2017年一级建造师《建设工程项目管理》真题
A.仲裁
B.DAB
C.DRB
D.协商
D
A.工期和费用索赔均能成立
B.工期和费用索赔均不能成立
C.工期索赔成立,费用索赔不能成立
D.工期索赔不能成立,费用索赔能成立
A
A.55
B.60
C.65
D.70
D
A.将起点节点定位在时标计划表的起始刻度线上
B.绘制时标网络计划
C.计算各工作的最早时间
D.确定各节点的位置号
A
A.红色
B.橙色
C.黄色
D.蓝色
C
A.较大事故
B.特大伤亡事故
C.重大事故
D.重大伤亡事故
B
A.现场文明施工问题
B.环境保护问题
C.职业健康安全问题
D.安全生产问题
C
A.合同实施中,承包人应就合同范围内的业主变更先提出补偿要求
B.工程变更的索赔有效期一般为7天,不超过14天
C.工程变更的补偿范围越大,承包人的风险越大
D.工程变更索赔期越短,对承包人越有利
C
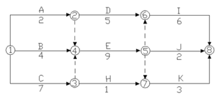
A.①-②-③-④-⑤-⑥
B.③-①-②-⑥-④-⑤
C.①-③-⑥-②-⑤-④
D.①-③-⑥-②-④-⑤
D
A.总监理工程师
B.专业监理工程师
C.质量监督站
D.建设单位
D
A.评审、备案、实施和奖惩
B.制订、评审、备案和实施
C.评审、备案、实施和落实
D.制订、备案、实施和奖惩
A
A.将项目进行逐层分解
B.了解和调查项目的总体部署
C.对每一个工作项进行编码
D.调查项目实施的主客观条件
A
A.分项工程、分部工程应由专业监理工程师组织验收
B.分部工程的质量验收在分项工程验收的基础上进行
C.分项工程是工程验收的最小单元
D.分部工程所含全部分项工程质量验收合格,即可认为该分部工程验收合格
B
A.进行采购合同谈判,签订采购合同
B.选择材料设备的采购单位
C.进行市场调查,选择合格的产品供应单位并建立名录
D.明确采购产品的基本要求、采购分工和有关责任
C
A.每间宿舍居住人员不得超过16人
B.室内净高不得小于2.2m
C.通道宽度不得小于0.8m
D.不宜使用通铺
A

A.11
B.13
C.15
D.22
D
A.统计核算可以用货币计算
B.业务核算主要是价值核算
C.统计核算的计量尺度比会计核算窄
D.会计核算可以对尚未发生的经济活动进行核算
A
A.施工图预算
B.投资估算
C.施工预算
D.设计概算
C
A.2人以下死亡,100万元~500万元的直接经济损失
B.5人以下重伤、100万元~500万元的直接经济损失
C.未造成人员伤亡,1000万~5000万元的直接经济损失
D.未造成人员伤亡,100万元~1000万元的直接经济损失
D
A.项目合同结构合理
B.组织制度健全
C.人员和资源合理配置
D.程序性文件规范
C

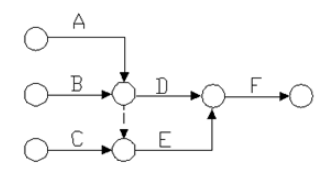
A.A、B均完成后同时进行C、D
B.A、B均完成后进行D
C.A、B、C均完成后同时进行D、E
D.B、C完成后进行E
B
明,下图中风险区A的风险等级为()等风险。

A.1
B.3
C.5
D.7
C
A.8
B.12
C.18
D.22
C
A.分析材料节约将对劳务分包合同的影响
B.分析材料储备天数对材料储备金的影响
C.分析施工机械燃料消耗量对施工成本的影响
D.分析材料检验试验费占企业管理费的比重
B
A.监督检查
B.企业通报
C.认证暂停
D.认证注销
D
A.施工部署和施工方案
B.施工进度计划
C.施工平面图
D.施工准备工作计划
A.30.69%
B.54.09%
C.68.18%
D.79.33%
A.①-②-⑦-④-③-⑤-⑥
B.①-②-⑦-⑤-③-④-⑥
C.②-⑦-①-③-④-⑤-⑥
D.②-①-⑦-④-⑤-③-⑥
A.成本加固定费用合同是指在工程直接费中加一定比例的报酬费
B.最大成本加费用合同是指承包商报一个工程成本总价和一个固定的酬金
C.成本加奖金合同是指对直接成本实报实销,同时确定固定数目的报酬金额
D.成本加固定比例费用合同是指按成本估算的60%~75%作为酬金计算的基数
A.①-②-③-④
B.②-①-③-④
C.①-③-②-④
D.②-③-④-①
A.编制项目实施合同期合同结构总体方案
B.确立项目实施期管理总体方案
C.确定关键技术分析和论证
D.进行项目目标的分析和再论证
