2020年硕士研究生《数学(三)》真题
搜题
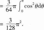
1、

A.bsina
B.bcosa
C.bsinf(a)
D.bcosf(a)
本题答案:
B
B
2、
的第二类间断点的个数为
的第二类间断点的个数为A.1
B.2
C.3
D.4
本题答案:
C
C
3、设奇函数f(x)在(-∞,+∞)上具有连续导数,则( ).
A.
B.
C.
D.
本题答案:
A
A
4、

A.(-2,6)
B.(-3,1)
C.(-5,3)
D.(-17,15)
本题答案:
B
B
5、设四阶矩阵A=(aij)不可逆,a12的代数余子式A12≠0,α1,α2,α3,α4为矩阵A的列向量组,A*为A的伴随矩阵,则方程组A*x=0的通解为( ).
A.x=k1α1+k2α2+k3α3,其中k1,k2,k3为任意常数
B.x=k1α1+k2α2+k3α4,其中k1,k2,k3为任意常数
C.x=k1α1+k2α3+k3α4,其中k1,k2,k3为任意常数
D.x=k1α2+k2α3+k3α4,其中k1,k2,k3为任意常数
本题答案:
C
C
6、设A为三阶矩阵,α1,α2为A的属于特征值1的线性无关的特征向量,α3为A的属于特征值-1的特征向量,则
的可逆矩阵P为
的可逆矩阵P为A.(α1+α3,α2,-α3)
B.(α1+α2,α2,-α3)
C.(α1+α3,-α3,α2)
D.(α1+α2,-α3,α2)
本题答案:
D
D
7、设A,B,C为三个随机事件,且P(A)=P(B)=P(C)=
,P(AB)=0,P(AC)=P(BC)=
,则A,B,C中恰有一个事件发生的概率为().
,P(AB)=0,P(AC)=P(BC)=
,则A,B,C中恰有一个事件发生的概率为().A.
B.
C.
D.
本题答案:
D
D
8、设随机变量(X,Y)服从二维正态分布
,下列随机变量中服从标准正态分布且与X独立的是( ).
,下列随机变量中服从标准正态分布且与X独立的是( ).A.
B.
C.
D.
本题答案:
C
C
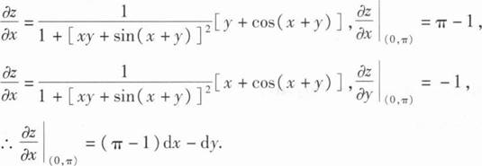
9、

本题答案:
(π-1)dx-dy
【解析】

(π-1)dx-dy
【解析】

10、曲线x+y+e2xy=0在点(0,-1)处的切线方程为______.
本题答案:
y=x-1
【解析】
1+y’+e2xy(2y+2xy')=0,
将x=0,y=-1代入上式得y’=1=k,
故y+1=1(x-0),即y=x-1.
y=x-1
【解析】
1+y’+e2xy(2y+2xy')=0,
将x=0,y=-1代入上式得y’=1=k,
故y+1=1(x-0),即y=x-1.
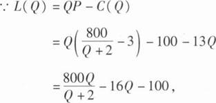
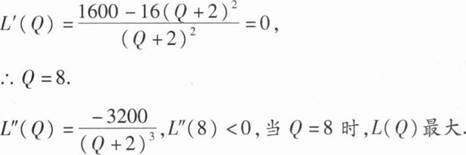
11、设某工厂生产某产品的产量为Q,成本C(Q)=100+13Q,设该产品的单价为P,需求量
,则该工厂取得最大利润时的产量为______.
,则该工厂取得最大利润时的产量为______.
本题答案:
8
【解析】

8
【解析】

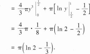
12、设平面区域
,则D绕y轴旋转一周所成旋转体的体积为______.
,则D绕y轴旋转一周所成旋转体的体积为______.
本题答案:
π(ln2-
)


π(ln2-
)

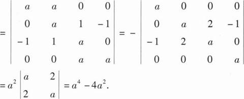
13、行列式
______.
______.
本题答案:
a4—4a2
【解析】

a4—4a2
【解析】

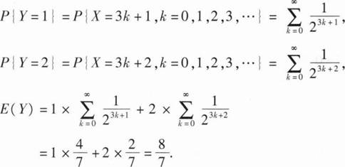
14、设随机变量X的概率分布P{X=k}=
,k=1,2,3,…,Y表示X被3除的余数,则E(Y)=______.
,k=1,2,3,…,Y表示X被3除的余数,则E(Y)=______.
本题答案:

【解析】
P{Y=0}=P{X=3k,k=1,2,3,…},

【解析】
P{Y=0}=P{X=3k,k=1,2,3,…},
15、

本题答案:
解:

解:

16、求二元函数f(x,y)=x3+8y3-xy的极值.
本题答案:
解:求一阶导数可得
解:求一阶导数可得
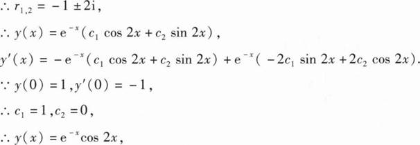
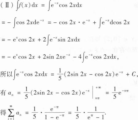
17、已知函数y=f(x)满足y”+2y’+5y=0,且f(0)=1,f’(0)=-1.
(I)求f(x)的表达式;
(Ⅱ)
(I)求f(x)的表达式;
(Ⅱ)

本题答案:
解:(I)


解:(I)


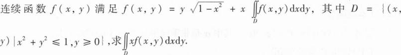
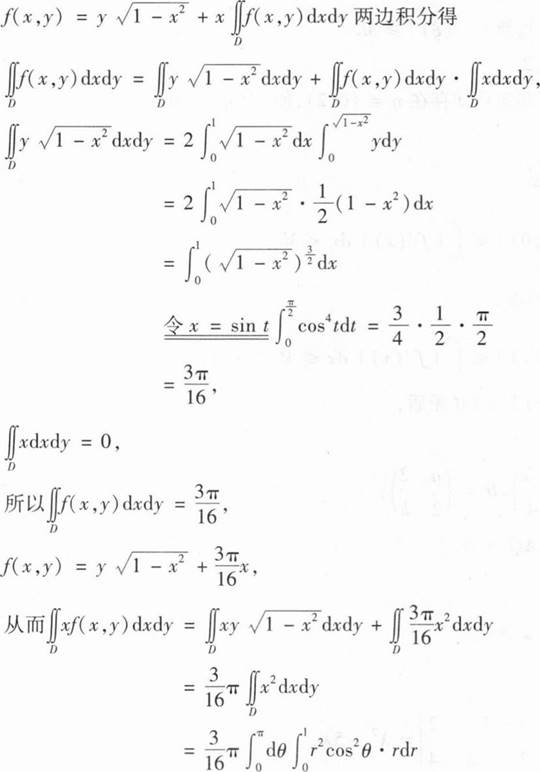
18、



本题答案:
解:积分区域D如图所示.


解:积分区域D如图所示.


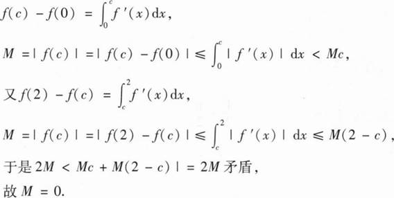
19、设函数f(x)在区间[0,2]上具有连续导数f(0)=f(2)=0,M=max{|f(x)|},x∈[0,2],
证明:(I)]ξ∈(0,2),使得M≤|f’(ξ)|;
(Ⅱ)若
x∈(0,2),|f'(x)|≤M,则M=0.
证明:(I)]ξ∈(0,2),使得M≤|f’(ξ)|;
(Ⅱ)若
x∈(0,2),|f'(x)|≤M,则M=0.
本题答案:
证明:(I)由M=max{|f(x)|},x∈[0,2]知存在c∈(0,2),使|f(c)|=M,若c∈(0,1],由拉格朗日中值定理得至少存在一点ξ∈(0,C),使

(II)若M>0,则c≠0,2.
由f(0)=f(2)=0及罗尔定理知存在η∈(0,2),使f’(η)=0.
当η∈(0,C]时,
证明:(I)由M=max{|f(x)|},x∈[0,2]知存在c∈(0,2),使|f(c)|=M,若c∈(0,1],由拉格朗日中值定理得至少存在一点ξ∈(0,C),使

(II)若M>0,则c≠0,2.
由f(0)=f(2)=0及罗尔定理知存在η∈(0,2),使f’(η)=0.
当η∈(0,C]时,
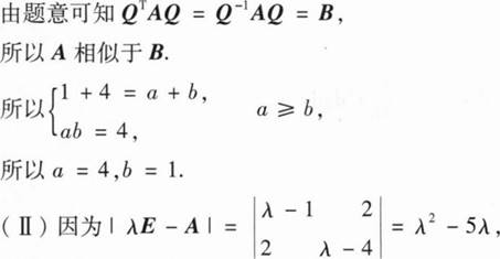
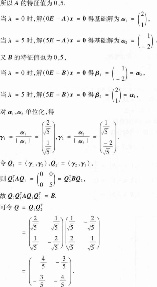
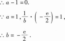
20、
(I)求a,b的值;
(II)求正交矩阵Q.

