2022年硕士研究生《数学(二)》模拟卷(一)

A.
.
B.-
.
C.1.
D.不存在.
A
A.
B.
C.
D.
B

A.极限不存在
B.极限存在但不连续
C.连续但不可导
D.可导
D
A.当f(x)为奇函数时,F(x)必为偶函数
B.当f(x)为偶函数时,F(x)必为奇函数
C.当f(x)为周期函数时,F(x)必为周期函数
D.当f(x)为单调函数时,F(x)必为单调函数
A


A.连续但不可微
B.偏导数存在但不连续
C.可微
D.连续但偏导数不存在
C


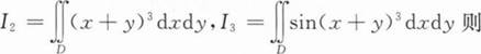
A.I1 B.I3 C.I1 D.I3
C
A.
B.
C.
D.
C
A.α1,α3,α4线性无关.
B.α2,α4线性无关.
C.α1,α2,α3线性无关.
D.α3,α4线性无关.
D
①(Ⅰ)的解必是(Ⅱ)的解;②(Ⅱ)的解必是(Ⅰ)的解;
③(Ⅰ)的解不是(Ⅱ)的解;④(Ⅱ)的解不是(Ⅰ)的解.以上命题中正确的是
A.①②.
B.①④.
C.③④.
D.②③.
A

满足().
A.r1 B.r2 C.r3 D.r1
D


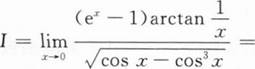
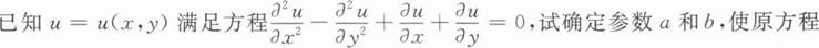
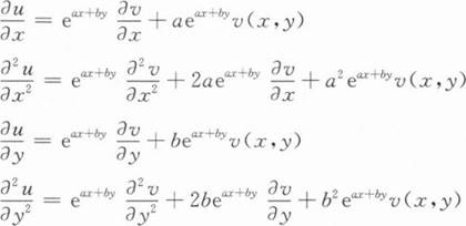
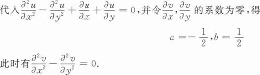
【解析】


【解析】


【解析】


【解析】
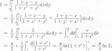
如图所示,由于D关于直线y=x对称,所以


【解析】

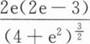
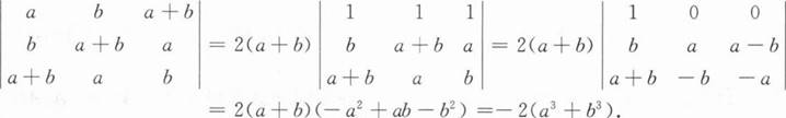
-2(a3+b3)
【解析】
将第二、三行加至第一行,提出公因子2(a+b)后,再将第一列的-1倍加至第二、三列,得到



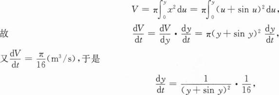
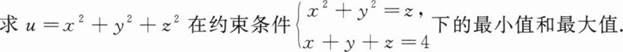
设加水t秒时水面高度为y米,则此时水的体积为











(1)求a的值.
(2)求正交变换x=Qy化二次型为标准形,并写出所用坐标变换.
(3)若A+kE是正定矩阵,求k.
二次型矩阵

(1)

由|A|=-2a-2=O,所以a=-1.
(2)


(3)A+kE的特征值为k+3,k,k-1.
当k>1时,A+kE的特征值全大于0,矩阵是正定矩阵.