2018年硕士研究生《数学(一)》真题
搜题
1、下列函数在x=0处不可导的是().
A.f(x)=|x|sin|x|
B.f(x)=|x|sin
C.f(x)=cos|x|
D.f(x)=cos
本题答案:
D
D
2、过点(1,0,0)与(0,1,0)且与曲面z=x2+y2相切的平面方程为().
A.z=0与x+y-z=1
B.z=0与2x+2y-z=2
C.y=x与x+y-z=1
D.y=x与2x+2y-z=2
本题答案:
B
B
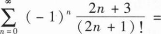
3、

A.sin1+cos1
B.2sin1+cos1
C.2sin1+2cos1
D.2sin1+3cos1
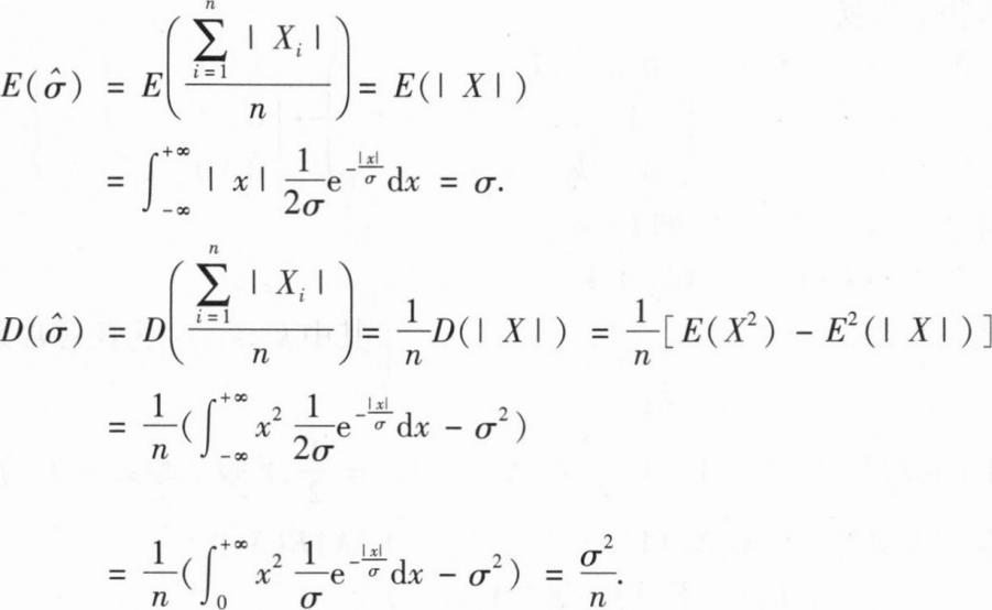
本题答案:
B
B
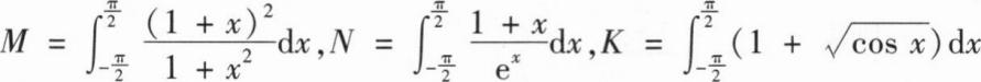
4、
,则M,N,K的大小关系为().
,则M,N,K的大小关系为().A.M>N>K
B.M>K>N
C.K>M>N
D.K>N>M
本题答案:
C
C
5、

A.
B.
C.
D.
本题答案:
A
A
6、设A,B为n阶矩阵,记r(X)为矩阵X的秩,(X,Y)表示分块矩阵,则().
A.r(A,AB)=r(A)
B.r(A,BA)=r(A)
C.r(A,B)=max{r(A),r(B)}
D.r(A,B)=r(AT,BT)
本题答案:
A
A
7、设f(x)为某随机变量X的概率密度函数
,则P{X<0}=().
,则P{X<0}=().A.0.2
B.0.3
C.0.4
D.0.5
本题答案:
A
A
8、设总体X~N(μ,σ2),σ2已知,给定样本X1,X2,…,Xn,对总体均值μ进行检验,令H0:μ=μ0,H1:μ≠μ0,则().
A.若显著性水平α=0.05下拒绝H0,则α=0.01下必拒绝H0
B.若显著性水平α=0.05下接受H0,则α=0.01下必拒绝H0
C.若显著性水平α=0.05下拒绝H0,则α=0.01下接受H0
D.若显著性水平α=0.05下接受H0,则α=0.01下也接受H0
本题答案:
D
D
9、

本题答案:
-2
【解析】

-2
【解析】

10、设函数f(x)具有二阶连续导函数,若y=f(x)过点(0,0),且与曲线y=2x相切于点(1,2),则

本题答案:

【解析】


【解析】

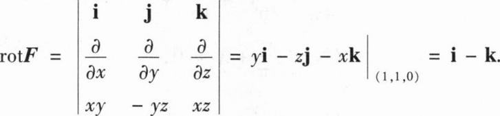
11、已知F(x,y,z)=xyi一yzj+xzk,则rotF(1,1,0)=_______.
本题答案:

【解析】

【解析】
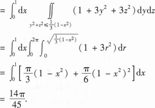
12、曲线L由x2+y2+z2=1与x+y+z=0相交而成,则

本题答案:

【解析】


【解析】

13、二阶矩阵A有两个不同特征值,α1,α2是A的线性无关的特征向量,且A2(α1+α2)=
α1+α2,则|A|=_______.
α1+α2,则|A|=_______.
本题答案:
-1
【解析】

-1
【解析】

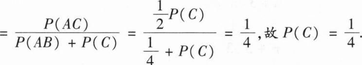
14、随机事件A与B相互独立,A与C相互独立,BC=∅,P(A)=P(B)=
,P(AC|AB∪
c)=
,则P(C)=_______.
,P(AC|AB∪c)=
,则P(C)=_______.
本题答案:

【解析】


【解析】

15、

本题答案:




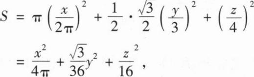
16、一根绳长2m,截成三段,分别折成圆、正三角形、正方形,这三段分别为多长时所得的面积总和最小?并求该最小值.
本题答案:
设圆的周长为x,正三角形的周长为y,正方形的周长为z,由题设知x+y+z=2.
则目标函数为

设圆的周长为x,正三角形的周长为y,正方形的周长为z,由题设知x+y+z=2.
则目标函数为

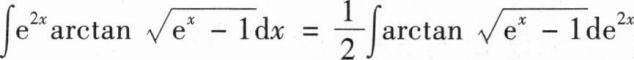
17、

本题答案:




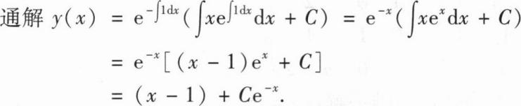
18、已知微分方程y’+y=f(x),且f(x)是R上的连续函数.
(I)当f(x)=x时,求微分方程的通解;
(Ⅱ)当f(x)周期为T的函数时,证明:微分方程存在唯一以T为周期的解.
(I)当f(x)=x时,求微分方程的通解;
(Ⅱ)当f(x)周期为T的函数时,证明:微分方程存在唯一以T为周期的解.
本题答案:
(I)
(Ⅱ)设f(x+T)=f(x),即T是f(x)的周期.
(I)

(Ⅱ)设f(x+T)=f(x),即T是f(x)的周期.
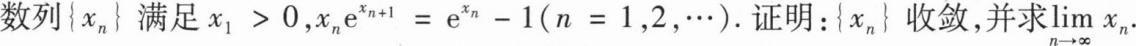
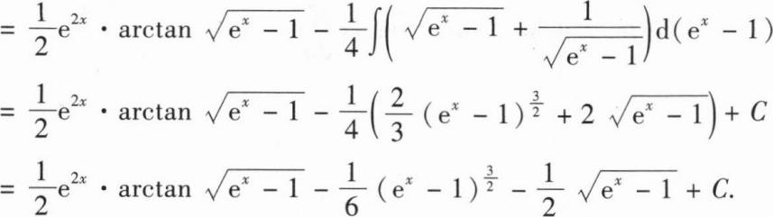
19、

