麦克利兰的成就需要理论认为人的需要可以分为对成就的需要、对社交的需要和()。
A、对发展的需要
B、对享受的需要
C、对精神的需要
D、对权力的需要
教育与生产劳动相分离是当代教育发展的一种趋势。
A、对
B、错
我们党在农村政策的重要基石是()。
A、以家庭承包经营为基础,统分结合的双层经营体制
B、坚持农村土地集体所有
C、放开经营权
D、实现承包权和经营权分置并行
古代希腊教育家苏格拉底首创了对话式教学方法,即()
A、产婆术
B、骑士教育
C、琴弦教育
按材料的组合方式分类的墙体()。
A、实体墙
B、空心墙
C、组合墙
D、以上都对
要从容应对友善、犹豫型客户,必须把握好的要点有()
A、先说服他们的“领袖”,再说服他们
B、给他们时间考虑,然后稍微激将一下
C、让他们反复考虑,三思而后行
D、以上三点都正确
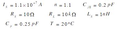
一个检波二极管在4GHz的频率下具有参数
使用该二极管设计一个检波电路在4GHz的频率下获得最大的电压灵敏度。
互生
大学教学的整个过程,主要围绕课程而展开的。()和()是组成教学计划的主体。
设有无耗同轴传输线长度为l=10m,内外导体间的电容为CS=600pF。若同轴电缆的一端短路,另一端接有脉冲发生器和示波器,发现一个脉冲信号来回一次需0.1μs的时间。试求该同轴电缆的特征阻抗Z0。
管理方格图中的贫乏型领导是()。
A、关心生产和效率,不关心人
B、关心人而不关心工作或生产
C、对人和对生产都关心
D、对人对工作都不关心
简述古代社会教育的特点.
叙述一下变更管理中变更流程。
以苯、萘和蒽醌为基本原料合成下列的染料或中间体。
分散染料与涤纶纤维的结合力包括:()。
A、氢键
B、范氏力
C、物理熔入堆积于纤维无定形区
D、偶极力