2021年硕士研究生《数学(一)》真题
搜题
1、

A.连续且取得极大值
B.连续且取得极小值
C.可导且导数为零
D.可导且导数不为零
本题答案:
D
D
2、设函数f(x,y)可微,且f(x+1,ex)=x(x+1)2,f(x,x2)=2x2lnx,则df(1,1)=( ).
A.dx+dy
B.dx-dy
C.dy
D.-dy
本题答案:
C
C
3、设函数
处的3次泰勒多项式为ax+bx2+cx3,则( ).
处的3次泰勒多项式为ax+bx2+cx3,则( ).A.a=1,b=0,c=-
B.a=1,b=0,c=
C.a=-1,b=-1,c=-
D.a=-1,b=-1,c=
本题答案:
A
A
4、设函数f(x)在区间[0,1]上连续,则
( ).
( ).A.
B.
C.
D.
本题答案:
B
B
5、二次型f(x1,x2,x3)=(x1+x2)2+(x2+x3)2-(x3-x1)2的正惯性指数与负惯性指数依次为( ).
A.2,0
B.1,1
C.2,1
D.1,2
本题答案:
B
B
6、
β2,β3两两相交,则l1,l2依次为().

β2,β3两两相交,则l1,l2依次为().
A.
B.
C.
D.
本题答案:
A
A
7、设A,B为n阶实矩阵,下列结论不成立的是( ).
A.
B.
C.
D.
本题答案:
C
C
8、设A,B为随机事件,且0
A.若P(A|B)=P(A),则P(A|
)=P(A)
B.若P(A|B)>P(A),则P(
|
)>P(
)
C.若P(A|B)>P(A|
),则P(A|B)>P(A)
D.若P(A|A
B)>P(
|A
B),则P(A)>P(B)
本题答案:
D
D
9、设(X1,Y1),(X2,Y2),…,(Xn,Yn)为来自总体
的简单随机样本,令
=
,则( ).
的简单随机样本,令
=
,则( ).A.
B.
C.
D.
本题答案:
C
C
10、设X1,X2,…,X16是来自总体N(μ,4)的简单随机样本,考虑假设检验问题:H0:μ≤10,H1:μ>10.
(x)表示标准正态分布函数.若该检验问题的拒绝域为
,其中
,则μ=11.5时,该检验犯第二类错误的概率为( ).
(x)表示标准正态分布函数.若该检验问题的拒绝域为
,其中
,则μ=11.5时,该检验犯第二类错误的概率为( ).A.1-
(0.5)
B.1-
(1)
C.1-
(1.5)
D.1-
(2)
本题答案:
B
B
11、

本题答案:

【解析】

【解析】
12、

本题答案:

【解析】


【解析】

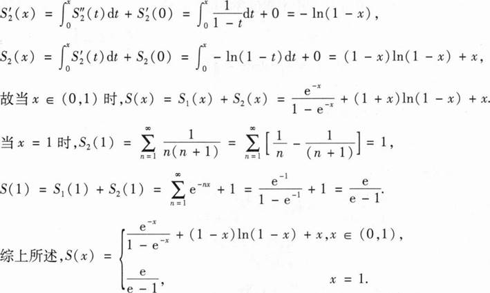
13、欧拉方程x2y”+xy’-4y=0满足条件y(1)=1,y’(1)=2的解为______.
本题答案:
y=x2
【解析】
作变换x=et,则y'(t)=y’(x)et=xy'(x),
y”(f)=x’(t)y’(x)+xy”(x)x’(t)=xy'(x)+x2y”(x)=y’(t)+x2y”(x),
则原方程可转化为y”(t)-y’(t)+y’(t)-4y(t)=0,即y”(t)-4y(t)=0,
其特征方程为λ2—4=0,特征根为λ1=2,λ2=-2,
则该方程的通解为
,又y(1)=1,y’(1)=2,
故C1=1,C2=0,所以y=x2.
y=x2
【解析】
作变换x=et,则y'(t)=y’(x)et=xy'(x),
y”(f)=x’(t)y’(x)+xy”(x)x’(t)=xy'(x)+x2y”(x)=y’(t)+x2y”(x),
则原方程可转化为y”(t)-y’(t)+y’(t)-4y(t)=0,即y”(t)-4y(t)=0,
其特征方程为λ2—4=0,特征根为λ1=2,λ2=-2,
则该方程的通解为
,又y(1)=1,y’(1)=2,故C1=1,C2=0,所以y=x2.
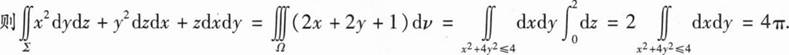
14、设三为空间区域{(x,y,z)|x2+4y2≤4,0≤z≤2}表面的外侧,则曲面积分
y2dzdx+zdxdy=______.
y2dzdx+zdxdy=______.
本题答案:
4π
【解析】
由高斯公式得
,其中Ω为∑围成的封闭区域.
由于图形关于xOz平面对称,所以
同理,由于图形关于yOz平面对称,所以
4π
【解析】
由高斯公式得
,其中Ω为∑围成的封闭区域.由于图形关于xOz平面对称,所以

同理,由于图形关于yOz平面对称,所以

15、设A=(aij)为三阶矩阵,Aij为元素aij的代数余子式.若A的每行元素之和均为2,且|A|=3,则A11+A21+A31=______.
本题答案:

【解析】
因为A的每行元素之和均为2,所以

,故A*的每行元素之和均为
.

