2020年硕士研究生《数学(二)》真题
搜题
1、当x→0+时,下列无穷小量中是最高阶的是().
A.
B.
C.
D.
本题答案:
D
D
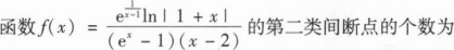
2、

A.1
B.2
C.3
D.4
本题答案:
C
C
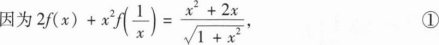
3、

A.
B.
C.
D.
本题答案:
A
A
4、已知函数f(x)=x2ln(1-x),当n≥3时,f(n)(0)=().
A.
B.
C.
D.
本题答案:
A
A
5、



A.4
B.3
C.2
D.1
本题答案:
B
B
6、设函数f(x)在区间[-2,2]上可导,且f'(x)>f(x)>0,则
A.
B.
C.
D.
本题答案:
B
B
7、设四阶矩阵A=(aij)不可逆,a12的代数余子式A12≠0,α1,α2,α3,α4为矩阵A的列向量组,A*为A的伴随矩阵,则方程组A*x=0的通解为().
A.x=k1α1+k2α2+k3α3,其中k1,k2,k3为任意常数
B.x=k1α1+k2α2+k3α4,其中k1,k2,k3为任意常数
C.x=k1α1+k2α3+k3α4,其中k1,k2,k3为任意常数
D.x=k1α2+k2α3+k3α4,其中k1,k2,k3为任意常数
本题答案:
C
C
8、设A为三阶矩阵,α1,α2为A的属于特征值1的线性无关的特征向量,α3为A的属于特征值-1的特征向量,则满足
的可逆矩阵P为().
的可逆矩阵P为().A.(α1+α3,α2,-α3)
B.(α1+α2,α2,-α3)
C.(α1+α3,-α3,α2)
D.(α1+α2,-α3,α2)
本题答案:
D
D
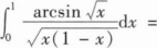
9、

本题答案:

【解析】

【解析】
10、

本题答案:

【解析】

【解析】
11、

本题答案:
(π-1)dx-dy
【解析】
(π-1)dx-dy
【解析】
12、斜边长为2a的等腰直角三角形平板铅直地沉没在水中,且斜边与水面相齐,设重力加速度为g,水密度为p,则该平板一侧所受的水的压力为________.
本题答案:

【解析】建立直角坐标系,如图所示.

【解析】建立直角坐标系,如图所示.
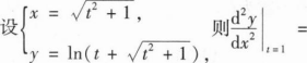
13、

本题答案:
1
【解析】
∵特征方程λ2+2λ+1=0,
1
【解析】
∵特征方程λ2+2λ+1=0,
14、

本题答案:
a4—4a2
【解析】
a4—4a2
【解析】
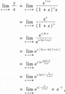
15、

本题答案:

因此,曲线的斜渐近线方程为

因此,曲线的斜渐近线方程为
16、已知函数f(x)连续,且
,并证明g'(x)在x=0处连续.
,并证明g'(x)在x=0处连续.
本题答案:


17、求二元函数f(x,y)=x3+8y3-xy的极值.
本题答案:
求一阶导数可得
当x=0,y=0时,A=0,B=-1,C=0,
AC—B2<0,故(0,0)不是极值点.
当x=
,y=
时,
A=1,B=-1,C=4,
AC—B2>0,且A=1>0,故(
,
)是极小值点.
求一阶导数可得
当x=0,y=0时,A=0,B=-1,C=0,
AC—B2<0,故(0,0)不是极值点.
当x=
,y=
时,A=1,B=-1,C=4,
AC—B2>0,且A=1>0,故(
,
)是极小值点.
18、

本题答案:

所以①×2-②×x2得

所以①×2-②×x2得
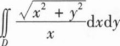
19、设平面区域D由直线x=1,x=2,y=x与x轴围成,计算

本题答案:
积分区域如下图所示.
积分区域如下图所示.
20、设函数
,证明:
(I)

(Ⅱ)

