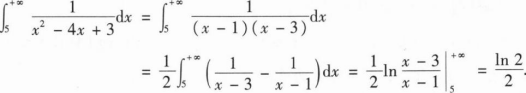
2018年硕士研究生《数学(二)》真题
搜题
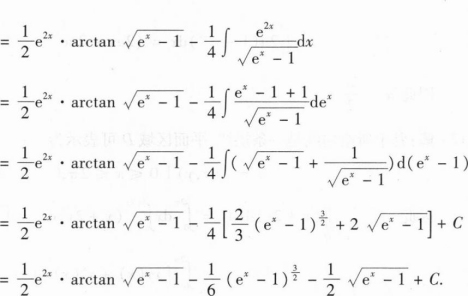
1、
().
().A.a=
,b=-1
B.a=-
,b=-1
C.a=
,b=1
D.a=-
,b=1
本题答案:
B
B
2、下列函数中,在x=0处不可导的是().
A.f(x)=|x|sin|x|
B.f(x)=|x|sin
C.f(x)=cos|x|
D.f(x)=cos
本题答案:
D
D
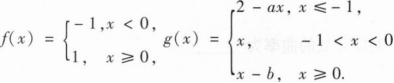
3、设函数
.若f(x)+g(x)在R上连续,则().
.若f(x)+g(x)在R上连续,则().A.a=3,b=1
B.a=3,b=2
C.a=-3,b=1
D.a=-3,b=2
本题答案:
D
D
4、设函数f(x)在[0,1]上二阶可导,且
,则().
,则().A.当f’(x)<0时,f(
)<0
B.当f’’(x)<0时,f(
)<0
C.当f'(x)>0时,f(
)<0
D.当f”(x)>0时,f(
)<0
本题答案:
D
D
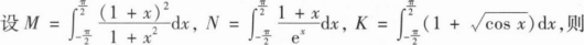
5、
().
().A.M>N>K
B.M>K>N
C.K>M>N
D.K>N>M
本题答案:
C
C
6、
().
().A.
B.
C.
D.
本题答案:
C
C
7、
().
().A.
B.
C.
D.
本题答案:
A
A
8、设A,B为n阶矩阵,记r(X)为矩阵X的秩,(X,Y)表示分块矩阵,则().
A.r(A,AB)=r(A)
B.r(A,BA)=r(A)
C.r(A,B)=max{r(A),r(B)}
D.r(A,B)=r(AT BT)
本题答案:
A
A
9、
________.
________.
本题答案:
1
【解析】由拉格朗日中值定理,得
1
【解析】由拉格朗日中值定理,得
10、曲线y=x2+2lnx在其拐点处的切线方程是________.
本题答案:
y=4x-3
【解析】首先求得函数y=x2+2ln x的定义域为(0,+∞).
求一阶、二阶导数,可得y’=2x+
,y”=2-
.
令y”=0,得x=1.当x>1时,y”>0;当x<1时,y”<0.
因此(1,1)为曲线的拐点,点(1,1)处的切线斜率k=y’(1)=4.
因此切线方程为y-1=4(x-1),即y=4x-3.
y=4x-3
【解析】首先求得函数y=x2+2ln x的定义域为(0,+∞).
求一阶、二阶导数,可得y’=2x+
,y”=2-
.令y”=0,得x=1.当x>1时,y”>0;当x<1时,y”<0.
因此(1,1)为曲线的拐点,点(1,1)处的切线斜率k=y’(1)=4.
因此切线方程为y-1=4(x-1),即y=4x-3.
11、
________.
________.
本题答案:

【解析】

【解析】
12、
________.
________.
本题答案:

【解析】

【解析】
13、设函数z=z(x,y)由方程lnz+ez-1=xy所确定,则
________.
________.
本题答案:

【解析】

【解析】
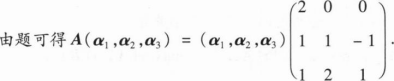
14、设A为三阶矩阵,α1,α2,α3为线性无关的向量组.若Aα1=2α1+α2+α3,Aα2=α2+2α3,Aα3=-α2+α3,则A的实特征值为________.
本题答案:
2
【解析】
2
【解析】
15、

本题答案:


16、
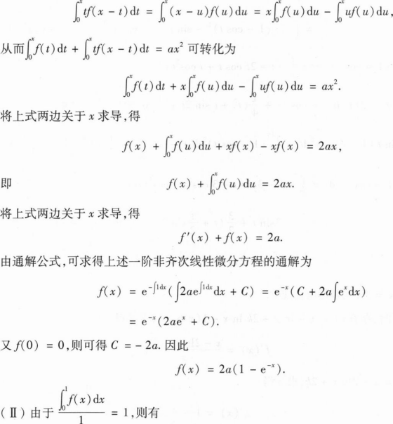
(I)求f(x);
(II)若f(x)在区间[0,1]上的平均值为1,求a的值.

