1、建设工程项目管理,是指自项目开始至项目完成,通过项目策划和项目控制,实现项目的费用目标、进度目标和质量目标。对此下列理解中正确的是()。
A.自项目开始至项目完成指的是项目的寿命期
B.项目策划的主要任务是项目定义
C.费用目标对业主而言就是成本目标
D.项目实施期管理的主要任务是通过管理使项目目标得以实现
本题答案:
D
2、业主方项目管理的目标和任务,说法正确的是()
A.项目管理的投资目标指的是业主的成本目标
B.业主方项目管理服务于项目的利益
C.业主方的项目管理工作仅涉及项目施工阶段的全过程
D.业主方项目管理的任务中安全管理是项目管理中最重要的任务
本题答案:
D
3、根据《建设项目工程总承包管理规范》,项目总承包方项目管理工作不涉及()
A.项目决策管理
B.项目设计管理
C.项目采购管理
D.项目施工管理
本题答案:
A
4、关于工作任务分工的说法,错误的是()。
A.工作任务分工可以用相应的组织工具表示其组织关系
B.组织论中组织分工指的就是工作任务分工
C.项目各参与方有各自的项目管理工作任务分工
D.工作任务分工应随着项目进展而不断深化和细化
本题答案:
B
5、图中表示的组织工具是()

A.项目结构图
B.组织结构图
C.合同结构图
D.矩阵组织结构图
本题答案:
C
6、项目建设成本分析属于建设工程项目()阶段的主要任务。
A.决策
B.设计
C.动工前准备
D.施工
本题答案:
A
7、某建设工程项目采取施工总承包管理模式,其中的某些分包工程由建设单位发包给乙单位。在施工中,乙单位应该直接接受()的工作指令。
A.建设单位
B.设计单位
C.施工总承包管理企业
D.施工承包企业
本题答案:
C
8、下列施工组织设计的基本内容中,可以反映现场文明施工组织的是()。
A.工程概况
B.施工部署
C.施工平面图
D.技术经济指标
本题答案:
C
9、项目投资的控制周期应视项目的( )而定。
A.预算和合同
B.目标和规模
C.规模和特点
D.预算和特点
本题答案:
C
10、根据动态控制原理,在项目实施过程中对项目目标进行动态跟踪和控制首先应()。
A.对项目目标进行分解
B.收集项目的实际值
C.进行计划值与实际值的比较
D.采取纠偏措施进行纠偏
本题答案:
B
11、某工程,若经评估材料价格上涨的风险发生的概率为2级,造成的损失属于3级,则此种风险等级评估为()级风险。
A.Ⅰ
B.Ⅱ
C.Ⅲ
D.Ⅳ
本题答案:
B
12、施工成本是指在建设工程项目的施工过程中所发生的全部生产费用的总和,建设工程项目施工成本由直接成本和间接成本所组成。选项中,属于间接成本的是()。
A.人工费
B.管理人员工资
C.材料费
D.施工机具使用费
本题答案:
B
13、下列成本管理的措施中,属于经济措施的是()
A.编制成本控制工作计划
B.进行技术经济分析
C.选用合适的合同结构
D.对成本管理目标进行风险分析,并制定防范性对策
本题答案:
D
14、建设工程项目按其成本构成编制施工成本计划时,是指将施工成本分解为()。
A.人工费、材料费、施工机具使用费和企业管理费
B.单位工程施工成本及分部、分项工程施工成本等
C.人工费、材料费、施工机械使用费、企业管理费、规费、税金和利润
D.建筑工程费和安装工程费
本题答案:
A
15、关于施工预算和施工图预算比较的说法,正确的是()
A.施工预算既适用于建设单位,也适用于施工单位
B.施工预算的编制以施工定额为主要依据,施工图预算的编制以预算定额为主要依据
