2016年硕士研究生《数学(一)》真题
搜题
1、

A.a<1且b>1
B.a>1且b>1
C.a<1且a+b>1
D.a>1且a+b>1
本题答案:
C
C
2、

A.
B.
C.
D.
本题答案:
D
D
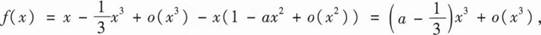
3、若y=(1+x2)2-
,y=(1+x2)2+
是微分方程y'+p(x)y=q(x)的两个解,则q(x)=( ).
,y=(1+x2)2+
是微分方程y'+p(x)y=q(x)的两个解,则q(x)=( ).A.3x(1+x2)
B.-3x(1+x2)
C.
D.-
本题答案:
A
A
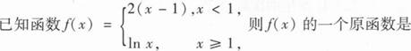
4、

A.x=0是f(x)的第一类间断点
B.x=0是f(x)的第二类间断点
C.f(x)在x=0处连续但不可导
D.f(x)在x=0处可导
本题答案:
D
D
5、设A,B是可逆矩阵,且A与B相似,则下列结论错误的是( ).
A.AT与BT相似
B.A-1与B-1相似
C.A+AT与B+BT相似
D.A+A-1与B+B-1相似
本题答案:
C
C
6、设二次型f(x1,x2,x3)=
,则f(x1,x2,x3)=2在空间直角坐标下表示的二次曲面为( ).
,则f(x1,x2,x3)=2在空间直角坐标下表示的二次曲面为( ).A.单叶双曲面
B.双叶双曲面
C.椭球面
D.柱面
本题答案:
B
B
7、设随机变量X~N(μ,σ2)(σ>0),记P=P|X≤μ+σ2},则( ).
A.P随μ的增加而增加
B.P随σ的增加而增加
C.P随μ的增加而减少
D.p随σ的增加而减少
本题答案:
B
B
8、随机试验E有三种两两不相容的结果A1,A2,A3,且三种结果发生的概率均为
,将试验E独立重复2次,X表示2次试验中结果A1发生的次数,Y表示2次试验中结果A2发生的次数,则X与Y的相关系数为( ).
,将试验E独立重复2次,X表示2次试验中结果A1发生的次数,Y表示2次试验中结果A2发生的次数,则X与Y的相关系数为( ).A.-
B.-
C.
D.
本题答案:
A
A
9、
_______.
_______.
本题答案:

【解析】

【解析】
10、向量场A(x,y,z)=(x+y+z)i+xyj+zk的旋度rotA=_______.
本题答案:
j+(y-1)k
【解析】
j+(y-1)k
【解析】
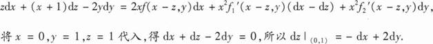
11、设函数f(u,v)可微,z=z(x,y)由方程(x+1)z—y2=x2f(x-z,y)所确定,则出dz|(0,1)=_______.
本题答案:
-dx+2dy
【解析】
方程两边求全微分得
-dx+2dy
【解析】
方程两边求全微分得
12、设函数
_______.
_______.
本题答案:


13、
_______.
_______.
本题答案:




14、设X1,X2,…,Xn为来自总体N(μ,σ2)的简单随机样本,样本均值
=9.5,参数μ的置信度为0.95的双侧置信区间的置信上限为10.8,则μ的置信度为0.95的双侧置信区间为_______.
=9.5,参数μ的置信度为0.95的双侧置信区间的置信上限为10.8,则μ的置信度为0.95的双侧置信区间为_______.
本题答案:
(8.2,10.8)
【解析】
置信区间中心为x,可知置信下限为9.5-(10.8-9.5)=8.2
(8.2,10.8)
【解析】
置信区间中心为x,可知置信下限为9.5-(10.8-9.5)=8.2
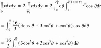
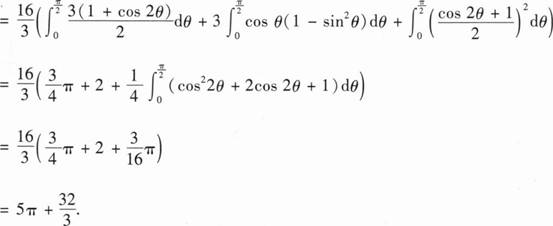
15、

本题答案:
解:积分区域关于x轴对称,设D,为x轴上方区域,如右图.


