2017年硕士研究生《数学(三)》真题
( ).A.ab=
B.ab=-
C.ab=0
D.ab=2
A
A.(0,0)
B.(0,3)
C.(3,0)
D.(1,1)
D
A.f(1)>f(-1)
B.f(1) C.|f(1)|>|f(-1)| D.|f(1)|<|f(-1)|
C
( ).A.1
B.2
C.-1
D.-2
C
A.E-ααT不可逆
B.E+ααT不可逆
C.E+2ααT不可逆
D.E-2ααT不可逆
A
( ).A.A与C相似,B与C相似
B.A与C相似,B与C不相似
C.A与C不相似,B与C相似
D.A与C不相似,B与C不相似
B
A.A与B相互独立
B.A与B互不相容
C.AB与C相互独立
D.AB与C互不相容
C

A.
B.
C.
D.
B
_______.
【解析】


【解析】

(Q)=1+e-Q,其中产量为Q,则边际成本为_______.1+(1-Q)e-Q
【解析】
由题意知,总成本为C=
Q=Q(1+e-Q).因此边际成本为C’(Q)=1+e-Q-Qe-Q=1+(1-Q)e-Q.
xyey
,
.由于f(x,y)=
,因此
,则
得c(y)=C.又f(0,0)=0,可得C=0,因此f(x,y)=xyey
为线性无关的三维列向量组,则向量组Aα1,Aα2,Aα3的秩为_______.2
【解析】
由α1,α2,α3线性无关,可知矩阵(α1,α2,α3)可逆,故
r(Aα1,Aα2,Aα3)=r(A(α1,α2,α3))=r(A).
再由r(A)=2,得r(Aα1,Aα2,Aα3)=2.
,P{X=1}=a,F{X=3}=6,若E(X)=0,则D(X)=_______.
【解析】


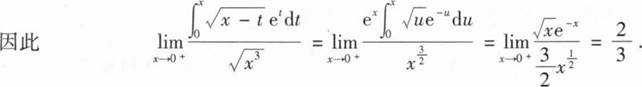
解:令x-t=u,则t=x-u,dt=-du,从而






(I)

(Ⅱ)证明(1-x)S'(x)-xS(x)=0(x∈(-1,1)),并求S(x)的表达式.
(I)证明r(A)=2;
(Ⅱ)若β=α1+α2+α3,求方程组Ax=β的通解.
解:(I)由α3=α1+2α2,可得α1+2α2-α3=0,可知α1,α2,α3线性相关.
因此可知r(A)≤2,且|A|=0,即A的特征值中必有0.
又A有三个不同的特征值,因此另外两个特征值非0,从而r(A)≥2.
在正交变换x=Qy下的标准形为
,求a的值及一个正交矩阵Q.

(I)求P{Y≤E(Y)};
(II).求Z=X+Y的概率密度.
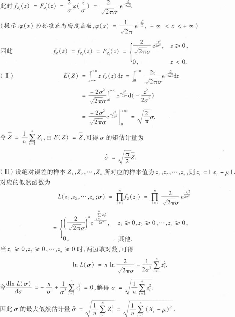
(I)求Zi的概率密度;
(II)利用一阶矩求σ的矩估计量;
(III)求σ的最大似然估计量.

