多少
B.风险量反映的是风险因素的多少和实际损失的大小
C.风险量反映的是不确定的损失程度和损失发生的概率
D.若某个可能发生的事件其可能的损失程度和发生概率都很大,则属于风险区D
E.若某个可能发生的事件其可能的损失程度大,发生概率小,则属于风险区B
78、下列属于建设工程项目施工成本的有( )。
A.生产工人人工费
B.材料费
C.利润
D.管理人员差旅交通费
E.施工机具使用费
79、为有效控制施工机具使用费支出。从台班单价方面进行控制的是( )。
A.提高机械设备的完好率,最大限度地提高机械设备的利用率
B.加强机械操作人员的培训工作,不断提高操作技能
C.降低材料成本,做好施工机械配件和工程材料采购计划
D.加强设备租赁计划管理,减少不必要的设备闲置和浪费
E.保证施工机械设备的作业时间,安排好生产工序的衔接
80、下列有关施工成本过程控制方法的表述正确的有( )。
A.人工费的影响因素包括生产消费指数
B.材料费控制可按照“量价分离”原则进行
C.控制人工费的方法不包括“制定先进合理的企业内部劳动定额”
D.材料用量的控制方法包括包干控制
E.施工机械使用费主要由台班数量和台班单价两方面决定
81、有关施工成本业务核算的表述,说法正确的有( )。
A.范围比会计、统计核算要窄
B.仅可对尚未发生或正在发生的经济活动进行核算
C.是各业务部门根据业务工作的需要而建立的核算制度
D.包括单位工程及分部分项工程进度登记,物资消耗定额记录
E.特点是对个别的经济业务进行单项核算
82、业主方进度控制的任务是控制整个项目实施阶段的进度,包括( )。
A.控制项目可行性研究报告的编制进度
B.控制设计工作进度
C.控制施工进度
D.控制项目动用前准备阶段的工作进度
E.控制物资采购工作进度
83、下列关于项目总进度目标论证的工作内容的表述正确的有( )。
A.建设工程项目的总进度目标指的是项目实施阶段的进度目标
B.建设工程项目总进度目标的控制是业主方项目管理的任务
C.若项目总进度目标不可能实现,则项目管理者应直接调整项目总进度目标
D.在项目的实施阶段,项目总进度应包括项目可行性研究报告编制进度
E.总进度目标论证并不是单纯的总进度规划的编制工作,它涉及许多工程实施的条件分析和工程实施策划方面的问题
84、关于偏差分析表达方法的说法,以下正确的是( )。
A.横道图法是最常用的一种方法
B.横道图法形象、直观、一目了然
C.横道图法能够准确表达出费用的相对偏差
D.横道图法具有信息量大的特点
E.表格法具有灵活、适用性强的特点
85、某分部工程中各项工作间逻辑关系见下表,相应的双代号网络计划见下图,图中的错误有( )。

A.有多个终点节点
B.有多个起点节点
C.工作代号重复
D.不符合给定逻辑关系
E.节点编号有误
86、某工程施工进度计划如下图所示,下列说法正确的有()。

A.R的紧后工作有A、B
B.E的紧前工作只有C
C.D的紧后工作只有F
D.P没有紧前工作
E.A、B的紧后工作都有D
87、已知某工作的自由时差为3天,总时差为5天,若该工作延误5天,则下列说法正确的有()。
A.总工期延误1天
B.不影响总工期
C.紧后工作的开始时间延误2天
D.紧后工作的开始时间不受影响
E.关键工作会发生变化
88、下列有关工程项目进度网络图绘制的表述,正确的有( )。
A.单代号网络图中可以有多个起点节点
B.双代号网络图中应只有一个起点节点和一个终点节点(多目标网络计划除外)
C.双代号网络图中节点的编号必须连续
D.单代号网络图中的节点可以用圆圈或矩形表示
E.网络图中所有节点都必须有编号
89、关于虚工作的说法,正确的有( )。
A.虚工作只在双代号网络计划中存在
B.虚工作一般不消耗资源但占用时间
C.虚工作可以正确表达工作间逻辑关系
D.双代号时标网络计划中虚工作用波形表示
E.虚工作的作用包括联系、区分和断路
90、项目实施过程中常见的质量风险中,从风险产生的原因分析,常见的质量风险有()。
A.自然风险
B.技术风险
C.管理风险
D.环境风险
E.政治因素
91、在大中型工程项目尤其是群体工程项目中,第一层次的质量控制体系可由( )的项目管理机构负责建立。
A.建设单位
B.设计总负责单位
C.代建方
D.施工总承包单位
E.工程总承包企业
92、下列有关施工质量要达到的要求的表述,正确的有( )。
A.施工质量要达到的最基本要求是:通过施工形成的项目工程实体质量符合施工承包合同的约定
B.施工质量验收合格的条件之一是:符合工程勘察、设计文件的要求
C.在我国,全国和地方(部门)的建设主管部门或行业协会设立了各种优质工程奖
D.“合格”是对项目质量的最基本要求
E.施工质量要求符合《建筑工程施工质量验收统一标准》,属于“施工承包合同约定”的要求
93、工程符合下列( )条件,方可进行竣工验收。
A.完成工程设计和合同约定90%的内容
B.有完整的技术档案和施工管理资料
C.有施工单位签署的工程质量保修书
D.有工程质量监督机构的审核意见
E.有工程使用的全部建筑材料、建筑构配件和设备的进场试验报告
94、作业文件是职业健康安全与环境管理体系文件的组成之一,其内容包括()。
A.管理手册
B.操作规程
C.程序文件
D.监测活动准则
E.程序文件引用的表格
95、完善的预警体系为事故预警提供了物质基础,一个完整的安全生产管理预警体系应由( )构成。
A.外部环境预警系统
B.内部管理不良的预警系统
C.预警信息管理系统
D.事故预警系统
E.预警评价考核系统
96、关于建设工程安全生产管理预警级别的说法,正确的有( )。
A.IV级预警表示生产活动处于正常状态
B.Ⅳ级预警一般用黄色表示
C.Ⅱ级预警表示处于事故的上升阶段
D.Ⅲ级预警表示受到事故的严重威胁
E.Ⅰ级预警一般用红色表示
97、施工现场宿舍的设置,符合要求的有( )。
A.室内净高为2.6m
B.每间宿舍居住人员18人
C.2层床铺
D.通道宽度1.0m
E.通铺长度14m
98、下列有关建设工程现场职业健康安全卫生措施的表述正确的有( )。
A.食堂的燃气罐应单独设置存放间
B.食堂应设置独立的制作间、储藏间,门扇下方应设不低于0.2米的防鼠挡板
C.施工现场150人以上的临时食堂,污水排放时可设置简易有效的隔油池
D.食堂外应设置密闭式泔水桶,并应及时清运
E.制作间灶台及其周边应贴瓷砖,所贴瓷砖高度与吊顶齐平
99、采用固定总价合同时,承包商承担的工作量风险有( )。
A.漏报项目
B.工程范围不确定
C.报价计算错误
D.物价和人工费上涨
E.工程量计算错误
100、下列工程担保中,以保护发包人合法权益为目的的有( )。
A.投标担保
B.支付担保
C.履约担保
D.预付款担保
E.工程保修担保