A.项目承包商在施工工地的财产损失
B.项目承包商职工在施工工地的人身伤害
C.项目法人升聘员工在施工工地的人身伤害
D.项目法人、承包商以外的第三人因施工原因造成的财产损失
A.施工成本管理体系由社会有关组织进行评审和认证
B.管理行为控制程序是进行成本过程控制的重点
C.施工成本控制可分为事先控制、过程控制和事后控制
D.管理行为控制程序和指标控制程序是相互独立的

A.效率高,进度较慢,投入延后
B.效率较高进度较快,投入超前
C.抽出部分人员,放慢进度
D.增加人员投入,加快速度
A.质量问题
B.质量事故
C.质量不合格
D.质量缺陷
A.分户验收应在住宅工程竣工验收合格后进行
B.《住宅工程质量分户验收表》要作为《住宅质量保证书》的附件一同交给住户
C.《住宅工程质量分户验收表》需要建设单位和设计单位项目负责人分别签字
D.分户验收的内容不包括建筑节能工程质量的验收
A.按设计要求检验商品混凝土质量
B.将施工图设计文件上报有关部门审查
C.向施工单位提供设计原始资料
D.参与建设工程质量事故分析
A.全面安全检查
B.要害部门重点安全检查
C.经常性安全检查
D.专项安全检查
A.委托人与承包人之间发生合同争议时,监理人应代表委托人进行处理
B.在任何情况下,监理人的指令都必须经委托人批准后方可发出
C.委托人与承包人合同争议提交仲裁机构时,监理人应提供必要的证明资料
D.监理人发现承包人的人员不能胜任本职工作时,无权要求承包人予以替换
A.单价合同中承包商存在工程量方面的风险
B.固定单价合同条件下,承包商存在通货膨胀带来的单价上涨的风险
C.单价合同中承包商存在投标总价过低方面的风险
D.变动单价合同下,承包商存在通货膨胀带来的单价上涨的风险
A.计划功能
B.项目参与方
C.计划深度
D.计划周期
A.缺陷责任期自实际竣工日期起计算,最长不超过12个月
B.缺陷责任期满,承包人仍应按合同约定的各部位保修年限承担保修义务
C.因发包人原因导致工程无法按合同约定期限进行竣工验收的,缺陷责任期自竣工验收合格之日开始计算
D.发包人未经竣工验收擅自使用工程的,缺陷责任期自承包人提交竣工验收申请报告之日开始计算
A.市场人工价格低于合同约定基准价格,按变化前后价格差予以调整
B.工程量超出设计图纸范围导致劳务价格变化的,按变化前后价格差予以调整
C.施工时超出原施工要求导致劳务价格变化的,按变化前后价格差予以调整
D.法律及政策变化导致劳务价格变化的,按变化前后价格差予以调整
A.业主、承包商谁能更有效的降低风险损失,则应由谁承担相应的风险责任
B.承包商在工程合同风险分配中起主导作用
C.业主、承包商谁承担管理风险的成本最高,则应由谁来承担相应的风险责任
D.合同定义的风险没有发生,业主不用支付承包商投标中的不可预见风险费
A.项目经理部的成本管理体现效益中心的管理职能
B.项目经理部的成本管理贯穿于单位投标和实施、结算过程
C.项目经理部的成本管理除生产成本以外,还包括经营管理费用
D.成本管理责任体系包括公司层和项目经理部的成本管理
A.作业人员变更后的14个工作日内,在当地建筑业企业信息管理系统中变更
B.施工企业与劳动者者按相关规定可以订立口头劳动合同
C.劳动合同一式两份,双方当事人各持一份
D.施工企业不得允许未与企业签订劳动合同的劳动者从事施工活动
A.通常投标文件中需要提交投标担保
B.投标文件在对招标文件的实质性要求作出响应后,可另外提出新的要求
C.投标书只需要盖有投标企业公章或企业法定代表人名章
D.投标书可由项目所在地的企业项目经理部组织投标,不需要授权委托书
A.7
B.10
C.15
D.30
A.供货方提前发运或交付的货物,采购方要按实际发运或交付时间付款
B.供货方发生逾期交货,要按合同约定依据逾期交货部分货款总价计算违约金
C.供货方部分交货,应按合同约定违约金比例乘以不能交货部分货款计算违约金
D.合同签订后采购方中途退货,应向供货方支付按退货货款总额计算的违约金
E.合同签订后,采购方逾期付款,应按照合同约定支付逾期付款利息
A.检查质量体系运行的信息
B.评价质量管理程序的完整性
C.为质量改进提供证据
D.减少社会重复检验费用
E.向外部审核单位提供体系有效的证据
A.履约担保是为保证正确、合理使用发包人支付的预付款而提供的担保
B.履约担保有效期始于工程开工之日,终止日期可以约定在工程竣工交付之日