【解析】
因为A的每行元素之和均为2,所以

,故A*的每行元素之和均为
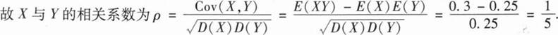
. 16、甲、乙两个盒子中各装有2个红球和2个白球,先从甲盒中任取一球,观察颜色后放入乙盒中,再从乙盒中任取一球.令X,Y分别表示从甲盒和从乙盒中取到的红球个数,则X与Y的相关系数为______.
本题答案:

由题意可知,X与Y的联合概率分布与边缘概率分布如下表所示.

所以E(XY)=0.3,E(X)=E(Y)=0.5,D(X)=D(Y)=0.25,

由题意可知,X与Y的联合概率分布与边缘概率分布如下表所示.

所以E(XY)=0.3,E(X)=E(Y)=0.5,D(X)=D(Y)=0.25,
17、

本题答案:


18、

本题答案:




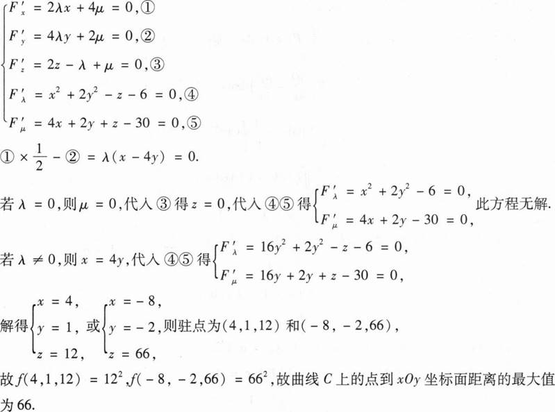
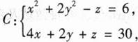
19、已知曲线
求C上的点到xOy坐标平面距离的最大值.
求C上的点到xOy坐标平面距离的最大值.
本题答案:
设c上的点(x,y,z)到xOy坐标平面的距离为d,则d=|z|
根据题意,目标函数为f(x,y,z)=z2,约束条件是x2+2y2-z-6=0及4x+2y+z-30=0.
构造拉格朗日函数F(x,y,z,λ,μ)=z2+λ(x2+2y2-z-6)+μ(4x+2y+z-30),则
设c上的点(x,y,z)到xOy坐标平面的距离为d,则d=|z|
根据题意,目标函数为f(x,y,z)=z2,约束条件是x2+2y2-z-6=0及4x+2y+z-30=0.
构造拉格朗日函数F(x,y,z,λ,μ)=z2+λ(x2+2y2-z-6)+μ(4x+2y+z-30),则
20、设D
R2是有界单连通闭区域,

取得最大值的积分区域记为D1
(Ⅰ)求I(D1)的值;
(Ⅱ)

其中
D1是D1的正向边界.
R2是有界单连通闭区域,
取得最大值的积分区域记为D1
(Ⅰ)求I(D1)的值;
(Ⅱ)

其中
D1是D1的正向边界.
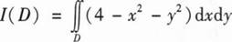
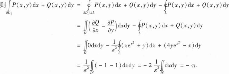
本题答案:
(Ⅰ)要使
取得最大值,则D应该包含所有使得被积函数f(x,y)=4-x2-y2≥0并且D中不能包含使得f(x,y)=4-x2-y2<0的区域,故D1={(x,y)x2+y2≤4},

又Q(x,y),P(x,y)在
D1围成的区域D1上有奇点,所以要补充曲线L:x2+4y2=ε2,ε>0足够小,取顺时针方向,且L围成的区域为D”,则Q(x,y),P(x,y)在
D1与L围成的区域D’上满足格林公式的条件,
(Ⅰ)要使
取得最大值,则D应该包含所有使得被积函数f(x,y)=4-x2-y2≥0并且D中不能包含使得f(x,y)=4-x2-y2<0的区域,故D1={(x,y)x2+y2≤4},
又Q(x,y),P(x,y)在
D1围成的区域D1上有奇点,所以要补充曲线L:x2+4y2=ε2,ε>0足够小,取顺时针方向,且L围成的区域为D”,则Q(x,y),P(x,y)在
D1与L围成的区域D’上满足格林公式的条件,
21、
(Ⅰ)求正交矩阵P,使PTAP为对角矩阵;
(Ⅱ)求正定矩阵C,使C2=(a+3)E-A,其中E为三阶单位矩阵.

(Ⅰ)求正交矩阵P,使PTAP为对角矩阵;
(Ⅱ)求正定矩阵C,使C2=(a+3)E-A,其中E为三阶单位矩阵.
本题答案:
(I)

所以A的特征值为λ1=λ2=a-1,λ3=a+2.
当λ1=λ2=a-1时,|A-(a-1)E|x=0,


(I)

所以A的特征值为λ1=λ2=a-1,λ3=a+2.
当λ1=λ2=a-1时,|A-(a-1)E|x=0,


22、(本题满分12分)
在区间(0,2)上随机取一点,将该区间分成两段,其中较短一段的长度记为X,较长一段的长度记为Y,
.
(Ⅰ)求X的概率密度;
(Ⅱ)求Z的概率密度;
(Ⅲ)求E(
).
在区间(0,2)上随机取一点,将该区间分成两段,其中较短一段的长度记为X,较长一段的长度记为Y,
.(Ⅰ)求X的概率密度;
(Ⅱ)求Z的概率密度;
(Ⅲ)求E(
).
本题答案:
(Ⅰ)
由题意知,X+Y=2,0

(Ⅰ)
由题意知,X+Y=2,0


最近更新试卷
Copyright © 奋学网(www.fxuexi.com)All Right Reserved.湘ICP备2021013332号-3