C.施工预算是投标报价的依据,施工图预算是施工企业组织生产的依据
D.编制施工预算依据的定额比编制施工图预算依据的定额粗略一些
本题答案:
B
16、某项目按施工进度编制的施工成本计划如下图,则6月份计划成本是( )万元。

A.300
B.400
C.550
D.1150
本题答案:
C
17、赢得值法中,当已完工作预算费用/计划工作预算费用()时,表示进度提前,即实际进度比计划进度快。
A.大于1
B.小于1
C.大于0
D.小于0
本题答案:
A
18、对于施工成本中人工费的控制,应实行( )的方法。
A.计量控制
B.指标控制
C.量价分离
D.包干控制
本题答案:
C
19、某地下工程施工合同约定,计划3月份完成混凝土工程量500立方米,合同单价为600元/立方米。该工程3月份实际完成的混凝土工程量为400立方米,实际单价700元/立方米。至3月底,该工程的费用绩效指数(CPI)为()。
A.0.800
B.0.857
C.1.167
D.1.250
本题答案:
B
20、在市场经济条件下,在成本、会计核算中应当对可能发生的损失和费用,作出合理预计,以增强抵御风险的能力。是指成本核算原则中的()
A.重要性原则
B.谨慎原则
C.一惯性原则
D.相关性原则
本题答案:
B
21、年度成本分析的依据是年度成本报表,年度成本分析的重点是( )
A.分析当年的成本降低水平
B.分析目标成本的落实情况
C.分析下一年度各项目的成本总量构成情况
D.针对下一年度施工进展情况制定切实可行的成本管理措施
本题答案:
D
22、在项目成本分析的依据中,既可对已经发生的经济活动进行核算,又可对尚未发生的经济活动进行核算的方式是()。
A.会计核算
B.成本核算
C.业务核算
D.统计核算
本题答案:
C
23、关于建设工程项目总进度目标的说法,正确的是()。
A.建设工程项目总进度目标的控制是施工总承包方项目管理的任务
B.在进行项目总进度目标控制前,首先应分析和论证进度目标实现的可能性
C.项目实施阶段的总进度指的就是施工进度
D.项目总进度目标论证就是要编制项目的总进度计划
本题答案:
B
24、建设工程项目总进度目标论证的工作步骤中,首先应()
A.调查研究和收集资料
B.项目结构分析
C.进度计划系统的结构分析
D.项目的工作编码
本题答案:
A
25、关于双代号网络图中节点编号的说法,正确的是()。
A.起点节点的编号为0
B.箭头节点编号要小于箭尾节点编号
C.每一个节点都必须编号
D.各节点应连续编号
本题答案:
C
26、工作最早开始时间为第4天,总时差为2天,持续时间为6天,该工作的最迟完成时间是第()天。
A.9
B.11
C.10
D.12
27、某双代号网络图中(以天为单位),工作Q的最早开始时间为6天,工作持续时间为4天,工作R的最迟完成时间为22天,工作持续时间为10天,工作S的最迟完成时间为20天,工作持续时间为5天,已知工作R、S是工作Q的仅有的两项紧后工作,工作Q的总时差为()天。
A.3
B.4
C.2
D.5
28、关于工程网络计划中关键工作判别的说法,正确的是()。
A.与紧前工作之间时间间隔为零的工作是关键工作
B.总时差最小的工作为关键工作
C.与紧后工作之间时间间隔为零的工作是关键工作
D.最迟开始时间与最早开始时间之差最大的工作是关键工作
29、下列工作逻辑关系表达图中,表示“工作A和工作B都完成后再进行工作C、工作D”逻辑关系的是()。
A.
B.
C.
D.
