2021年硕士研究生《数学(三)》真题
搜题
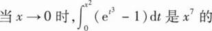
1、

A.低阶无穷小
B.等价无穷小
C.高阶无穷小
D.同阶但非等价无穷小
本题答案:
C
C
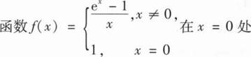
2、

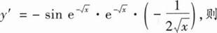
A.连续且取得极大值
B.连续且取得极小值
C.可导且导数为零
D.可导且导数不为零
本题答案:
D
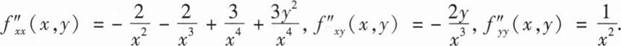
D
3、设函数f(x)=ax-blnx(a>0)有2个零点,则b/a的取值范围是( ).
A.(e,+∞)
B.(0,e)
C.
D.
本题答案:
A
A
4、设函数f(x,y)可微,且f(x+1,ex)=x(x+1)2,f(x,x2)=2x2Inx,则df(1,1)=( ).
A.dx+dy
B.dx-dy
C.dy
D.-dy
本题答案:
C
C
5、二次型f(x1,x2,x3)=(x1+x2)2+(x2+x3)2-(x3-x1)2的正惯性指数与负惯性指数依次为( ).
A.2,0
B.1,1
C.2,1
D.1,2
本题答案:
B
B
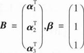
6、设A=(α1,α2,α3,α4)为四阶正交矩阵,若矩阵
,k表示任意常数,则线性方程组Bx=β的通解x=( ).
,k表示任意常数,则线性方程组Bx=β的通解x=( ).A.α2+α3+α4+kα1
B.α1+α3+α4+kα2
C.α1+α2+α4+kα3
D.α1+α2+α3+kα4
本题答案:
D
D
7、已知矩阵
,若下三角可逆矩阵P和上三角可逆矩阵Q可使得PAQ为对角矩阵,则P,Q可以分别取( ).
,若下三角可逆矩阵P和上三角可逆矩阵Q可使得PAQ为对角矩阵,则P,Q可以分别取( ).A.
B.
C.
D.
本题答案:
C
C
8、设A,B为随机事件,且0
A.若P(A|B)=P(A),则P(A|
)=P(A)
B.若P(A|B)>P(A),则P(
|
)>P(
)
C.若P(A|B)>P(A|
),则P(A|B)>P(A)
D.若P(A|A∪B)>P(
|A∪B),则P(A)>P(B)
本题答案:
D
D
9、



A.
B.
C.
D.
本题答案:
B
B
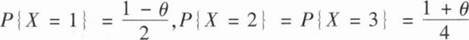
10、设总体x的概率分布为
,利用来自总体X的样本观察值1,3,2,2,1,3,1,2,可得θ的最大似然估计值为( ).
,利用来自总体X的样本观察值1,3,2,2,1,3,1,2,可得θ的最大似然估计值为( ).A.
B.
C.
D.
本题答案:
A
A
11、

本题答案:

【解析】


【解析】

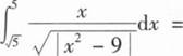
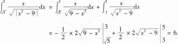
12、

本题答案:
6
6
【解析】
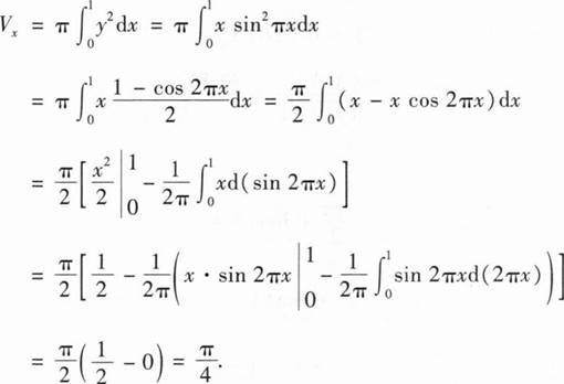
13、设平面区域D由曲线y=
sinπx(0≤x≤1)与x轴围成,则D绕x轴旋转所成旋转体的体积为________.
sinπx(0≤x≤1)与x轴围成,则D绕x轴旋转所成旋转体的体积为________.
本题答案:

【解析】

【解析】
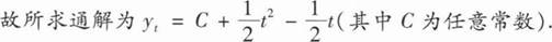
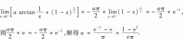
14、差分方程△yt=t的通解为yt=________.
本题答案:
(其中C为任意常数)
【解析】
因为
,所以原方程可转化
为
.该差分方程对应的齐次方程的通解为C(C为任意常数).
设非齐次特解为
,代入原方程可得
a(t+1)2+b(t+1)-(at2+bt)=t,即2at+a+b=t,解得a=
,b=-
,
(其中C为任意常数)【解析】
因为
,所以原方程可转化为
.该差分方程对应的齐次方程的通解为C(C为任意常数).设非齐次特解为
,代入原方程可得a(t+1)2+b(t+1)-(at2+bt)=t,即2at+a+b=t,解得a=
,b=-
,
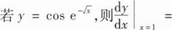
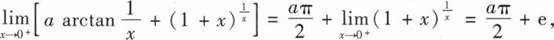
15、

本题答案:
-5
【解析】
-5
【解析】
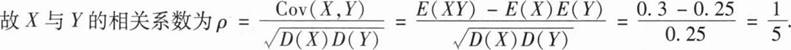
16、甲、乙两个盒子中各装有2个红球和2个白球,先从甲盒中任取一球,观察颜色后放入乙盒中,再从乙盒中任取一球.令X,Y分别表示从甲盒和从乙盒中取到的红球个数,则X与Y的相关系数为________.
本题答案:

【解析】
由题意可知,X与Y的联合概率分布与边缘概率分布如下表所示.

所以E(XY)=0.3,E(X)=E(Y)=0.5,D(X)=D(Y)=0.25,

【解析】
由题意可知,X与Y的联合概率分布与边缘概率分布如下表所示.

所以E(XY)=0.3,E(X)=E(Y)=0.5,D(X)=D(Y)=0.25,
17、

本题答案:
解:

解:

18、

本题答案:
解:


解:


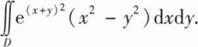
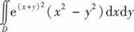
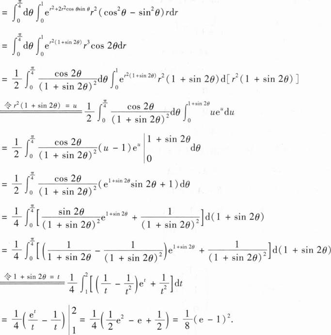
19、设有界区域D是圆x2+y2=1和直线y=x及x轴在第一象限围成的部分,计算二重积分

本题答案:
解:

解:

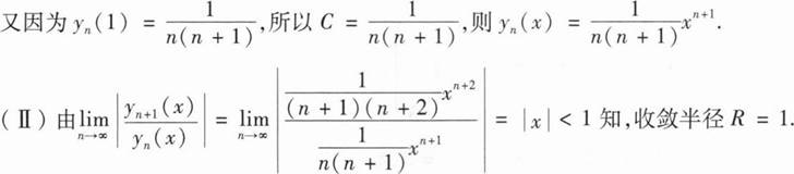
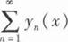
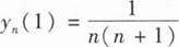
20、设n为正整数,y=yn(x)是微分方程xy'-(n+1)y=0满足条件
的解.
(I)求yn(x);
(Ⅱ)
求级数
的收敛域及和函数.
的解.(I)求yn(x);
(Ⅱ)
求级数
的收敛域及和函数.
本题答案:
解:(I)


解:(I)


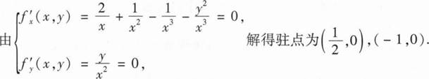
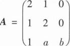
21、设矩阵
仅有两个不同的特征值,若A相似于对角矩阵,求a,b的值,并求可逆矩阵P,使P-1AP为对角矩阵.
仅有两个不同的特征值,若A相似于对角矩阵,求a,b的值,并求可逆矩阵P,使P-1AP为对角矩阵.
本题答案:
解:


解:


22、在区间(0,2)上随机取一点,将该区间分成两段,其中较短一段的长度记为x,较长一段的长度记为y,并令Z=
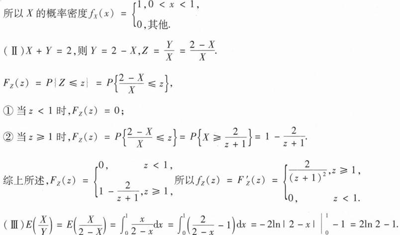
.
(I)求X的概率密度;
(II)求Z的概率密度;
(Ⅲ)求E
.(I)求X的概率密度;
(II)求Z的概率密度;
(Ⅲ)求E

本题答案:
解:
(I)由题意知,X+Y=2,0
解:
(I)由题意知,X+Y=2,0

最近更新试卷
Copyright © 奋学网(www.fxuexi.com)All Right Reserved.湘ICP备2021013332号-3