(I)求f(x);
(II)若f(x)在区间[0,1]上的平均值为1,求a的值.
本题答案:
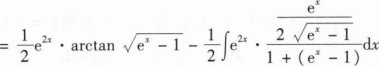
(I)令u=x-t,则t=x-u,dt=-du.因此
因此a=
.
(I)令u=x-t,则t=x-u,dt=-du.因此
因此a=
. 17、

本题答案:
题中所给曲线是一条拱线,平面区域D可表示为
题中所给曲线是一条拱线,平面区域D可表示为
18、已知常数k≥ln2-1,证明:(x-1)(x-ln2x+2klnx-1)≥0.
本题答案:
证明:当x=1时,显然所证成立.
当x≠1时,令f(x)=x-ln2x+2k lnx-1(x>0),求导得
令g(x)=x-2lnx+2k,求导得
g'(x)=1-
.
令g’(x)=0,得驻点x=2.
①当0g(x)>g(1)=1+2k≥l+2(ln2—1)=2ln2—1>0.
因此f’(x)>0,f(x)在(0,1)上单调递增,故f(x)在(0,1)上,由x-1<0,f(x)<0,可得
(x-1)(x-1n2x+2k lnx-1)>0.
②当x>1时,可知当12时,g'(x)>0.
因此g(x)在(1,2)上单调递减,在(2,+∞)上单调递增,则
g(x)>g(2)=2—2ln2+2k≥2—2ln2+2(ln2—1)=0.
因此f'(x)>0,f(x)在(1,+∞)上单调递增,故f(x)>f(1)=0.
在(1,+∞)上,由x-1>0,f(x)>0,可得
(x-1)(x—ln2x+2k ln x-1)>0.
综上所述,当x>0时,不等式(x-1)(x—ln2x+2k ln x-1)≥0恒成立.
证明:当x=1时,显然所证成立.
当x≠1时,令f(x)=x-ln2x+2k lnx-1(x>0),求导得
令g(x)=x-2lnx+2k,求导得
g'(x)=1-
.令g’(x)=0,得驻点x=2.
①当0
因此f’(x)>0,f(x)在(0,1)上单调递增,故f(x)
(x-1)(x-1n2x+2k lnx-1)>0.
②当x>1时,可知当1
因此g(x)在(1,2)上单调递减,在(2,+∞)上单调递增,则
g(x)>g(2)=2—2ln2+2k≥2—2ln2+2(ln2—1)=0.
因此f'(x)>0,f(x)在(1,+∞)上单调递增,故f(x)>f(1)=0.
在(1,+∞)上,由x-1>0,f(x)>0,可得
(x-1)(x—ln2x+2k ln x-1)>0.
综上所述,当x>0时,不等式(x-1)(x—ln2x+2k ln x-1)≥0恒成立.
19、将长为2m的铁丝分成三段,依次围成圆、正方形和正三角形,三个图形的面积之和是否存在最小值?若存在,求出最小值.
本题答案:
设分割后的三段铁丝的长分别为x,y,z,则x+y+z=2.
设分割后的三段铁丝的长分别为x,y,z,则x+y+z=2.
20、已知曲线L:y=
x2(x≥0),点O(0,0),点A(0,1),设P是L上的动点,S是直线OA与直线AP及曲线L所围成图形的面积.若P运动到点(3,4)时沿x轴正向的速度是4,求此时S关于时间t的变化率.
x2(x≥0),点O(0,0),点A(0,1),设P是L上的动点,S是直线OA与直线AP及曲线L所围成图形的面积.若P运动到点(3,4)时沿x轴正向的速度是4,求此时S关于时间t的变化率.
本题答案:
设点P的坐标为(x(t),
x2(t)),则所围图形的面积为
设点P的坐标为(x(t),
x2(t)),则所围图形的面积为
21、

本题答案:
证明:设f(x)=ex-1-x(x>0),则有
证明:设f(x)=ex-1-x(x>0),则有
22、设实二次型f(x1,x2,x3)=(x1-x2+x3)2+(x2+x3)2+(x1+ax3)2,其中a是参数.
(I)求f(x1,x2,x3)=0的解;
(Ⅱ)求f(x1,x2,x3)的规范形.
(I)求f(x1,x2,x3)=0的解;
(Ⅱ)求f(x1,x2,x3)的规范形.
本题答案:
(I)由f(x1,x2,x3)=0得
(I)由f(x1,x2,x3)=0得
23、
(I)求a;
(Ⅱ)求满足AP=B的可逆矩阵P.

(I)求a;
(Ⅱ)求满足AP=B的可逆矩阵P.
本题答案:
(I)由题意知|A|=|B|,且r(A)=r(B).由于
因此可得a=2.
(Ⅱ)求满足AP=B的可逆矩阵P,即求方程组Ax=B的解.
令P=(ξ1,ξ2,ξ3),B=(β1,β2,β3),X=(x1,x2,x3),
则可得方程组Ax1=β1的基础解系为(-6,2,1)T,特解为(3,-1,0)T;
得方程组Ax2=β2的基础解系为(-6,2,1)T,特解为(4,-1,0)T;
得方程组Ax3=β3的基础解系为(-6,2,1)T,特解为(4,-1,0)T.
从而可知三个非齐次方程组的通解为
(I)由题意知|A|=|B|,且r(A)=r(B).由于
因此可得a=2.
(Ⅱ)求满足AP=B的可逆矩阵P,即求方程组Ax=B的解.
令P=(ξ1,ξ2,ξ3),B=(β1,β2,β3),X=(x1,x2,x3),
则可得方程组Ax1=β1的基础解系为(-6,2,1)T,特解为(3,-1,0)T;
得方程组Ax2=β2的基础解系为(-6,2,1)T,特解为(4,-1,0)T;
得方程组Ax3=β3的基础解系为(-6,2,1)T,特解为(4,-1,0)T.
从而可知三个非齐次方程组的通解为