2019年硕士研究生《数学(二)》真题
搜题
1、当x→0时,x-tanx与xk是同阶无穷小,则k=().
A.1
B.2
C.3
D.4
本题答案:
C
C
2、y=xsinx+2cosx[x∈(
)]的拐点坐标是().
)]的拐点坐标是().A.(0,2)
B.(π,-2)
C.(
,π/2)
D.
本题答案:
B
B
3、下列反常积分发散的是().
A.
B.
C.
D.
本题答案:
D
D
4、已知微分方程
的通解为y=(C1+C2x)e-x+ex,则a,b,c依次为().
的通解为y=(C1+C2x)e-x+ex,则a,b,c依次为().A.1,0,1
B.1,0,2
C.2,1,3
D.2,1,4
本题答案:
D
D
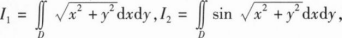
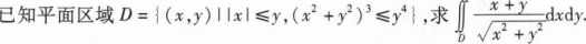
5、已知平面区域
,


,则I1,I2,I3的大小关系为()。
,

,则I1,I2,I3的大小关系为()。
A.I3<I2<I1
B.I2<I1<I3
C.I1<I2<I3
D.I2<I3<I1
本题答案:
A
A
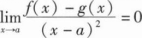
6、已知f(x),g(x)二阶导数存在且在x=a处连续,则
是f(x),g(x)相切于a且曲率相等的()。
是f(x),g(x)相切于a且曲率相等的()。A.充分非必要条件
B.充分必要条件
C.必要非充分条件
D.既非充分又非必要条件
本题答案:
A
A
7、设A是四阶矩阵,A*是A的伴随矩阵,若线性方程Ax=0的基础解系中只有2个向量,则A*的秩是()。
A.0
B.1
C.2
D.3
本题答案:
A
A
8、设A是三阶实对称矩阵,E是三阶单位矩阵,若A2+A=2E,且|A|=4,则二次型xTAx的规范形为().
A.
B.
C.
D.
本题答案:
C
C
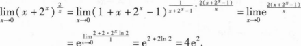
9、

本题答案:
4e2
【解析】
4e2
【解析】
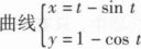
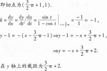
10、
在
对应点处的切线在y轴上的截距为_______.
在
对应点处的切线在y轴上的截距为_______.
本题答案:

【解析】

【解析】
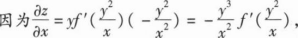
11、设函数f(u)可导,


本题答案:

【解析】


【解析】

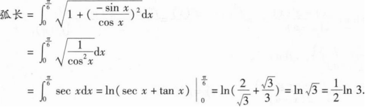
12、函数y=lncosx(0≤x<
)的弧长为()。
)的弧长为()。
本题答案:

【解析】


【解析】

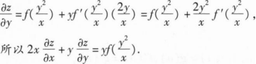
13、已知函数
本题答案:

【解析】


【解析】

14、
,Aij表示|A|中(i,j)的代数余子式,则A11-A12=_______.

,Aij表示|A|中(i,j)的代数余子式,则A11-A12=_______.
本题答案:
-4【解析】
-4【解析】
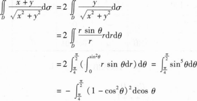
15、

本题答案:


16、

本题答案:


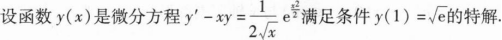
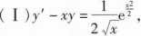
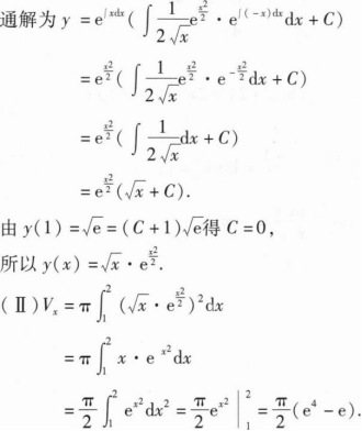
17、
(I)求y(x);
(Ⅱ)设平面区域D={(x,y)|1≤x≤2,0≤y≤y(x)},求D绕x轴旋转一周所得旋转体的体积。

(I)求y(x);
(Ⅱ)设平面区域D={(x,y)|1≤x≤2,0≤y≤y(x)},求D绕x轴旋转一周所得旋转体的体积。
本题答案:


18、

本题答案:
(x2+y2)3=y4的极坐标方程为r=sin2θ,由对称性知
(x2+y2)3=y4的极坐标方程为r=sin2θ,由对称性知
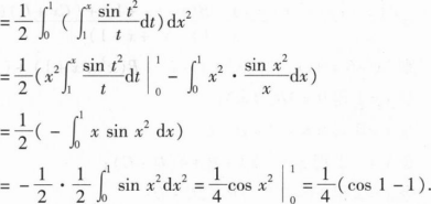
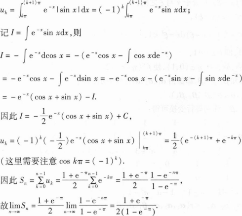
19、设n是正整数,记Sn为y=e-xsinx(0≤x≤nπ)与x轴所围图形的面积,求Sn,并求
.
.
本题答案:
设区间[kπ,(k+1)π](k=0,1,2,…,n-1)上所围的面积记为uk,则
设区间[kπ,(k+1)π](k=0,1,2,…,n-1)上所围的面积记为uk,则
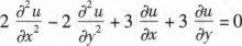
20、已知函数u(x,y)满足
,求a,b的值,使得在变换u(x,y)=v(x,y)eax+by之下,上述等式可化为函数v(x,y)的不含一阶偏导数的等式。
,求a,b的值,使得在变换u(x,y)=v(x,y)eax+by之下,上述等式可化为函数v(x,y)的不含一阶偏导数的等式。
本题答案:


21、已知函数f(x)在[0,1]上具有二阶导数,且
,证明:
(I)存在ξ∈(0,1),使得f’(ξ)=0;
(Ⅱ)存在η∈(0,1),使得f”(η)<-2.
,证明:(I)存在ξ∈(0,1),使得f’(ξ)=0;
(Ⅱ)存在η∈(0,1),使得f”(η)<-2.
本题答案:
(I)设f(x)在ξ处取得最大值,则由条件f(0)=0,f(1)=1,
可知f(ξ)>1,于是0<ξ<1,
由费马引理得f'(ξ)=0.
(II)若不存在η∈(0,1),使f”(η)<-2,
则对任何x∈(0,1),有f”(x)≥-2,
由拉格朗日中值定理得
f(x)-f(ξ)=f'C.(x-ξ),C介于x与ξ之间,
不妨设x<ξ,f'(x)≤-2(x-ξ),
于是f(ξ)-f(0)<1,即f(ξ)<1,
这与f(ξ)>1相矛盾,故存在η∈(0,1),使f”(η)<-2.
(I)设f(x)在ξ处取得最大值,则由条件f(0)=0,f(1)=1,

可知f(ξ)>1,于是0<ξ<1,
由费马引理得f'(ξ)=0.
(II)若不存在η∈(0,1),使f”(η)<-2,
则对任何x∈(0,1),有f”(x)≥-2,
由拉格朗日中值定理得
f(x)-f(ξ)=f'C.(x-ξ),C介于x与ξ之间,
不妨设x<ξ,f'(x)≤-2(x-ξ),
于是f(ξ)-f(0)<1,即f(ξ)<1,
这与f(ξ)>1相矛盾,故存在η∈(0,1),使f”(η)<-2.
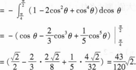
22、

本题答案:
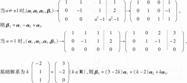
由等价的定义可知β1,β2,β3都能由α1,α2,α3线性表示,则有
r(α1,α2,α3)=r(α1,α2,α3,β1,β2,β3).
对(α1,α2,α3,β1,β2,β3)作初等行变换可得:
当a=-1时,有r(α1,α2,α3)当a=1时,有r(α1,α2,α3)=r(α1,α2,α3,β1,β2,β3)=2;
当a≠1且a≠-1时,有r(α1,α2,α3)=r(α1,α2,α3,β1,β2,β3)=3;
则当a=1或a≠1且a≠-1时,β1,β2,β3可由α1,α2,α3线性表示.
此时,要保证α1,α2,α3可由β1,β2,β3线性表示,
对(β1,β2,β3,α1,α2,α3)作初等行变换可得
综上所述,当a≠-1时,向量组α1,α2,α3与向量组β1,β2,β3可相互线性表示.
由等价的定义可知β1,β2,β3都能由α1,α2,α3线性表示,则有
r(α1,α2,α3)=r(α1,α2,α3,β1,β2,β3).
对(α1,α2,α3,β1,β2,β3)作初等行变换可得:
当a=-1时,有r(α1,α2,α3)
当a≠1且a≠-1时,有r(α1,α2,α3)=r(α1,α2,α3,β1,β2,β3)=3;
则当a=1或a≠1且a≠-1时,β1,β2,β3可由α1,α2,α3线性表示.
此时,要保证α1,α2,α3可由β1,β2,β3线性表示,
对(β1,β2,β3,α1,α2,α3)作初等行变换可得
综上所述,当a≠-1时,向量组α1,α2,α3与向量组β1,β2,β3可相互线性表示.
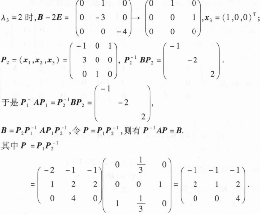
23、
(I)求x,y;
(Ⅱ)求可逆矩阵P使得P-1AP=B.

(I)求x,y;
(Ⅱ)求可逆矩阵P使得P-1AP=B.
本题答案:
(I)因为相似矩阵有相同的特征值,所以


(I)因为相似矩阵有相同的特征值,所以