,证明:(I)

(Ⅱ)

本题答案:
证明:
(I)构造辅助函数F(x)=f(x)(x-2)=(x-2)
,
显然F(1)=0,F(2)=0,又F(x)在[1,2]上连续,(1,2)上可导,
由罗尔定理知
ξ∈(1,2),使得F’(ξ)=0.
证明:
(I)构造辅助函数F(x)=f(x)(x-2)=(x-2)
,显然F(1)=0,F(2)=0,又F(x)在[1,2]上连续,(1,2)上可导,
由罗尔定理知
ξ∈(1,2),使得F’(ξ)=0.
21、设函数f(x)可导,且f'(x)>0,曲线y=f(x)(x≥0)经过坐标原点0,其上任意一点M的切线与x轴交于T,又MP垂直x轴于点P.已知由曲线y=f(x),直线MP及x轴所围成的面积与▲MTP的面积之比为3:2,求满足上述条件的曲线的方程.
本题答案:
设切点M坐标为(x,y),则过M的切线方程为Y—y=Y’(X-x).
令Y=0得X=x-
.由题意得
整理并求导得
.
设切点M坐标为(x,y),则过M的切线方程为Y—y=Y’(X-x).
令Y=0得X=x-
.由题意得
整理并求导得
.
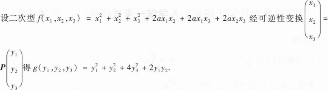
22、
(I)求a的值;
(Ⅱ)求可逆矩阵P.

(I)求a的值;
(Ⅱ)求可逆矩阵P.
本题答案:
(I)
(I)
23、设A为二阶矩阵,P=(α,Aα),其中α是非零向量且不是A的特征向量.
(I)证明P为可逆矩阵;
(11)若A2α+Aα-6α=0,求P-1AP,并判断A是否相似于对角矩阵.
(I)证明P为可逆矩阵;
(11)若A2α+Aα-6α=0,求P-1AP,并判断A是否相似于对角矩阵.
本题答案:
(I)α≠0且α不是A的特征向量,于是Aα≠λα,故α与Aα线性无关,
则r(α,Aα)=2,
则P可逆.
(II)解法一
由已知有A2α=-Aα+6α,
于是AP=A(α,Aα)=(Aα,A2α)=(Aα,-Aα+6α)
因为P可逆,
,
所以可得A的特征值也为-3,2.于是A可相似对角化.
解法二:
P-1AP同解法一.
由A2α+Aα-6α=0,
得(A2+A-6E)α=0,
即(A+3E)(A-2E)α=0,
由α≠0得(A2+A-6E)x=0有非零解,
故|(A+3E)(A-2E)|=0,
得|A+3E|=0或|A-2E|=0,
若|A+3E|≠0,则有(A-2E)α=0,故Aα=2α与题意矛盾,
故|A+3E|=0,同理可得|A-2E|=0.
于是A的特征值为λ1=-3,λ2=2,
A有2个不同特征值,故A可相似对角化.
(I)α≠0且α不是A的特征向量,于是Aα≠λα,故α与Aα线性无关,
则r(α,Aα)=2,
则P可逆.
(II)解法一
由已知有A2α=-Aα+6α,
于是AP=A(α,Aα)=(Aα,A2α)=(Aα,-Aα+6α)
因为P可逆,
,所以可得A的特征值也为-3,2.于是A可相似对角化.
解法二:
P-1AP同解法一.
由A2α+Aα-6α=0,
得(A2+A-6E)α=0,
即(A+3E)(A-2E)α=0,
由α≠0得(A2+A-6E)x=0有非零解,
故|(A+3E)(A-2E)|=0,
得|A+3E|=0或|A-2E|=0,
若|A+3E|≠0,则有(A-2E)α=0,故Aα=2α与题意矛盾,
故|A+3E|=0,同理可得|A-2E|=0.
于是A的特征值为λ1=-3,λ2=2,
A有2个不同特征值,故A可相似对角化.