解:积分区域关于x轴对称,设D,为x轴上方区域,如右图.


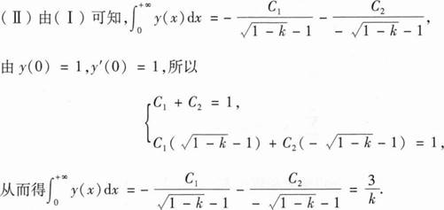
16、设函数y(x)满足方程y”+2y’+ky=0,其中0(I)

(Ⅱ)


(Ⅱ)

本题答案:
解:

解:

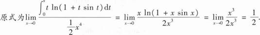
17、

本题答案:
解:
解:
18、

本题答案:
解:
解:
19、已知函数f(x)可导,且f(0)=1,0.设数列{xn}满足xn+1=f(xn)(n=1,2,…),证明:
(I)

(Ⅱ)

(I)

(Ⅱ)

本题答案:
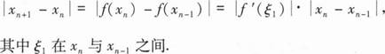
证明:(I)由lagrange中值定理可知

证明:(I)由lagrange中值定理可知

20、
当a为何值时,方程AX=B无解、有唯一解、有无穷多解?在有解时求此方程.

当a为何值时,方程AX=B无解、有唯一解、有无穷多解?在有解时求此方程.
本题答案:
解:当|A|≠0时,可知方程AX=0有唯一解.
解:当|A|≠0时,可知方程AX=0有唯一解.
21、
(I)求A99;
(Ⅱ)设三阶矩阵B=(α1,α2,α3)满足B2=BA.记B100=(β1,β2,β3),将β1,β2,β3分别表示为α1,α2,α3的线性组合.

(I)求A99;
(Ⅱ)设三阶矩阵B=(α1,α2,α3)满足B2=BA.记B100=(β1,β2,β3),将β1,β2,β3分别表示为α1,α2,α3的线性组合.
本题答案:
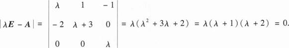
解:
(I)

因此A的特征值为λ1=0,λ2=-1,λ3=-2.
当λ1=0时,解(0E-A)x=0,即Ax=0.

解:
(I)

因此A的特征值为λ1=0,λ2=-1,λ3=-2.
当λ1=0时,解(0E-A)x=0,即Ax=0.

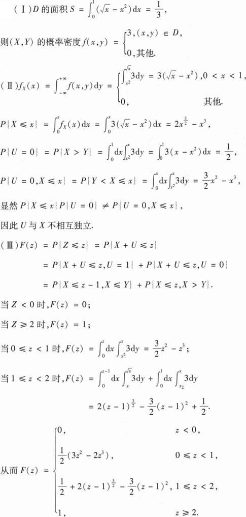
22、设二维随机变量(X,Y)在区域D={(x,y)|02}上服从均匀分布,

(I)写出(X,Y)的概率密度;
(Ⅱ)问:U与X是否互相独立?并说明理由;
(Ⅲ)求Z=U+X的分布函数F(z).

(I)写出(X,Y)的概率密度;
(Ⅱ)问:U与X是否互相独立?并说明理由;
(Ⅲ)求Z=U+X的分布函数F(z).
本题答案:
解:
解:
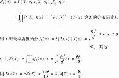
23、
(I)求T的概率密度;
(Ⅱ)确定a值,使得aT为θ的无偏估计.

(I)求T的概率密度;
(Ⅱ)确定a值,使得aT为θ的无偏估计.
本题答案:
解:(I)T的分布函数为

解:(I)T的分布函数为
