2014年硕士研究生《数学(二)》真题
搜题
1、

A.(2,+∞)
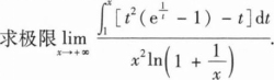
B.(1,2)
C.(
,1)
D.(0,
)
本题答案:
B
B
2、下列曲线中有渐近线的是().
A.y=x+sin x
B.y=x2+sinx
C.y=x+sin
D.y=x2+sin
本题答案:
C
C
3、设函数f(x)具有二阶导数,g(x)=f(0)(1-x)+f(1)x,则在区间[0,1]上().
A.当f’(x)≥0时,f(x)≥g(x)
B.当f'(x)≥0时,f(x)≤g(x)
C.当f”(x)≥0时,f(x)≥g(x)
D.当f”(x)≥0时,f(x)≤g(x)
本题答案:
D
D
4、
().
().A.
B.
C.
D.
本题答案:
C
C
5、
().
().A.1
B.
C.
D.
本题答案:
D
D
6、

A.u(x,y)的最大值和最小值都在D的边界上取得
B.u(x,y)的最大值和最小值都在D的内部取得
C.u(x,y)的最大值在D的内部取得,最小值在D的边界上取得
D.u(x,y)的最小值在D的内部取得,最大值在D的边界上取得
本题答案:
A
A
7、

A.(ad—bc)2
B.-(ad—bc)2
C.a2d2-b2c2
D.b2c2-a2d2
本题答案:
B
B
8、设α1,α2,α3均为三维向量,则对任意的常数k,l,向量组α1+kα3,α2+lα3,线性无关是向量组α1,α2,α3线性无关的().
A.必要非充分条件
B.充分非必要条件
C.充分必要条件
D.既非充分也非必要条件
本题答案:
A
A
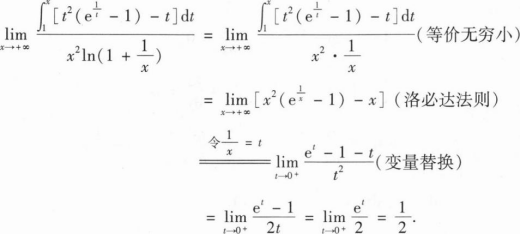
9、
_______.
_______.
本题答案:

【解析】

【解析】
10、设f(x)是周期为4的可导奇函数,且f’(x)=2(x-1),x∈[0,2],则f(7)=_______.
本题答案:
1
【解析】由题意知,当x∈[0,2]时,

又f(x)是周期为4的奇函数,可知f(0)=C=0,f(7)=f(-1)=-f(1)=1.
1
【解析】由题意知,当x∈[0,2]时,

又f(x)是周期为4的奇函数,可知f(0)=C=0,f(7)=f(-1)=-f(1)=1.
11、
_______.
_______.
本题答案:

【解析】解法一将方程两边对x,y分别求偏导数,得

【解析】解法一将方程两边对x,y分别求偏导数,得
12、曲线L的极坐标方程是r=θ,则L在点(r,θ)=(
)处的切线的直角坐标方程是_______.
)处的切线的直角坐标方程是_______.
本题答案:

【解析】

【解析】
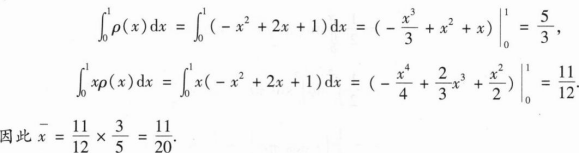
13、一根长度为1的细棒位于x轴的区间[0,1]上,若其线密度p(x)=-x2+2x+1,则该细棒的质心横坐标
=_______.
=_______.
本题答案:

【解析】

【解析】
14、设二次型f(x1,x2,x3)=
的负惯性指数是1,则a的取值范围是_______.
的负惯性指数是1,则a的取值范围是_______.
本题答案:
[-2,2]
【解析】
配方法:f(x1,x2,x3)=(x1+ax3)2-(x2-2x3)2+(4-a2)
由于二次型负惯性指数为1,所以4-a2≥0,故-2≤a≤2.
[-2,2]
【解析】
配方法:f(x1,x2,x3)=(x1+ax3)2-(x2-2x3)2+(4-a2)

由于二次型负惯性指数为1,所以4-a2≥0,故-2≤a≤2.
15、

本题答案:
16、已知函数y=y(x)满足微分方程x2+y2y’=1-y’,且y(2)=0,求y(x)的极大值与极小值.
本题答案:
由x2+y2y'=1-y',得
由x2+y2y'=1-y',得
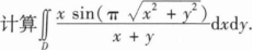
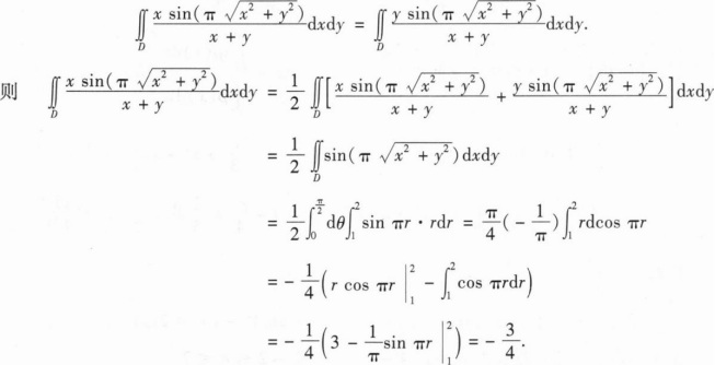
17、设平面区域D={(x,y)|1≤x2+y2≤4,x≥0,y≥0}.


本题答案:
区域D关于y=x对称,且满足轮换对称性,即
区域D关于y=x对称,且满足轮换对称性,即
18、

本题答案:
19、设函数f(x),g(x)在区间[a,b]上连续,且f(x)单调增加,0≤g(x)≤1,证明:
(I)

(1I)

(I)

(1I)

本题答案:


20、

本题答案:
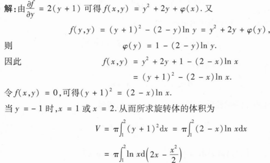
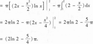
21、已知函数f(x,y)满足
=2(y+1),且f(y,y)=(y+1)2-(2-y)lny.求曲线f(x,y)=0所围图形绕直线y=-1旋转所成旋转体的体积.
=2(y+1),且f(y,y)=(y+1)2-(2-y)lny.求曲线f(x,y)=0所围图形绕直线y=-1旋转所成旋转体的体积.
本题答案:


22、
(I)求方程组Ax=0的一个基础解系;
(Ⅱ)求满足AB=E的所有矩阵B.

(I)求方程组Ax=0的一个基础解系;
(Ⅱ)求满足AB=E的所有矩阵B.
本题答案:


23、

本题答案:

