2022年硕士研究生《数学(三)》模拟卷(二)
搜题
1、

A.x=0与x=1都是f(x)的第一类间断点.
B.x=0与x=1都是f(x)的第二类间断点.
C.x=0是f(x)的第一类间断点,x=1是f(x)的第二类间断点.
D.x=0是f(x)的第二类间断点,x=1是f(x)的第一类间断点.
本题答案:
C
C
2、

A.高阶无穷小
B.低阶无穷小
C.同阶但非等价的无穷小
D.等价无穷小
本题答案:
A
A
3、下列函数中,在x=0处不可导的是( ).
A.f(x)=|x|sin|x|
B.
C.f(x)=|x|cos|x|
D.
本题答案:
D
D
4、设k>0,则函数f(x)=lnx-
+k的零点个数为( ).
+k的零点个数为( ).A.0个
B.1个
C.2个
D.3个
本题答案:
C
C
5、

A.-2
B.-1
C.1
D.2
本题答案:
A
A
6、

A.1
B.
C.
D.
本题答案:
D
D
7、
的取值
的取值A.(-2,2)
B.2
C.(2,+∞)
D.(-∞,-2)
本题答案:
A
A
8、设(X,Y)服从二维正态分布,其边缘分布为X~N(1,1),Y~N(2,4),X,Y的相关系数为pxy=-0.5,且P(aX+bY≤1)=0.5,则( ).
A.a=
,b=-1/4
B.a=
,b=-1/2
C.a=-
,b=1/2
D.a=
,b=1/4
本题答案:
D
D
9、已知总体X的期望E(X)=0,方差D(X)=σ2.X1,…,Xn是来自总体X的简单随机样本,其均值为
,则可以作出数学期望等于σ2的统计量是
,则可以作出数学期望等于σ2的统计量是A.
B.
C.
D.
本题答案:
C
C
10、



A.
B.
C.
D.
本题答案:
B
B
11、

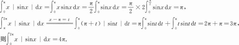
本题答案:
4π
【解析】

4π
【解析】

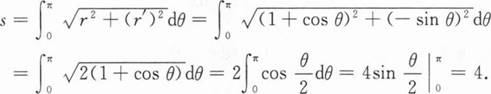
12、曲线r=1+cosθ介于0≤0≤π的弧长为_______.
本题答案:
4
【解析】
弧长为
4
【解析】
弧长为
13、差分方程yt+1-2yt=3×2t的通解为y(t)=______.
本题答案:


14、

本题答案:

【解析】


【解析】

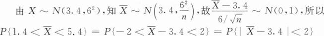
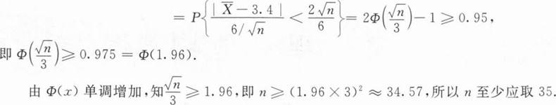
15、
(1.4,5.4)内的概率不小于0.95,则样本容量行至少应取______.(已知φ(1.96)=0.975)
(1.4,5.4)内的概率不小于0.95,则样本容量行至少应取______.(已知φ(1.96)=0.975)
本题答案:
35
【解析】

35
【解析】

16、



本题答案:
λ2
【解析】
λ2
【解析】
17、

本题答案:


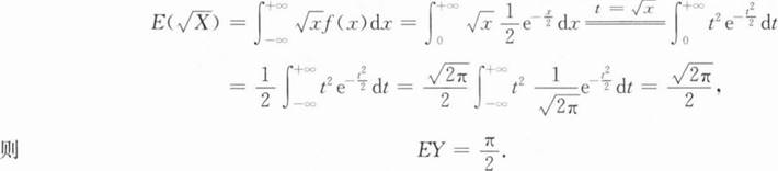
18、
证明:
(1)

(2)


证明:
(1)

(2)

本题答案:
(1)



(2)

(1)



(2)

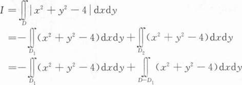
19、

本题答案:
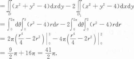
解用x2+y2=4将D划分为D1与D2,如图所示,则


解用x2+y2=4将D划分为D1与D2,如图所示,则


20、
的和函数.
的和函数.
本题答案:
由题设条件知,函数fn(x)满足一阶线性非齐次微分方程
由题设条件知,函数fn(x)满足一阶线性非齐次微分方程
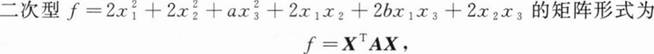
21、

本题答案:




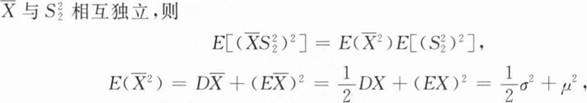
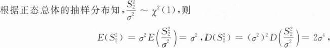
22、设X1,X2是来自总体X的简单随机样本,且

(1)

(2)


(1)

(2)

本题答案:
(1)


(2)


(1)


(2)