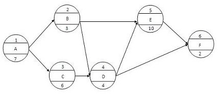
30、某工程单代号网络计划如下图所示,工作E的最早开始时间是()。

A.10
B.13
C.17
D.27
31、双代号时标网络计划中,波形线表示()。
A.工作的总时差
B.工作与其紧后工作之间的时间间隔
C.工作的自由时差
D.工作与其紧后工作之间的时距
32、下列施工方进度控制的措施中属于技术措施的是()。
A.选用对实现施工进度目标有利的施工技术
B.采用加快施工进度的经济激励措施
C.重视信息技术在进度控制中的应用
D.选用合适的发承包模式
33、建筑工程五方责任主体项目负责人质量终身责任,是指参与新建、扩建、改建的建筑工程项目负责人按照国家法律法规和有关规定,在工程()内对工程质量承担相应责任
A.施工年限
B.质量保修期
C.缺陷责任期
D.设计使用年限
34、项目质量风险管理正确的程序是()
A.质量风险评估→质量风险识别→质量风险响应→质量风险控制
B.质量风险识别→质量风险评估→质量风险响应→质量风险控制
C.质量风险评估→质量风险识别→质量风险控制→质量风险响应
D.质量风险识别→质量风险评估→质量风险控制→质量风险响应
35、关于施工企业质量管理体系文件构成的说法,正确的是()
A.质量计划是纲领性文件
B.质量记录应阐述企业质量政策和体系
C.质量手册是产品质量水平和质量体系中各项质量活动进行及结果的客观反映
D.程序文件是质量手册的支持性文件
36、建筑施工企业质量管理体系的认证方应为()。
A.企业最高领导者
B.第三方认证机构
C.企业行政主管部门
D.行业管理部门
37、根据《环境管理体系要求及使用指南》,PDCA循环中“A”环节指的是()。
A.策划
B.支持和运行
C.预防改进
D.绩效评价
38、建设工程项目的质量验收,主要是指工程施工质量的验收。施工质量验收包括施工过程的质量验收和( )两个部分。
A.工程项目竣工质量验收
B.单位工程竣工质量验收
C.分部工程竣工质量验收
D.检验批竣工质量验收
39、施工现场混凝土坍落度试验属于现场质量检查方法中的()。
A.目测法
B.实测法
C.现货试验法
D.无损检测法
40、下列施工质量控制措施中,属于事前控制的是()。
A.明确质量目标
B.重要结构实体检测
C.隐蔽工程验收
D.施工质量检查验收
41、下列质量控制中,属于对施工质量管理环境因素控制的是()
A.建立统一的现场施工组织系统和质量管理的综合运行机制
B.施工企业必须坚持执业资格注册制度和作业人员持证上岗制度
C.针对工程具体情况,分析气象、地质等环境因素对施工的影响,制订应对措施
D.控制材料、设备各项技术性能指标、检验测试指标与标准规范要求的相符性
42、如工程质量不符合要求,经过返修或加固处理的工程,虽然局部尺寸等不符合设计要求,但仍然能满足使用要求,()。
A.应予以验收
B.严禁验收
C.返工重新验收
D.按技术处理方案和协商文件进行验收
43、关于以下竣工质量验收说法,正确的是()。
A.工程完工后,监理单位应组织对工程质量进行竣工验收
B.施工单位提交工程竣工报告,且必须由监理工程师签署
C.建设单位应当在工程竣工验收7个工作日前通知工程质量监督机构
D.竣工验收合格后,建设单位应当及时提出工程竣工报告
44、某工程由于施工现场管理落后,质量问题频发,致使在建的一栋办公楼施工至主体2层时坍塌,死亡11人,这期工程质量事故属于()。
A.特别重大事故
B.严重质量事故
C.重大事故
D.一般质量事故
45、某事故经调查发现,主要是由于勘察过程中地基承载能力估计错误造成的。按照事故产生的原因划分,该质量事故应判定为()。
A.社会原因引发的事故
B.经济原因引发的事故
C.技术原因引发的事故
D.管理原因引发的事故
46、在施工质量处理过程中,按照施工验收规范和相关的质量标准,并结合实际量测、试验和检测等方法,评价质量事故的处理是否达到预期目的,是否依然存在隐患属于()。
A.事故处理的鉴定验收
B.制定事故处理方案
C.事故处理
D.事故原因分析
47、管理评审是由()对管理体系的系统评价,判断组织的管理体系面对内部情况和外部环境的变化是否充分适应有效,由此决定是否对管理体系做出调整,包括方针、目标、机构和程序等。
A.施工企业项目负责人
B.监理工程师
C.组织的最高管理者
D.项目经理
48、对以下建设单位职业健康安全与环境管理说法中,正确的是()。
A.项目负责人是安全生产的第一负责人
B.实行总承包模式的,由业主对施工现场的安全生产负总责
C.施工单位应按照有关建设工程法律法规的规定和强制性标准的要求,办理各种有关安全与环境保护方面的审批手续
D.分包单位不服从管理导致生产安全事故的,由分包单位承担主要责任
49、监测、识别、诊断、评价这四个环节的预警活动,是前后顺序的因果联系。其中,( )活动的检测信息系统,是整个预警管理系统所共享的。
A.评价
B.诊断
C.识别
D.监测
50、在施工安全控制程序中,“安全技术措施计划的落实和实施”后下一步工作是( )。
A.安全技术措施计划的评估
B.安全技术措施计划的验收
C.安全技术措施计划的验证
D.安全技术措施计划的改进
51、生产过程中发现问题及时治理,这体现了安全事故隐患治理的( )原则。
A.冗余安全度治理
B.单项隐患综合治理
C.预防与减灾并重治理
D.动态治理
52、根据《建设工程安全生产管理条例》,施工单位应自施工起重机械架设验收合格之日起最多不超过()日内,向建设行政主管部门或者其他有关部门登记。
A.40
B.30
C.50
D.60
53、关于安全生产教育培训的说法,正确的是()。
A.企业新员工按规定经过三级安全教育和实际操作训练后即可上岗
B.对建设工程来说,三级安全教育指项目、施工队、班组三级
C.企业新上岗的从业人员,岗前培训时间不得少于24学时
D.班组级安全教育由项目经理组织实施
54、某工程施工中发生安全事故,造成2人死亡、9人受伤,直接经济损失240万元,按生产安全事故造成的人员伤亡或直接经济损失分类,该工程事故属于( )。
A.一般事故
B.较大事故
C.重大事故
D.特别重大事故
55、专项应急预案是针对具体的()而制定的计划或方案。
A.事故类别、危险源和潜在事件
B.装置、场所、岗位
C.潜在事件、紧急情况发生
D.事故类别、危险源和应急保障
56、关于生产安全事故应急预案管理的说法,正确的是( )。
A.参建单位的安全生产及应急管理方面的专家,均可受邀参加应急预案评审
B.地方各级人民政府应急管理部门的应急预案,应当报同级人民政府备案,同时抄送上一级人民政府应急管理部门
C.生产经营单位应每2年至少组织1次综合应急预案演练
D.生产经营单位应每年组织1次现场处理方案演练
57、施工现场文明施工管理组织的第一责任人是( )。
A.总监理工程师
B.业主代表
C.项目经理
D.项目总工程师
58、建设工程项目总承包模式下,承包人的义务包括( )。
A.办理施工许可证
B.办理工程质量监督手续
C.办理施工过程中临时增加的爆破作业的审批手续
D.采取措施保护施工过程中新发现的古树名木
59、根据《建设工程施工劳务分包合同(示范文本)》GF—2003—0214,属于劳务报酬所采用的方式的是()。
A.固定劳务报酬加奖金
B.约定不同工种劳务的计时单价,按确认的工时计算,再加一定比例的管理费
C.约定不同工作成果的计件单价,按确认的工程量来计算,再加一定比例的管理费