本题答案:
设f(x)=ex-1-x,x>0,则有

设f(x)=ex-1-x,x>0,则有

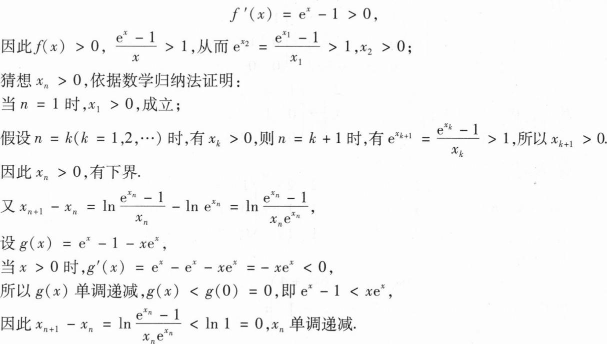
20、设实二次型f(x1,x2,x3)=(x1-x2+x3)2+(x2+x3)2+(x1+ax3)2,其中a是参数.
(I)求f(x1,x2,x3)=0的解;
(Ⅱ)求f(x1,x2,x3)的规范形.
(I)求f(x1,x2,x3)=0的解;
(Ⅱ)求f(x1,x2,x3)的规范形.
本题答案:
解:(I)由f(x1,x2,x3)=0,得

解:(I)由f(x1,x2,x3)=0,得

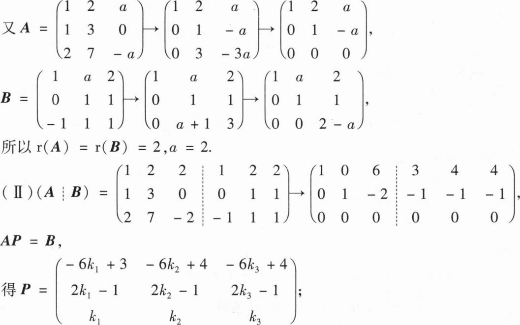
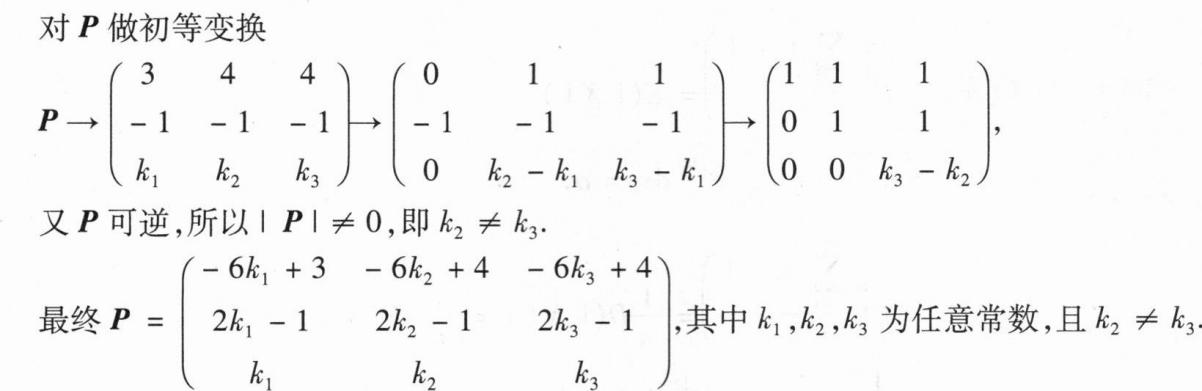
21、
(Ⅰ)求a;
(Ⅱ)求满足AP=B的可逆矩阵P.

(Ⅰ)求a;
(Ⅱ)求满足AP=B的可逆矩阵P.
本题答案:
(I)A与B等价,则r(a)=r(B).

(I)A与B等价,则r(a)=r(B).

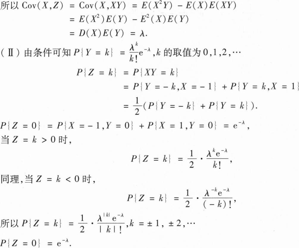
22、随机变量X,Y相互独立,P{X=1}=
,P{X=-1}=
,Y服从参数为λ的泊松分布,
令Z=XY.
(I)求Cov(X,Z);
(II)求Z的概率分布.
,P{X=-1}=
,Y服从参数为λ的泊松分布,令Z=XY.
(I)求Cov(X,Z);
(II)求Z的概率分布.
本题答案:
(I)

(I)

23、
(I)求σ的极大似然估计;
(II)

(I)求σ的极大似然估计;
(II)

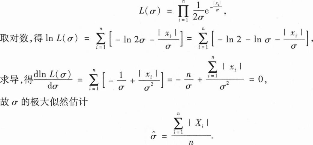
本题答案:
解:(I)由条件可知,似然函数为

(Ⅱ)
解:(I)由条件可知,似然函数为

(Ⅱ)