2017年硕士研究生《数学(一)》真题

A.ab=
B.ab=-
C.ab=0
D.ab=2
A
A.f(1)>f(-1)
B.f(1) C.|f(1)|>|f(-1)| D.|f(1)|<|f(-1)|
C
A.12
B.6
C.4
D.2
D

A.t0=10
B.15 C.t0=25 D.t0>25
C
A.E-ααT不可逆
B.E+ααT不可逆
C.E+2ααT不可逆
D.E-2ααT不可逆
A

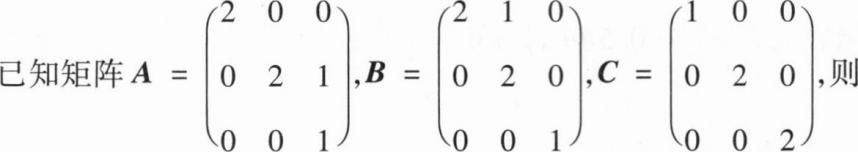
A.A与C相似,B与C相似
B.A与C相似,B与C不相似
C.A与C不相似,B与C相似
D.A与C不相似,B与C不相似
B
P(A|
)的充分必要
条件是().
A.P(B|A)>P(B|
)
B.P(B|A)
)
C.P(
|A)>P(B|
)
D.P(
|A)
)
A
,则下列结论中不正确的是().A.
B.
C.
D.
B

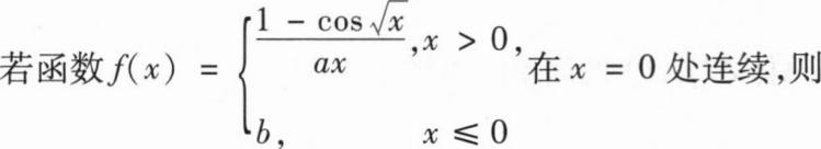
0
【解析】


【解析】

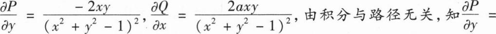
内与路径无关,则a=______.-1
【解析】

______.
【解析】
为线性无关的三维列向量组,则向量组Aα1,Aα2,Aα3的秩为______.2
【解析】
由α1,α2,α3线性无关可知矩阵(α1,α2,α3)可逆,故r(Aα1,Aα2,Aα3)=r(A(α1,α2,α3))=r(A),再由r(A)=2得r(Aα1,Aα2,Aα3)=2.
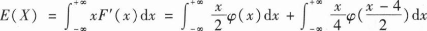
,其中
(x)为标准正态分布函数,则E(X)=______.2
【解析】






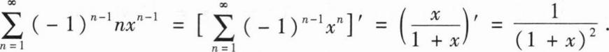
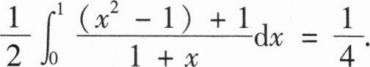
解:两边求导得

(I)方程f(x)=0在区间(0,1)内至少存在一个实根;
(Ⅱ)方程f(x)f”(x)+[f’(x)]2=0在区间(0,1)内至少存在两个不同的实根.
证明:
(I)


又由于f(x)在[δ,1]上连续,由f(δ)<0,f(1)>0,根据零点定理得至少存在一点ξ∈(δ,1),使f(ξ)=0,即得证.
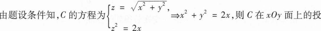
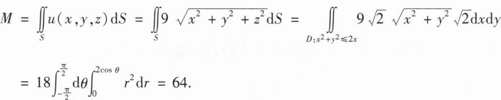
被柱面z2=2x割下的有限部分,其上任一点的密度为u(x,y,z)=9
,记圆锥面与柱面的交线为C.(I)求C在xOy面上的投影曲线的方程;
(Ⅱ)求S的质量M.
(Ⅰ)


(Ⅱ)
(I)证明:r(A)=2;
(11)如果β=α1+α2+α3,求方程组Ax=β的通解.
解:(I)由α3=α1+2α2可得α1+2α2-α3=0,即α1,α2,α3线性相关,因此,|A|=0,
即A的特征值必有0.
又因为A有三个不同的特征值,则三个特征值中只有1个0,另外两个非0,

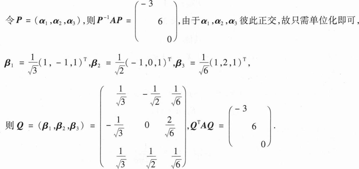
在正交变换x=Qy下的标准形为
,求a的值及一个正交矩阵Q.

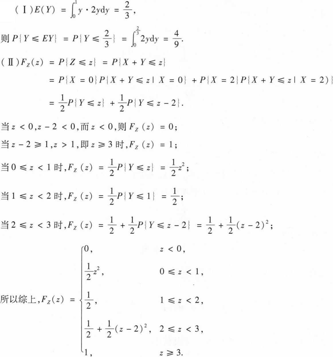
,Y的概率密度为

(I)求P{Y≤E(Y)};
(II)求Z=X+Y的概率密度.

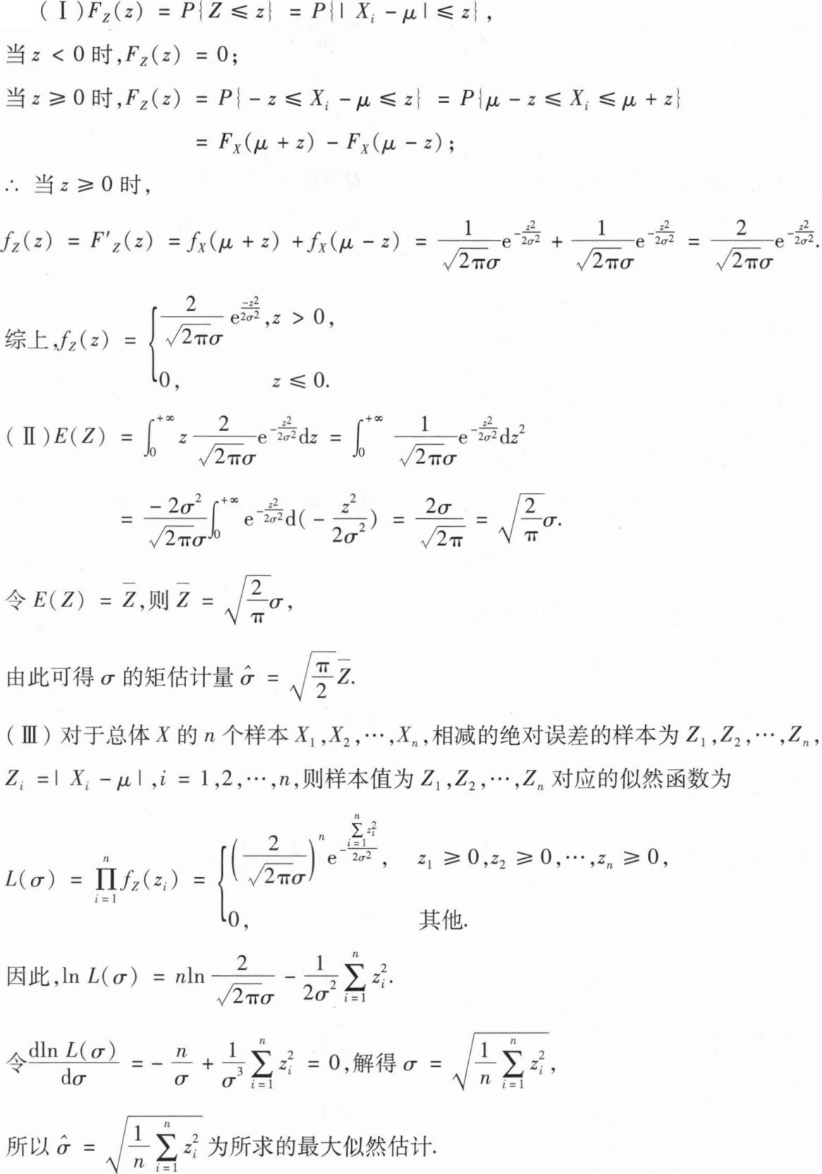
是已知的,设n次测量结果X1,X2,…,Xn相互独立且均服从正态分布N(μ,σ2),该工程师
记录的是n次测量的绝对误差Zi=|Xi-μ|(i=1,2,…,n),利用Z1,Z2,…,Zn估计σ.
(I)求Zi的概率密度;
(Ⅱ)利用一阶矩求σ的矩估计量;
(Ⅲ)求σ的最大似然估计量.