C.银行履约保函担保金额通常为合同金额的10%左右
D.保留金由发包人从工程进度款中扣除,总额一般限制在合同总价款的5%
E.履约担保书由商业银行开具,金额在保证金的担保金额之内
A.整个建设项目合同总额的确定较有依据
B.能为分包单位提供更好的管理和服务
C.对业主节约投资较为有利
D.施工现场的总体管理与协调较为有利
E.缩短建设周期,进度控制较为有利
A.按施工进度编制施工成本计划
B.按施工成本组成编制施工成本计划
C.按施工质量编制施工成本计划
D.按施工合同编制施工成本计划
E.按施工项目组成编制施工成本计划
A.分包单位的选择可由业主指定,也可在业主同意下由总承包单位自主选择
B.分包合同由业主签订的,分包单位的管理责任由业主承担
C.施工总承包单位不需承担分包单位施工的安全责任
D.对施工分包单位进行管理的第一责任主体是业主
E.分包合同由总承包单位签订的,分包单位的管理责任由总承包单位承担
A.就同一招标项目向投标人提供有差别的项目信息
B.就同一招标项目对投标人采取不同的资格审查标准
C.招标项目以获得鲁班奖工程业绩作为加分条件
D.招标项目指定特定的专利作为中标条件
E.依照招标项目的总体特点设定专门的技术条件
A.提供建筑设计总体布局、功能分区方案
B.提供项目基础资料
C.提供现场障碍资料
D.组织设计阶段审查会议
E.对工程的安全、环境保护、职业健康标准负责
A.采用工程网络计划实现进度控制科学化
B.明确进度控制管理职能分工
C.选择合理的工程物资采购模式
D.编制资源需求计划
E.重视信息技术在进度控制中的应用
A.对施工方案进行经济效果分析论证
B.通过生产要素的动态管理控制实际成本
C.抽检进场的工程材料、构配件质量
D.对各种变更及时落实业主签证并结算工程款
E.对施工成本管理目标进行风险分析并制定防范性对策
A.事故未整改到位不放过
B.事故未及时报告不放过
C.事故原因未查清不放过
D.事故责任人和周围群众未受到教育不放过
E.事故责任人未受到处理不放过
A.当施工内容及有关条件未发生变化时,业主付给承包商的价款总额不变
B.采用总价合同的前提是施工图设计完成,施工任务和范围比较明确
C.总价合同中业主风险较大、承包人风险较小
D.总价合同中可约定在发生设计变更时对合同价格进行调整
E.总价合同在施工进度上能够调动承包人的积极性
A.审查分包单位资质条件
B.检查施工单位的试验室
C.审查工程开工条件
D.签署单位工程质量评定表
E.审查施工单位提交的施工进度计划
A.进行授权范围内的利益分配
B.对资源进行动态管理
C.参与工程竣工验收
D.确保项目建设资金的落实到位
E.与建设单位签订承包合同
A.设计单位应业主要求对楼梯部分进行局部修改
B.某桥梁工程由于新规范的实施而需要重新调整施工工艺
C.由于自然灾害导致施工资源的配置有重大变更
D.施工单位发现设计图纸存在重大错误需要修改工程设计
E.某钢结构工程施工期间,钢材价格上涨
A.任命项目经理,组建项目部
B.编制和报批项目可行性研究报告
C.落实项目建设资金
D.进行项目策划,编制项目计划
E.实施项目运行管理
A.因监理工程师指令错误导致机械停工的窝工费
B.因机械故障停工维修而导致的窝工费
C.非承包商责任导致功效降低增加的机械使用费
D.由于完成额外工作增加的机械使用费
E.因机械操作工患病停工而导致的机械窝工费
A.项目安全负责人是施工现场文明施工的第一负责人
B.沿工地四周连续设置围挡,市区主要路段的围挡高度不低于1.8m
C.施工现场设置排水系统、泥浆、污水、废水有组织地排入下水道
D.施工现场必须实行封闭管理,严格执行外来人员进场登记制度
E.现场必须有消防平面布置图,临时设施按消防条例有关规定布置
A.风险分类和风险排序要求
B.可使用的风险管理方法、工具
C.确定风险因素
D.分析各种风险损失量
E.收集风险信息
A.工作N的总时差不变,自由时差减少3天
B.总工期不会延长
C.工作N的总时差减少3天
D.工作N的最早完成时间推迟3天
E.工作N将会影响紧后工作
A.管理信息系统可以实现项目各参与方的信息交流
B.项目信息门户不同于项目管理信息系统
C.项目管理信息系统主要用于企业人财物、产供销的管理
D.项目管理信息系统有利于项目各参与方的信息交流和协同工作
E.项目信息门户是项目各参与方共同使用、共同工作和互动的管理工具