D.固定劳务报酬(含管理费)
60、建筑材料采购合同条款的相关说法,正确的是()。
A.不属于国家定价的材料(产品),由供方确定价格
B.采购方提货的,交货日期以采购方收货戳记的日期为准
C.建筑材料的包装物由供货方负责供应,并且一般不得另外向采购方收取包装费
D.入库验收由接运人员对到达的物资进行检查,发现问题当场作出记录
61、根据《标准施工招标文件》,关于暂停施工的说法,正确的是()。
A.由于发包人原因引起的暂停施工,承包人有权要求延长工期和(或)增加费用,但不得要求补偿利润
B.发包人原因造成的暂停施工,承包人可不负责暂停施工期间的工程保护
C.因发包人原因发生暂停施工的紧急情况时,监理人未及时下达暂停施工指示的,承包人可以先暂停施工,并及时通知监理人
D.施工中出现一些意外需要暂停施工的,所有责任由发包人承担
62、在非代理型(风险型)CM模式的的合同中,通常采用()合同。
A.成本加固定费用
B.成本加固定比例费用
C.最大成本加费用
D.成本加奖金
63、按风险产生的原因分类,工程合同风险可以分为( )
A.合同工程风险和合同订立风险
B.合同工程风险和合同信用风险
C.合同信用风险和合同履约风险
D.合同订立风险和合同履约风险
64、按照我国保险制度,建筑安装工程一切险( )。
A.投保人应以双方名义共同投保
B.由承包人投保
C.包含职业责任险
D.包含人身意外伤害险
65、签订附加协议属于()措施。
A.组织措施
B.技术措施
C.经济措施
D.合同措施
66、工程施工过程中索赔事件发生以后,承包人首先要做的工作是()。
A.向监理工程师提出索赔意向通知
B.向监理工程师提交索赔证据
C.向监理工程师提交索赔报告
D.与业主就索赔事项进行谈判
67、下列引起索赔的起因中,属于特殊风险因素的是()。
A.战争
B.海啸
C.洪水
D.地震
68、下列干扰事件中,承包商不能提出工期索赔的是()。
A.工程师指示承包商加快施工进度
B.开工前发包人原因引起的暂停施工
C.异常恶劣的气候条件
D.发包人原因造成工期延误
69、关于FIDIC施工合同条件中采用DAB(争端裁决委员会)方式解决争议的说法,正确的是( )。
A.特聘争端裁决委员的任期与合同期限一致
B.DAB成员一般是工程技术和管理方面的专家
C.业主应按支付条件支付DAB报酬的70%
D.DAB提出的裁决具有强制性
70、项目管理信息系统的主要作用是()。
A.用于企业的人财物的管理
B.用于项目的目标控制
C.为项目参与各方提供一个信息处理的平台
D.实现工程管理信息化
71、项目技术组针对施工进度滞后的情况,提出了增加夜班作业、改变施工方法两种加快进度的方案,项目经理通过比较,确定采用增加夜班作业以加快速度,物资组落实了夜间施工照明等条件,安全组对夜间施工安全条件进行了复查,上述管理工作体现在管理职能中“筹划”环节的有()。
A.提出两种可能加快进度的方案
B.确定采用夜间施工加快进度的方案
C.复查夜间施工安全条件
D.落实夜间施工照明条件
E.两者方案的比较分析
72、下列工作流程组织中,属于管理工作流程组织的是()
A.投资控制流程
B.设计变更流程
C.物质流程组织
D.外立面施工工作流程
E.与生成月度进度报告有关的数据处理流程
73、与施工总承包模式相比,施工总承包管理模式的主要优点有()。
A.业主只需要进行一次招标,招标及合同管理工作量大大减少
B.合同总价不是一次确定,整个项目的合同总额确定较有依据
C.分包合同都通过招标获得有竞争力的投标报价,对业主方节约投资有利
D.不需要等待施工图设计完成后再进行施工总承包管理的招标
E.多数情况下,由业主方直接与分包人签约,减少了业主方的风险
