2016年硕士研究生《数学(二)》真题
搜题
1、设α1=x(cos
-1),α2=
ln(1+
),α3=
.当x→0+时,以上3个无穷小量按照从低阶到高阶的排序是().
-1),α2=
ln(1+
),α3=
.当x→0+时,以上3个无穷小量按照从低阶到高阶的排序是().A.α1,α2,α3
B.α2,α3,α1
C.α2,α1,α3
D.α3,α2,α1
本题答案:
B
B
2、
().
().A.
B.
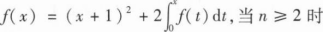
C.
D.
本题答案:
D
D
3、
().
().A.①收敛,②收敛
B.①收敛,②发散
C.①发散,②收敛
D.①发散,②发散
本题答案:
B
B
4、设函数f(x)在(-∞,+∞)内连续,其导函数的图形如图所示,则().


A.函数f(x)有2个极值点,曲线y=f(x)有2个拐点
B.函数f(x)有2个极值点,曲线y=f(x)有3个拐点
C.函数f(x)有3个极值点,曲线y=f(x)有1个拐点
D.函数f(x)有3个极值点,曲线y=f(x)有2个拐点
本题答案:
B
B
5、设函数fi(x)(i=1,2)具有二阶连续导数,且
(x0)<0(i=1,2).若两条曲线y=fi(x)
(i=1,2)在点(x0,y0)处具有公切线y=g(x),且在该点处曲线y=f1(x)的曲率大于曲
线y=f2(x)的曲率,则在x0的某个邻域内,有().
(x0)<0(i=1,2).若两条曲线y=fi(x)(i=1,2)在点(x0,y0)处具有公切线y=g(x),且在该点处曲线y=f1(x)的曲率大于曲
线y=f2(x)的曲率,则在x0的某个邻域内,有().
A.f1(x)≤f2(x)≤g(x)
B.f2(x)≤f1(x)≤g(x)
C.f1(x)≤g(x)≤f2(x)
D.f2(x)≤g(x)≤f1(x)
本题答案:
A
A
6、
().
().A.
B.
C.
D.
本题答案:
D
D
7、设A,B是可逆矩阵,且A与B相似,则下列结论错误的是().
A.AT与BT相似
B.A-1与B-1相似
C.A+AT与B+BT相似
D.A+A-1与B+B-1相似
本题答案:
C
C
9、
______.
______.
本题答案:

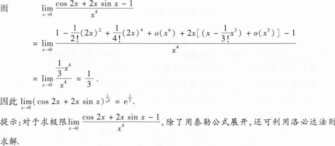
【解析】

【解析】
10、
______.
______.
本题答案:
sin1-cos 1
【解析】
sin1-cos 1
【解析】
11、以y=x2-ex和y=x2为特解的一阶非齐次线性微分方程为______.
本题答案:
y’-y=2x-x2
【解析】由题意知x2-(x2-ex)为对应齐次方程的解.
可知ex是齐次方程y’+p(x)y=0的解,从而可得P(x)=-1.
设非齐次方程为y’-y=f(x),将y=x2代入,得f(x)=2x-x2.
因此所求一阶非齐次线性微分方程为y’-y=2x—x2.
y’-y=2x-x2
【解析】由题意知x2-(x2-ex)为对应齐次方程的解.
可知ex是齐次方程y’+p(x)y=0的解,从而可得P(x)=-1.
设非齐次方程为y’-y=f(x),将y=x2代入,得f(x)=2x-x2.
因此所求一阶非齐次线性微分方程为y’-y=2x—x2.
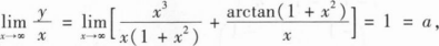
12、已知函数f(x)在(-∞,+∞)上连续,且
f(n)(0)=______.

f(n)(0)=______.
本题答案:
5·2n-1
【解析】
5·2n-1
【解析】
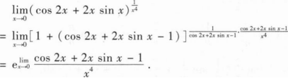
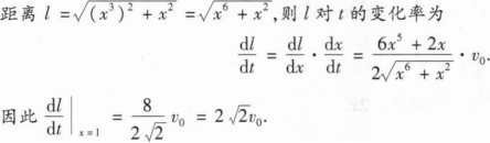
13、已知动点P在曲线y=x3上运动,记坐标原点与点P之间的距离为l,若点P的横坐标对时间的变化率为常数v0,则当点P运动到点(1,1)时,l对时间的变化率是______.
本题答案:

【解析】

【解析】
14、
______.
______.
本题答案:
2
【解析】
2
【解析】
15、

本题答案:


16、

本题答案:


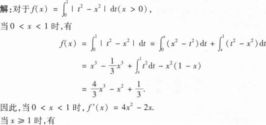
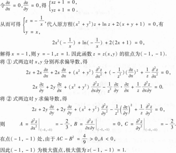
17、已知函数z=z(x,y)由方程(x2+y2)z+lnz+2(x+y+1)=0所确定,求z=z(x,y)的极值.
本题答案:


18、

本题答案:
区域D如图中阴影所示,由图可知D关于y轴对称.
区域D如图中阴影所示,由图可知D关于y轴对称.
19、已知y1(x)=ex,y2(x)=u(x)ex是二阶微分方程
(2x-1)y”-(2x+1)y’+2y=0
的两个解,若u(-1)=e,u(0)=-1,求u(x),并写出该微分方程的通解.
(2x-1)y”-(2x+1)y’+2y=0
的两个解,若u(-1)=e,u(0)=-1,求u(x),并写出该微分方程的通解.
本题答案:


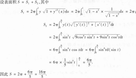
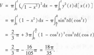
20、

本题答案:
D的图形如右图所示,D绕x轴旋转一周所得旋转体的体
积可看作两个体积之差,即
D的图形如右图所示,D绕x轴旋转一周所得旋转体的体
积可看作两个体积之差,即
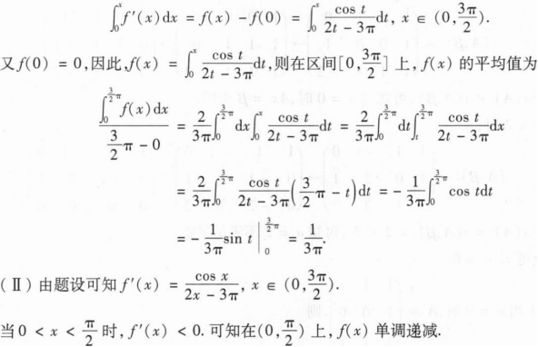
21、
(I)求f(x)在区间[0,
]上的平均值;
(II)证明f(x)在区间(0,
)内存在唯一零点.

(I)求f(x)在区间[0,
]上的平均值;(II)证明f(x)在区间(0,
)内存在唯一零点.
本题答案:
(I)由题设可得
(I)由题设可得
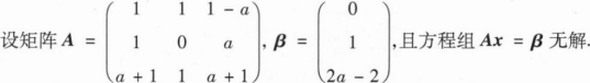
22、
(I)求a的值;
(11)求方程组ATAx=ATβ的通解.

(I)求a的值;
(11)求方程组ATAx=ATβ的通解.
本题答案:
(I)由于Ax=β无解,可知|A|=0,即
(I)由于Ax=β无解,可知|A|=0,即
23、
(I)求A99;
(Ⅱ)设三阶矩阵B=(α1,α2,α3)满足B2=BA.记B100=(β1,β2,β3),将β1,β2,β3分别表示为α1,α2,α3的线性组合.

(I)求A99;
(Ⅱ)设三阶矩阵B=(α1,α2,α3)满足B2=BA.记B100=(β1,β2,β3),将β1,β2,β3分别表示为α1,α2,α3的线性组合.
本题答案:
(I)矩阵A的特征多项式为
(I)矩阵A的特征多项式为
)+2x1x2+2x2x3+2x1x3的正、负惯性指数分别为1,2,则().