(I)求a,b的值;
(II)求正交矩阵Q.
本题答案:
解:(1)


解:(1)


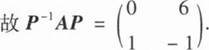
21、设A为二阶矩阵,P=(α,Aα),其中α是非零向量且不是A的特征向量.
(I)证明P为可逆矩阵;
(Ⅱ)若A2α+Aα-6α=0,求P-1AP,并判断A是否相似于对角矩阵.
(I)证明P为可逆矩阵;
(Ⅱ)若A2α+Aα-6α=0,求P-1AP,并判断A是否相似于对角矩阵.
本题答案:
解:(I)因为α≠0且α不是A的特征向量,所以Aα≠λα,
故α与Aα线性无关,
则r(α,Aα)=2,
则P可逆.
(Ⅱ)AP=A(α,Aα)
=(Aα,A2x)


由A2α+Aα-6α=0,
得(A2+A-6E)α=0,
即(A+3E)(A-2E)α=0,
由α≠0得(A2+A-6E)x=0有非零解,
故|(A+3E)(A-2E)|=0,
得|A+3E|=0或|A-2E|=0,
若|A+3E|≠0,则有(A-2E)α=0,故Aα=2α与题意矛盾,
故|A+3E|=0,同理可得|A-2E|=0,
于是A的特征值为λ1=-3,λ2=2.
A有2个不同特征值,故A可相似对角化.
解:(I)因为α≠0且α不是A的特征向量,所以Aα≠λα,
故α与Aα线性无关,
则r(α,Aα)=2,
则P可逆.
(Ⅱ)AP=A(α,Aα)
=(Aα,A2x)


由A2α+Aα-6α=0,
得(A2+A-6E)α=0,
即(A+3E)(A-2E)α=0,
由α≠0得(A2+A-6E)x=0有非零解,
故|(A+3E)(A-2E)|=0,
得|A+3E|=0或|A-2E|=0,
若|A+3E|≠0,则有(A-2E)α=0,故Aα=2α与题意矛盾,
故|A+3E|=0,同理可得|A-2E|=0,
于是A的特征值为λ1=-3,λ2=2.
A有2个不同特征值,故A可相似对角化.
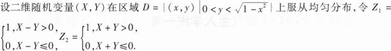
22、
(I)求二维随机变量(Z1,Z2)的概率分布;
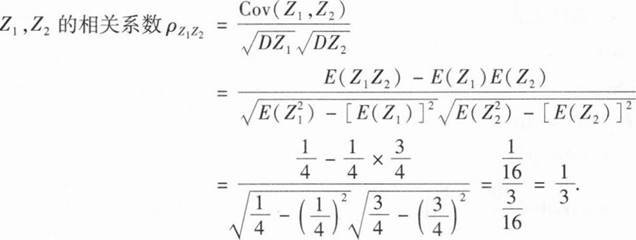
(Ⅱ)求Z1与Z2的相关系数
.

(I)求二维随机变量(Z1,Z2)的概率分布;
(Ⅱ)求Z1与Z2的相关系数
.
本题答案:
解:(I)(X,Y)在区域D上服从均匀分布,
则P{Z1=0,Z2=0}=P{X≤Y,X≤-Y}=
,
P{Z1=0,Z2=1}=P{X≤Y,Y>-X}=
,
P{Z1=1,Z2=0}=P{X>Y,X≤-Y}=0,
P{Z1=1,Z2=1}=P{X>Y,X>-Y}=
.

概率分布为

(1I)
解:(I)(X,Y)在区域D上服从均匀分布,
则P{Z1=0,Z2=0}=P{X≤Y,X≤-Y}=
,P{Z1=0,Z2=1}=P{X≤Y,Y>-X}=
,P{Z1=1,Z2=0}=P{X>Y,X≤-Y}=0,
P{Z1=1,Z2=1}=P{X>Y,X>-Y}=
.
概率分布为

(1I)
23、设某种元件的使用寿命T的分布函数为
其中θ,m为参数且大于零.
(I)求概率P{T>t}与P{T>s+t|T>s},其中s>0,t>0;
(Ⅱ)任取n个这种元件做寿命试验,测得它们的寿命分别为t1,t2,…,tn,若m已知,求θ的最大似然估计值
.
其中θ,m为参数且大于零.(I)求概率P{T>t}与P{T>s+t|T>s},其中s>0,t>0;
(Ⅱ)任取n个这种元件做寿命试验,测得它们的寿命分别为t1,t2,…,tn,若m已知,求θ的最大似然估计值
.
本题答案:
解:
(I)


解:
(I)