74、根据《建设项目工程总承包管理规范》,工程总承包方在项目管理收尾阶段的工作有()
A.办理决算手续
B.进行项目总结
C.清理各种债权债务
D.办理项目资料归档
E.缺陷通知期限满后取得履约证书
75、关于建设工程项目管理规划的说法,正确的有( )。
A.建设工程项目管理规划仅涉及项目的施工阶段和保修期
B.建设工程项目管理规划完成以后不需要调整
C.除业主方以外,建设项目的其他参与单位也需要编制项目管理规划
D.如果采用工程总承包模式,业主方可以委托总承包方编制建设工程项目管理规划
E.建设工程项目管理规划内容涉及的范围和深度,应视项目的特点而定
76、编制施工组织设计的依据有( )
A.工程网络计划文件
B.工程施工合同和招标投标文件
C.工程设计文件
D.项目部人员配置计划
E.工程施工范围内的现场条件
77、关于施工企业项目经理地位的说法,正确的有()。
A.是承包人为实施项目临时聘用的专业人员
B.是施工企业全面履行施工承包合同的法定代表人
C.是施工企业法定代表人委托对项目施工过程全面负责的项目管理者
D.是施工承包合同中的权利、义务和责任主体
E.项目经理经承包人授权后代表承包人负责履行合同
78、根据《建设工程项目管理规范》GB/T50326-2017,项目管理机构负责人的权限包括()
A.参与项目招标、投标和合同签订
B.参与组建项目管理机构
C.主持项目管理机构工作
D.主持制定并落实质量、安全技术措施和专项方案
E.参与选择大宗资源的供应单位
79、成本分析是通过比较,以了解和研究成本的变动情况和因素。为此,可以用来与成本核算资料进行比较的有()。
A.目标成本
B.责任成本
C.实际成本
D.预算成本
E.类似项目的实际成本
80、按费用构成要素划分的建筑安装工程费用项目组成,下列应计入建筑安装工程材料费的有()。
A.材料原价
B.材料的运输损耗费
C.库存材料盘亏
D.材料运杂费
E.新型材料试验费
81、下列施工管理文件中,属于成本计划编制依据的是()。
A.合同文件
B.项目管理实施规划
C.施工成本预测资料
D.相关定额
E.项目管理规划大纲
82、建设工程项目施工成本考核的主要指标有( )。
A.项目成本管理绩效
B.施工成本降低额
C.施工成本偏差情况
D.施工成本偏差的原因
E.施工成本降低率
83、建设工程项目施工进度计划若从不同功能区分,可分为()。
A.控制性施工进度计划
B.指导性施工进度计划
C.实施性施工进度计划
D.政策性施工进度计划
E.年度性施工进度计划
84、网络计划检查的主要内容包括( )。
A.资源状况
B.非关键工作的进度
C.成本状况
D.关键工作进度
E.社会状况
85、某工程双代号时标网络计划如下图所示,该计划表明()。

A.工作C的自由时差为2天
B.工作E的最早开始时间为第4天
C.工作D为关键工作
D.工作H的总时差和自由时差均为零
E.工作B的最迟完成时间为第1天
86、关于横道图计划的说法,正确的有()
A.适用于手工编制计划
B.横道图也可将工作简要说明直接放在横道上
C.横道图用于小型项目或大型项目的子项目上
D.横道图可以确定关键线路,但是不能确定关键工作
E.横道图是一种最简单、运用最广泛的传统的进度计划方法
87、下列项目质量的影响因素中,属于作业环境因素的是()
A.施工场地给水排水
B.交通运输和道路条件
C.通风空调、消防、环保设备
D.施工照明、通风、安全防护设施
E.原材料、半成品、成品、构配件和周转材料
88、工程监理人员认为工程施工不符合()的,有权要求建筑施工企业改正。
A.工程设计要求
B.监理规划
C.施工技术标准
D.合同约定
E.监理实施细则
89、工程质量监督管理的内容包括( )。
A.抽查涉及工程主体结构安全和主要使用功能的工程实体质量
B.抽查工程质量责任主体和质量检测等单位的工程质量行为
C.组织或者参与工程质量事故的调查处理
D.监督管理人员及现场资安排
E.依法对违法违规行为实施处罚
90、职业健康安全与环境管理体系的作业文件一般包括()。
A.作业指导书
B.管理规定
C.监测活动准则
D.程序文件引用表格
E.绩效报告
91、《环境管理体系要求及使用指南》GB/T24001——2016结构,属于领导作用的是()
A.能力
B.环境方针
C.环境管理体系
D.理解相关方的需求
E.组织的角色、职责和权限
92、安全预控对策的活动阶段包括( )。
A.组织准备
B.事故征兆诊断
C.日常监控
D.识别事故征兆
E.事故危机管理
93、根据《中华人民共和国招标投标法实施条例》规定,招标人的下列行为中,属于以不合理条件限制、排斥潜在投标人的有( )。
A.就同一招标项目向潜在投标人提供有差别的项目信息
B.设定的资格、技术、商务条件与招标项目的具体特点和实际需要不相适应
C.设定了最高投标限价
D.以特定行政区域或者特定行业的业绩、奖项作为加分条件
E.指定特定的专利、品牌、原产地或供应商
94、施工投标过程中,报价前进行各项调查研究的内容包括( )。
A.工程业主方的调查
B.竞争对手公司的调查
C.市场微观经济环境调查
D.工程现场考察
E.工程所在地区的环境考察
95、根据《建设工程施工合同(示范文本)》,下列工作内容中,属于承包人义务的有( )。
A.组织设计人和监理人进行设计交底
B.办理建设工程施工许可证
C.负责施工场地周边的生态保护工作
D.编制竣工资料,完成竣工资料立卷及归档
E.负责承担施工过程中对文物、古迹的保护费用
96、根据《建设工程施工专业包含同(示范文本)》(GF-2003-0213),分包人的工作包括()。
A.按照合同约定的时间,完成规定的设计内容,报承包人确认后在分包工程中使用
B.在合同约定的时间内,向承包人提供年、季、月度工程进度计划及相应进度统计报表
C.合同约定的时间内,向承包人提交详细施工组织设计
D.提供本合同专用条款中约定的设备和设施,并承担因此发生的费用
E.负责整个施工场地的管理工作
97、《建设工程施工合同(示范文本)》GF—2017—0201规定,在合同履行过程中,因( )导致工期延误和(或)费用增加的,由发包人承担由此延误的工期和(或)增加的费用,且发包人应支付承包人合理的利润。
A.监理人未按合同约定发出指示、批准等文件
B.发包人提供的测量基准点、基准线和水准点及其书面资料存在错误或疏漏
C.发包人在计划开工日期之日起第4天才同意下达开工通知
D.发包人未能按合同约定提供施工现场、施工条件、基础资料、许可、批准等开工条件
E.承包人占用或使用他人的施工场地,影响他人作业或生活
98、下列关于单价合同的说法,正确的有()。
A.固定单价合同条件适用于工期较短、工程量变化幅度不会太大的项目
B.单价合同允许随工程量变化而调整工程总价,业主和承包商都不存在工程量方面的风险
C.单价合同招标前无需对工程范围做出完整、详细的规定,可以缩短招标准备时间
D.单价合同下,由承包人提交已完成的工程量,业主协调工作量较小
E.变动单价合同下,承包商的价格风险相对固定单价合同较小
99、建设工程项目信息可以按( )进行分类。
A.项目管理工作的对象
B.项目实施的工作过程
C.项目规模的大小
D.项目管理工作的任务
E.项目信息的内容属性
100、下列信息编码中,属于项目实施的工作项编码的是( )。
A.招投标工作项
B.施工和设备安装工作项
C.项目的进度项编码
D.设计阶段工作项
E.项目进展报告和各类报表