2022年硕士研究生《数学(一)》模拟卷(一)
搜题
1、

A.不连续
B.连续但不可导
C.可导但导数不连续
D.导数连续
本题答案:
D
D
2、



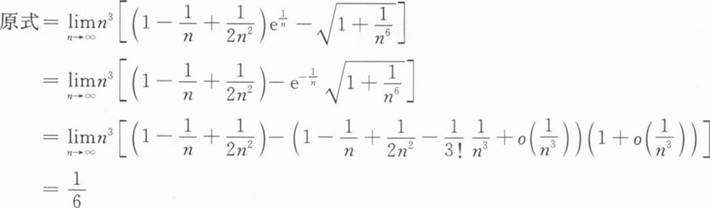
A.P>N>M.
B.N>P>M.
C.N>M>P.
D.P>M>N.
本题答案:
D
D
3、

A.取得极小值
B.取得极大值
C.取得极大值e
D.不取得极值
本题答案:
A
A
4、设向量组α1,α2,α3,α4线性无关,则下列向量组线性无关的是().
A.α1+α2,α2+α3,α3+α4,α4+α1
B.α1+α2,α2+α3,α3+α4,α4-α1
C.α1+α2,α2-α3,α3+α4,α4-α1
D.α1-α2,α2-α3,α3-α4,α4-α1
本题答案:
B
B
5、设A,B,C,D都是n阶矩阵,且A~C,B~D,则必有
A.(A+B)~(C+D).
B.
C.AB~CD.
D.
本题答案:
B
B
6、二次型f(x1,x2,x3)=x1x2+x2x3,的正、负惯性指数分别为().
A.p=1,q=1
B.p=1,q=2
C.p=1,q=0
D.p=0,q=2
本题答案:
A
A
7、设0
A.P(A+B|
)=P(A|
)+P(B|
)
B.P(AC+BC)=P(AC)+P(BC)
C.P(A+B)=P(A|C)+P(B|C)
D.P(C)=P(A)P(C|A)+P(B)P(C|A)
本题答案:
B
B
8、设随机变量x在[0,
]上服从均匀分布,U=sinX,V=cosX,则U与V的相关系数ρUV为().
]上服从均匀分布,U=sinX,V=cosX,则U与V的相关系数ρUV为().A.ρUV=0
B.|ρUV|=1
C.0<ρUV D.-1<ρUV<0
本题答案:
D
D
9、已知总体X的期望EX=0,方差DX=σ2.X1,…,Xn是来自总体X的简单随机样本.其均值为
,则可以作出σ2的无偏估计量为
,则可以作出σ2的无偏估计量为A.
B.
C.
D.
本题答案:
C
C
10、总体X~N(μ,52),则总体参数β的置信度为1-α的置信区间的长度( ).
A.与α无关
B.随α的增加而增加
C.随α的增大而减少
D.与α有关但与α的增减性无关
本题答案:
C
C
11、

本题答案:
0
【解析】

0
【解析】

12、

本题答案:

【解析】

【解析】
13、

本题答案:


14、

本题答案:

【解析】


【解析】

15、



本题答案:

【解析】

【解析】
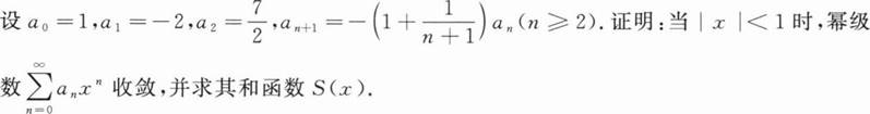
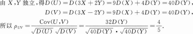
16、设随机变量X,Y相互独立,D(X)=4D(y),令U=3X+2Y,V=3X-2Y,则ρUV=_______
本题答案:


17、

本题答案:


18、

本题答案:


19、



本题答案:
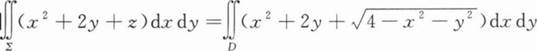
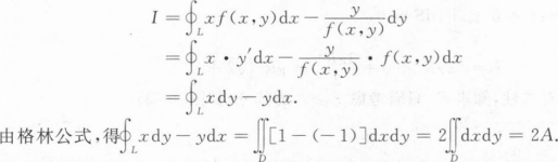
将L满足的微分方程y'=f(x,y)代入被积表达式,得
将L满足的微分方程y'=f(x,y)代入被积表达式,得
20、

本题答案:




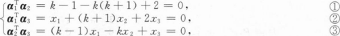
21、设A是3阶实对称矩阵,存在可逆矩阵P,使得P-1AP=diag(1,2,-1),且α1=(1,k+1,2)T,α2=(k-1,-k,1)T分别为A的特征值λ1=1,λ2=2的特征向量,A*的特征值λ0对应的特征向量β=(2,-5k,2k+1)T.
(Ⅰ)求λ0与k的值;
(Ⅱ)求矩阵(A-1)*.
(Ⅰ)求λ0与k的值;
(Ⅱ)求矩阵(A-1)*.
本题答案:
(Ⅰ)
设λ3=-1对应的特征向量为α3=(x1,x2,x3)T,由A是实对称矩阵,知α1,α2,α3两两正交,故
(Ⅱ)
(Ⅰ)
设λ3=-1对应的特征向量为α3=(x1,x2,x3)T,由A是实对称矩阵,知α1,α2,α3两两正交,故
(Ⅱ)
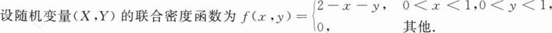
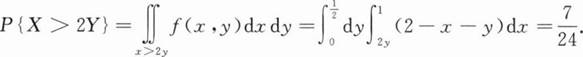
22、
(1)求P(X>2Y);
(2)设Z=X+Y,求Z的概率密度函数.

(1)求P(X>2Y);
(2)设Z=X+Y,求Z的概率密度函数.
本题答案:
(1)

(2)

(1)

(2)

最近更新试卷
Copyright © 奋学网(www.fxuexi.com)All Right Reserved.湘ICP备2021013332号-3